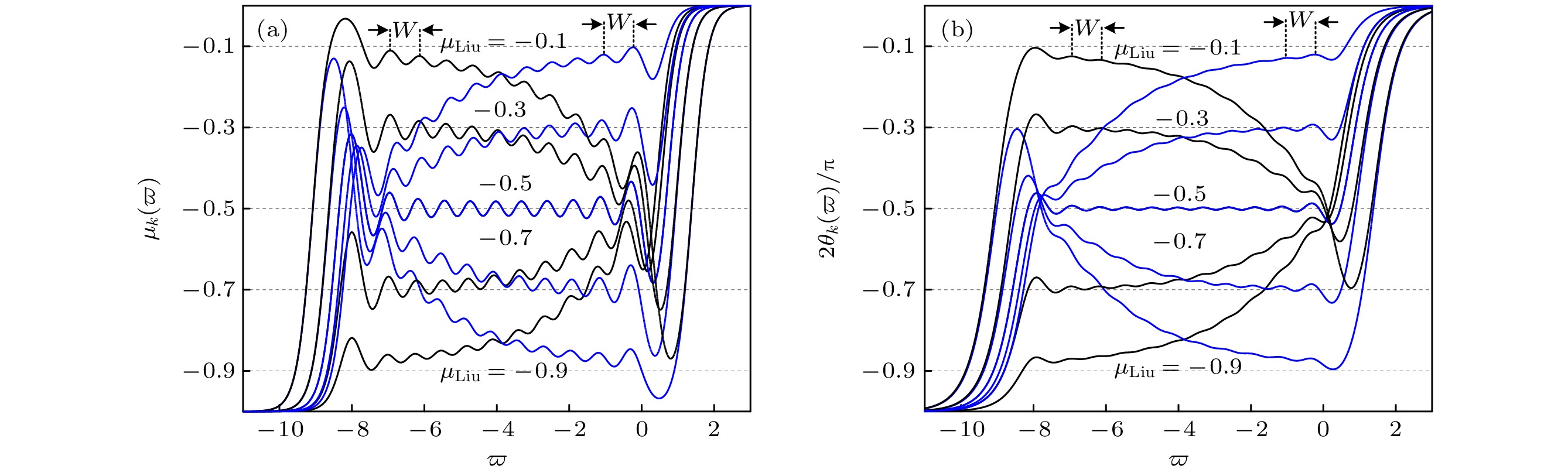
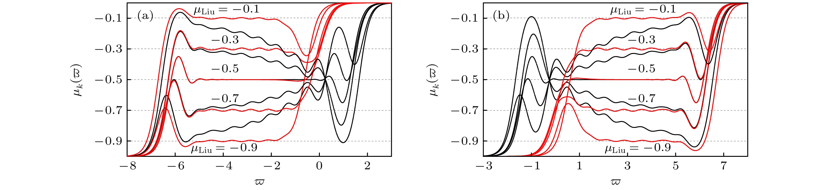
Fractional calculus is widely used in the analysis and description of various nonlinear and non-integer dimensional physical phenomena and processes in nature, and it gradually becomes a research hotspot. The order value of fractional-order system is more flexible, and fractional-order system is more accurate for analysis of non-integer dimensional physical phenomena and processes. In recent years, various negative half-order fractance approximation circuits and rational approximation algorithms for negative half-order fractional operators have been proposed and aroused people's research interest. The scaling extension of classic negative half-order fractance approximation circuits can facilitate the design of fractance approximation circuits with arbitrary-order fractional operators, but the operational constancy is sacrificed. The typical arbitrary-order fractance approximation circuits have operational oscillating phenomena in frequency domain, both the order-frequency characteristic curves and the phase-frequency characteristic curves have obvious oscillating waveforms. The operational oscillating phenomena will inevitably affect the fractional operator operational performance of the fractance approximation circuits, and result in errors in physical application. In this paper, the negative half-order Carlson fractal-lattice fractance approximation circuit with constant operational performance is analyzed from perspective of circuit network, the symmetry for equivalent two-port network of Carlson fractal-lattice fractance approximate circuit is analyzed. The equivalent two-port network of scaling fractal-lattice fractance approximation circuit is explored, Operational validity for the right port of scaling lattice cascaded two-port network is studied. A symmetrical lattice cascaded passive two-port network after scaling extension is designed through cascade of the ports on both sides of two-port network, and an arbitrary-order scaling fractal-lattice fractance approximation circuit with high-operation constancy is designed. By studying the zero-pole distribution and localization characteristics of the negative real zero-pole pair elemental unit, the physical nature of operational oscillating phenomenon for scaling fractal-lattice fractance approximation circuit with the operational performance of arbitrary-order fractional operator is explained theoretically, the methods and ideas to effectively suppress frequency-domain operational oscillating phenomenon are theoretically analyzed. The physical nature of operational oscillating amplitude reduction is explained by contrastively analyzing the pole-zero distributions of scaling fractal-lattice fractance approximation circuit and symmetrical lattice cascaded two-port network. According to the optimization principle of arbitrary-order fractance approximation circuits, the symmetrical resistor-capacitor T-section circuit optimization methods are used to optimize the frequency-domain approximation performance of any real-order symmetrical lattice cascaded two-port network, and it contributes to obtain any real-order scaling fractal-lattice fractance approximation circuit with high benefit of approximation. Arbitrary-order symmetrical lattice cascaded two-port network provides methods and ideas for the design of fractance approximation circuits with high-operation constancy.