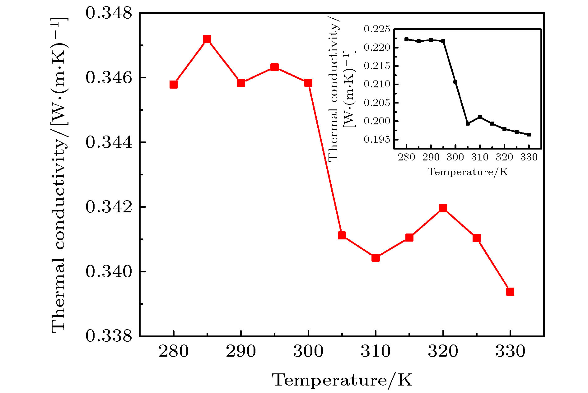
Phase change materials can absorb, store and release heat with their latent heat capacity. Meanwhile, their temperature fluctuation during phase changing is small, so they can realize temperature control and be used for thermal management. But their low thermal conductivity and easy leakage problem seriously restrict their performance. Graphene aerogel have a large specific surface area because of its rich porous structure, and can absorb phase change materials to solve the leakage problem. Meanwhile, the high thermal conductivity of graphene can improve the thermal conductivity of phase change materials. At the same time, the black of graphene aerogel itself has good light absorption performance. Combined with phase change material, the resulting composite phase change material can make full use of the sunlight to achieve photo-thermal transformation and energy storage. Composite phase change material can release heat at night when there is no solar energy, making up for the intermittency of solar energy. Herein, graphene aerogel was prepared by reduction self-assembly and freeze-drying method, and composite phase change material was prepared by vacuum impregnation method. The graphene aerogel composite phase change materials with different mass fraction were prepared by using n-octadecane as phase change material. The thermal conductivity of the sample with 13.99 wt% graphene aerogel content was 306.2% higher than that of pure octadecane, and the latent heat of melting and solidification decreased by 13.8% and 10.8% respectively. Simultaneously, molecular dynamics simulation results show that the introduction of graphene aerogels will increase to a certain extent is octadecane molecular order and consistency, which in the same temperature of composite phase change materials are octadecane than pure octadecane molecules have more concentrated at the end of the distance and the torsion angle, radial distribution function and the diffusion coefficient is relatively low, that the introduction of graphene materials can promote positive octadecane coefficient of thermal conductivity.