-
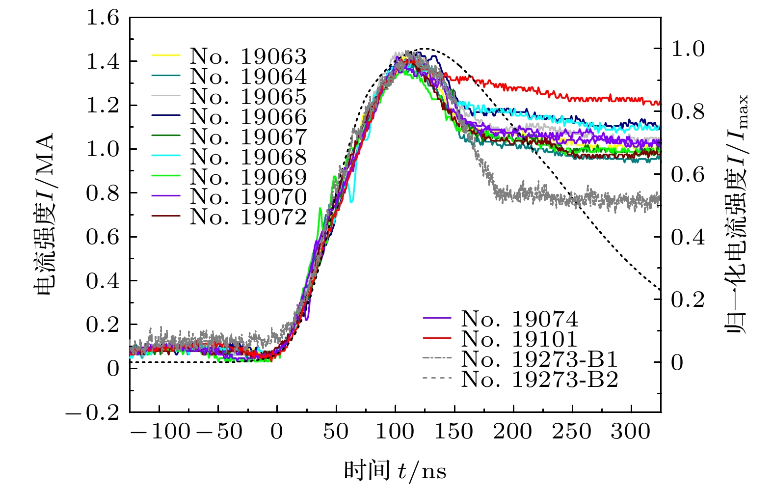
在金属层表面引入微结构以实现对Z箍缩等离子体形成和发展过程中不稳定性的调控具有重要研究价值. 在“强光一号”装置上(峰值电流~1.4 MA, 上升时间~100 ns), 开展了针对具有一维周期性凹槽调制结构的金属薄膜的电爆炸实验研究. 实验负载采用外推型平面结构, 基底为30 μm厚铝膜, 刻蚀周期为2 mm, 刻蚀深度约为10 μm. 通过激光阴影成像、激光干涉成像和可见光自辐射成像等系统进行联合诊断. 实验结果表明刻蚀结构对等离子体发展过程的不稳定性特征产生了明显调制作用, 原本征波长也受到抑制, 微结构周期对不稳定结构波长产生趋同效应; 未刻蚀一侧边界层同样受刻蚀层结构的影响, 在不稳定结构上表现出相似形貌, 且内外侧不稳定性特征的耦合关联性增强; 刻蚀凹槽处在爆炸过程中膨胀更为迅速, 形成的表面等离子体结构与初始结构反相; 在刻蚀结构的几何突变处会形成细长的等离子体喷流, 在二分之一刻蚀波长处出现波谱特征峰. 理论分析表明电流密度调制造成电热不稳定性分布改变是调控作用产生的重要原因.The fast Z-pinch plasma formation, exploding dynamics, and the evolution of the instability can be controlled experimentally by making special structures on metal surface layer to change the initial state of material, which is valuable for studying the Z-pinch physics. Experiments on the explosion of thin flat foils which have been etched into a periodical structure on surface are performed on the QG-1 facility (~1.4 MA peak current, ~100 ns rise time) in order to study the effects of different surface conditions on explosion and control the evolution of the instability in fast Z-pinch plasma. A kind of inverse load configuration is used in experiment in which the return current post is set at the central axial-position and two modified flat foils are strained outside symmetrically as the main load. So the corresponding J× Bforce directs outward from the return current post orthogonal to the foil plane, creating an acceleration and pushing the foil plasma away from the center in this configuration. Different surfaces of the foil are also investigated in different conditions because of the asymmetric magnetic field distribution which is useful to study the different evolutions of instability. The foils used in the experiment mainly are the 30-μm-thick aluminum foil. The wavelength of groove perturbations seeded on the surface is 2 mm wide and ~10 μm deep. The plasma explosion dynamic behaviors around conditioned area are diagnosed by laser shadowgraphy, laser interferometry, multiframe optical self-emission imaging and B-dot. It is found that the initially etched periodical structure on surface can control the plasma structure in exploding process which can be concluded as follows. Developing plasma structure shows a periodic character similar to the initial surface structure and the eigenwavelength of the Al is suppressed. In the meantime, the surface without etched perturbations is also influenced by the etched side, showing a similar instability structure but with a lower amplitude. The correlation between two surfaces turns stronger than the case of normal foils. A faster expanding rate occurs in the deep region of the initial periodical groove structure which causes a reverse structure to form. In the discontinuous area of the conditoned structure, a narrow stream of plasma jets perpendicularly from the metal surface which causes a half-wavelength to occur in spectrum analysis. The magneto-hydro-dynamic theory analysis shows that the change of electrothermal instabilities is caused dominantly by the modulation of current density flowing around the periodical structure.
-
Keywords:
- exploding foils/
- planar configuration/
- periodical modified structure/
- electrothermal instability
[1] [2] [3] [4] [5] [6] [7] [8] [9] [10] [11] [12] [13] [14] [15] [16] [17] [18] [19] [20] [21] [22] [23] [24] -
材料M 厚度h/μm 刻蚀槽深d/μm 刻蚀周期p/mm 宽度w/mm 长度l/mm 中心距r/mm 铝(刻蚀) 30 10 2 1 2 10 铝(镀膜) 20 + 10 (PI) # # 1 2 10 铝(标准) 20 # # 1 2 10 注: PI表示聚酰亚胺有机膜, #表示无刻蚀结构. -
[1] [2] [3] [4] [5] [6] [7] [8] [9] [10] [11] [12] [13] [14] [15] [16] [17] [18] [19] [20] [21] [22] [23] [24]
计量
- 文章访问数:3985
- PDF下载量:45
- 被引次数:0












下载:











