-
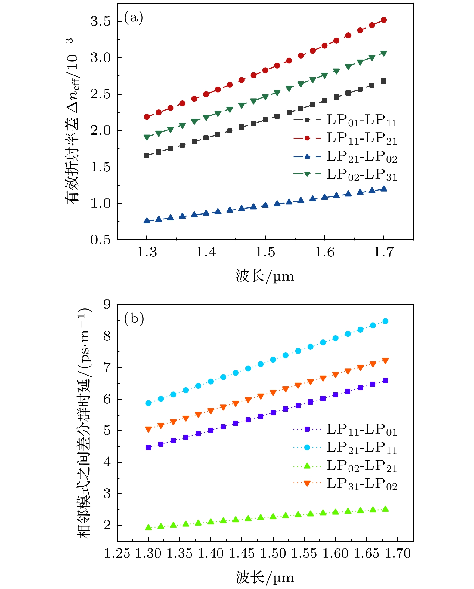
信息化对高速大容量光纤网络的需求日益强烈, 空分/模分复用是继波分复用之后可使通信容量翻倍的新一代光纤通信技术. 本文提出了一种双沟槽环绕型十三芯五模光纤, 以满足未来对高速大容量信息传输的需求. 针对空分-模分复用中降低串扰的目标设计优化光纤, 采用双沟槽环绕结构, 将光能量更好地限制在纤芯内, 从而减小芯间和模间串扰. 利用全矢量有限元法与功率耦合理论相结合计算并分析多芯光纤的串扰和传输特性. 经过优化结构参数, 可使光纤在1.3—1.7 μm波段内稳定传输LP 01, LP 11, LP 21, LP 02, 和LP 315个模式; 信号在1.55 μm波长处传输60 km时, 对应于以上5个模式相邻纤芯的芯间串扰分别为–122.37, –114.76, –106.28, –100.68, –92.81 dB, 相邻模式之间的有效折射率差大于1.026 × 10 –3, 芯间和模间串扰可以被有效抑制; 5个模式对应的非线性系数分别为0.74, 0.82, 0.88, 1.26, 0.93 W –1·km –1, 均可保持低非线性传输. 该光纤结构简单紧凑, 可利用气相沉积法和堆叠法制备预制棒, 进一步拉制成具有低串扰低非线性的十三芯五模光纤, 可应用于长距离高速大容量光纤传输系统.Information technology has an increasingly strong demand for high-speed and large-capacity optical fiber networks. Space division multiplex(SDM) is a new generation of optical fiber communication technology which can be several times in communication capacity higher than the wavelength division multiplexing systems. In this paper, we present a kind of 13-core 5-mode fiber with double trench structure to meet the demand for high-speed and large-capacity information transmission in the future. In order to solve the crosstalk problem in SDM, a double-trench structure is adopted to better limit the light energy in the fiber core, thus reducing the crosstalk between cores and modes. The crosstalk and transmission characteristics of multi-core fiber are calculated and analyzed by the full vector finite element method and coupled power theory. After the optimization of structural parameters, the fiber can stably transmit LP 01, LP 11, LP 21, LP 02and LP 31in the band of 1.3–1.7 μm; when the signal is transmitted at the 1.55 μm for 60 km, the inter-core crosstalks corresponding to the adjacent fiber cores in the above five modes are –122.37 dB, –114.76 dB, –106.28 dB, –100.68 dB and –92.813 dB, respectively; the effective refractive index difference between adjacent modes is greater than 1.026 × 10 –3; inter-core and inter-mode crosstalk can be effectively suppressed. The corresponding non-linear coefficients of the 5-modes are 0.74 W –1·km –1, 0.82 W –1·km –1, 0.88 W –1·km –1, 1.26 W –1·km –1, 0.93 W –1·km –1, which can maintain low non-linear transmission. The structure of fiber is simple and compact, and the preform can be fabricated by vapor deposition method and stack method, then the 13-core five-mode fiber with low crosstalk and low nonlinear can be further drawn, which can be used in a long distance high-speed and large-capacity fiber transmission system.
[1] [2] [3] [4] [5] [6] [7] [8] [9] [10] [11] [12] [13] [14] [15] [16] [17] [18] [19] [20] [21] [22] [23] [24] [25] [26] -
a/μm b1/μm b2/μm c1/μm c2/μm Λ/μm R/μm Δ1 Δ2 6 2 2 5 4 42 100 0.017 –0.01 a/μm b1/μm b2/μm c1/μm c2/μm Λ/μm R/μm Δ1 Δ2 8 2 2 4 4 42 100 0.015 –0.008 Modes Crosstalk/
(dB/60 km)Aeff/μm2 MDGD/
(ps·m–1)LP01 –122.37 147 0 LP11 –114.76 134 5.855 LP21 –106.28 125 13.452 LP02 –100.68 87 15.799 LP31 –92.81 118 22.314 -
[1] [2] [3] [4] [5] [6] [7] [8] [9] [10] [11] [12] [13] [14] [15] [16] [17] [18] [19] [20] [21] [22] [23] [24] [25] [26]
计量
- 文章访问数:4522
- PDF下载量:86
- 被引次数:0












下载:











