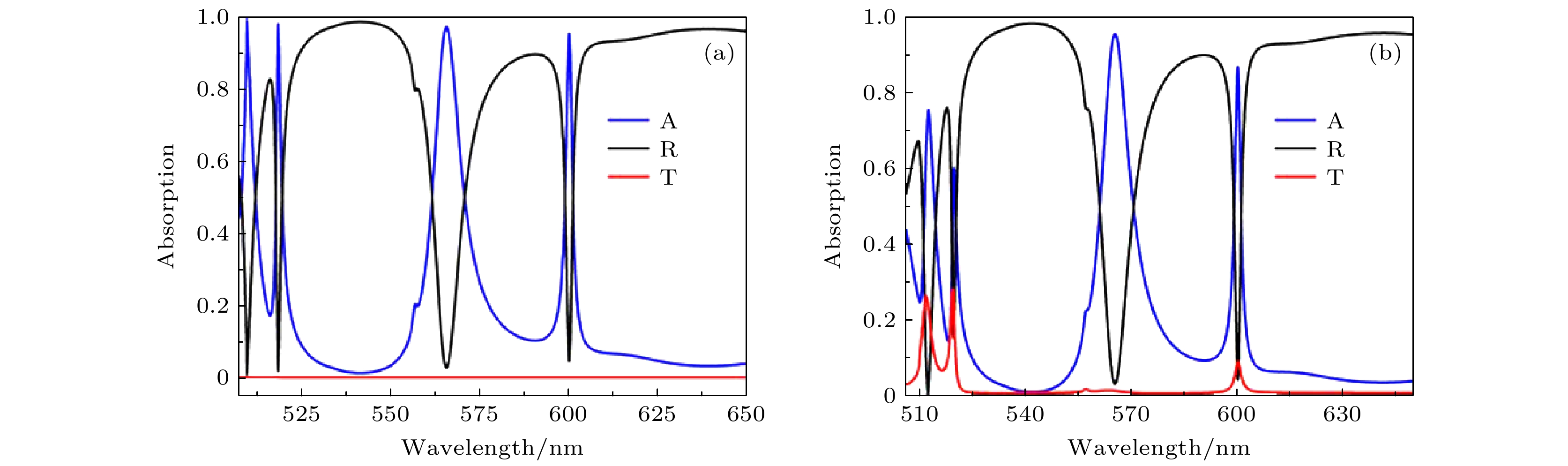
Transition-metal dichalcogenides with exceptional electrical and optical properties have emerged as a new platform for atomic-scale optoelectronic devices. However, the poor optical absorption resists their potential applications. In this paper, monolayer molybdenum disulfide four-band perfect absorber based on critical coupling and guided mode resonance is proposed theoretically and numerically by the finite difference time domain method. Meanwhile, the physical mechanism can be better analyzed through impedance matching and coupled mode theory. Monolayer molybdenum disulfide is placed between the silicon dioxide and a two-dimensional polymethyl methacrylate layer with a periodic square-shaped air groove structure. The three form a sandwich-like stacked structure similar to a rectangle. The bottom of the absorber uses a silver layer as the back reflection layer. Using the critical coupling principle of guided resonance, the high-efficiency light absorption of the monolayer molybdenum disulfide is obtained, that is, four perfect resonances are obtained at the resonance wavelengths (
λ
1= 510.0 nm,
λ
2= 518.8 nm,
λ
3= 565.9 nm, and
λ
4= 600.3 nm), the absorption rates are 99.03%, 98.10%, 97.30%, and 95.41%, and the average absorption rate is as high as 97.46% in the visible light spectrum range, which is over 12 times more than that of a bare monolayer MoS
2.
The simulation results show that the adjusting of the geometric parameters of the structure can control the range of the resonance wavelength of the monolayer molybdenum disulfide, the system experiences three states, i.e. under-coupling, critical coupling, and over-coupling because of the leakage rate of resonance, thereby exhibiting advantageous tunability of operating wavelength in monolayer MoS
2, which has important practical significance for improving the absorption intensity and selectivity of the monolayer molybdenum disulfide. The novel idea of using critical coupling to enhance the light-MoS
2interaction can also be adopted in other atomically thin materials. At the same time, in this article the sensing performance of the absorber is discussed, and it is found that the highest quality factor, sensitivity and figure of merit of the sensor are 1294.1, 155.1 nm/RIU, and 436, respectively. The proposed structure is simple and the program is versatile. And these results indicate that the designed structure may offer a promising technology for improving the light-matter interaction in two-dimensional transition metal binary compounds, and has excellent application prospects in wavelength selective photoluminescence and photodetection.