Ultra-cold long-range Rydberg-ground molecule consisting of a Rydberg atom and one or more ground-state atoms is formed by low-energy scattering between the Rydberg electron and ground-state atoms located inside the Rydberg electron’s wave function. The low-energy scattering interaction, initially investigated by Fermi and Omont, has been predicted to lead to molecular binding in a novel type of Rydberg molecules, including the trilobite and butterfly molecules. Their unconventional binding mechanism, which is unlike covalent, or ionic, or van der Waals bonds, results in loosely bound molecules with bond lengths on the order of thousands of Bohr radius. This kind of molecule with large size and huge permanent electric dipole moment is a good candidate for realizing the certain strongly correlated many-body gases and for quantum information processing, as well as for dipolar quantum gases and spin systems with long-range interactions. Consequently, these molecules have received considerable attention in recent years.
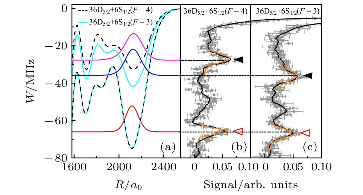
In this paper, we review the recent theoretical and experimental investigations of ultra-cold long-range Rydberg-ground molecules, including the scattering interaction between the Rydberg electron and ground-state atom and the resulting adiabatic potential curves, experimental observations of photo-associated Rydberg-ground molecules spectra, as well as the measurements of permanent electric dipole moment. Ultra-cold long-range Rydberg-ground molecules are prepared by photoassociation in a high-density cold atom sample. Therefore, the Rydberg electron can bind several ground-state atoms to form a polyatomic Rydberg-ground molecule. The permanent molecular electric-dipole moments are revealed by spectral line broadening in the electric fields. The latest research pointed out that the permanent electric dipole moments of the Cs
nD
J-type Rydberg-ground molecules are negative, which is different from the previous reports (the electric dipole moments are positive). The negative sign reflects a deficiency of Rydberg-electron density near the ground-state perturber, which is caused by electronic configuration mixing.