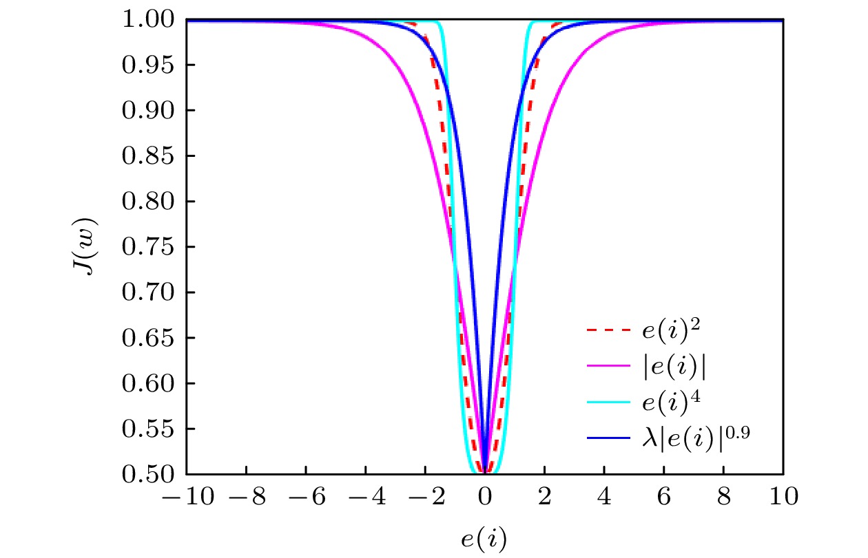
The adaptive kernel algorithms usually achieve a good convergence performance and a tracking performance due to the universal approximator, offering an excellent solution to many problems with nonlinearities. However, as is well known, the convergence rate and steady-state error of adaptive filtering algorithm are a pair of inherent contradictions, and the kernel method is not exceptional. For this problem, a robust kernel adaptive filtering algorithm, called the variable-scaling factor kernel fractional lower power adaptive filtering algorithm based on the Sigmoid function, is developed by creating a new framework of cost function which combines the kernel fractional low power error criterion with the Sigmoid function for system identification of different noise environments. This new cost framework incorporates a scaling factor into the cost function of the Sigmoid kernel fractional lower power adaptive filtering algorithm (VS-SKFLP) in this paper. One of the main features in the new framework is its scaling factor. This scaling factor is used to control the steepness of the Sigmoid function, and the steepness can affect the convergence speed of filtering algorithm. The scaling factor provides a tradeoff between the convergence rate and the steady-state mean square error (MSE), which improves the convergence rate under the same steady-state mean square error. However, it is also an important problem to choose an appropriate scale factor. Therefore, a variable-scale factor SKFLP algorithm is also proposed to improve the convergence rate and steady-state MSE, simultaneously. The proposed variable-scale factor structure consists of a function of error, featuring the adaptive updates of their parameter estimated by making discerning use of the error. In this paper, the nonlinear saturation characteristic of the Sigmoid function and low order norm criterion are used to overcome the performance degradation of training data destroyed by non-Gaussian impulse noise and colored noise. Through the convergence analysis, the parameter estimation sequence of our proposed algorithm proves convergent. Simulation results show that the proposed algorithm (VS-SKFLP) outperforms other kernel adaptive filtering algorithms in system recognition with different noise environments.