特邀综述
特邀综述
2021, 70 (15): 154302.
doi:10.7498/aps.70.20210284
摘要 +
齿鲸依靠其天然的声呐系统进行水下目标探测. 齿鲸通过前额的声发射系统发出超声脉冲, 经声阻抗各异的声学结构调控形成波束, 作用于目标, 利用下颌区域的多相声接收通道接收目标回波. 齿鲸通过分析目标回波中蕴含的时域、频域与能量等多维度信息, 并进行非线性组合, 实现目标探测与辨别. 齿鲸目标探测过程蕴藏复杂的物理机理. 本文以目标探测实验测量、目标回波散射分析与仿齿鲸声呐系统为出发点, 回溯齿鲸声呐目标探测的相关研究. 齿鲸在目标探测过程中, 会根据目标强度、回波的时频信息, 自适应调整其声发射脉冲频率、发射系统几何形态, 实现高效探测, 是优越的水声探测系统. 参考齿鲸声呐设计人工探测系统可获取多维度的声场信息, 与生物实验测量相辅相成, 加深对生物多相介质中的声发射与声接收过程的理解, 丰富齿鲸目标探测物理机理认知, 为人工仿生声探测技术的发展与仿生水下装置设计提供新参考.
综述
编辑推荐
2021, 70 (15): 157301.
doi:10.7498/aps.70.20210065
摘要 +
近年来, 铅基卤素钙钛矿因其制备工艺简单、载流子扩散距离长以及离子迁移速率快等优点而被应用于阻变存储器. 然而, 铅基卤素钙钛矿结构中的铅对人类健康与环境保护存在威胁, 限制了铅基卤素钙钛矿在数据存储领域的实际应用. 研究者们针对铅基钙钛矿铅毒性的问题展开了一系列研究. 其中, 非铅卤素钙钛矿因不含铅而被认为是最有前景的下一代新型阻变存储介质材料. 最近几年, 锡基、铋基、锑基和铜基等非铅卤素钙钛矿被引入阻变存储器领域. 本文系统地综述了非铅卤素钙钛矿材料及其阻变性能, 归纳了非铅卤素钙钛矿的阻变性能及其阻变机理, 指出了非铅卤素钙钛矿材料应用于阻变存储器存在的关键问题, 为进一步研究非铅钙钛矿阻存储器提供了参考.
2021, 70 (15): 157501.
doi:10.7498/aps.70.20210097
摘要 +
钙钛矿锰氧化物具备磁热效应高、性能稳定可控、成本低廉等显著优点, 是适用于室温磁制冷领域的优质候选工质材料之一. 但该体系内部电磁学性质复杂, 特别是关于铁磁相互作用机制和磁相变性质等关键科学问题仍然有待深入探索. 分析磁相变临界行为有利于揭示磁性材料内部的铁磁相互作用距离和机制等重要信息. 本文简要介绍了钙钛矿锰氧化物相关理论背景以及各种磁相变临界行为分析方法, 随后归纳了近年来多种钙钛矿锰氧化物的磁相变临界行为研究, 系统对比了不同带宽典型锰氧化物在单晶和多晶形态下的磁相变临界行为, 讨论了A/B位掺杂不同元素以及不同制备工艺条件对其临界参数的影响, 对其中渡越于一级和二级相变的La-Ca-Mn-O体系在不同磁场范围下的临界参数演化进行了讨论. 最后对处于磁相变三重临界点附近的部分锰氧化物材料的磁热效应研究进行了总结和展望.
总论
编辑推荐
2021, 70 (15): 150201.
doi:10.7498/aps.70.20210411
摘要 +
在大数据时代, 高效的数据处理至关重要, 量子计算具有平行计算能力, 为方便处理数据提供了新的解决途径. 本文提出了一个基于奇异值分解的矩阵低秩近似量子算法, 复杂度为
$O[\log(pq)]$
. 在核磁共振量子计算系统完成了算法的原理演示, 选择一个
$8\times8$
维的图像矩阵, 实现共振跃迁算法的哈密顿量
$\mathcal{H}$
的时间演化, 用量子态层析法分别读出密度矩阵的不同成分, 对密度矩阵进行重构, 保真度为99.84%, 在误差范围内验证了本文提出的矩阵低秩近似量子算法的正确性. 而通过奇异值分解计算低秩矩阵的经典算法的复杂度是
$O[\mathrm{poly}(p q)]$
, 量子算法与经典算法相比, 实现了指数加速.
2021, 70 (15): 150701.
doi:10.7498/aps.70.20210151
摘要 +
基于非对称光纤悬臂结构的Lissajous扫描光纤探头可实现低电压驱动下的大范围扫描成像. 本文研究了全封装的小型化预标定Lissajous扫描光纤探头. 通过优化设计与数值仿真, 选择了能实现高填充率Lissajous扫描的正交谐振频率, 确定了非对称光纤悬臂的结构参数. 全封装探头在5 mm工作距离处的焦点直径为25 μm, 视场大小达到1.5 mm × 1.5 mm, 总刚性长度和外径分别为35 mm和3.5 mm. 研究了全封装探头扫描轨迹的稳定性、可重复性与扫描成像的旋转稳定性. 结合实验室搭建的50 kHz扫频光学相干层析(OCT)系统, 对硬币和生物组织进行高质量成像, 验证了用于内窥OCT成像的小型化预标定Lissajous扫描光纤探头具有良好的成像性能.
2021, 70 (15): 150702.
doi:10.7498/aps.70.20210312
摘要 +
介绍了435—465 nm波段非相干宽带腔增强吸收光谱(IBBCEAS)技术对碘氧自由基(IO)的定量方法. 为准确获取IO的浓度信息, 对IBBCEAS系统高反镜的镜片反射率、有效腔长及损耗等参数进行了标定. 利用氮气和氦气之间瑞利散射的差异性标定了高反镜的反射率曲线, 在IO吸收峰436.1 nm处镜片反射率R为0.99982, 真空状态下有效吸收光程达到3.83 km. 根据O4的吸收, 修正后系统的有效腔长为60.7 cm. 采用艾伦方差对系统的性能进行评估, 在60 s时间分辨率下, 系统对IO和NO2的探测限(2σ)分别为1.9 pptv和20 pptv (1 pptv (part per trillion by volume) = 10–12). 通过鼓泡法将溶于碘化钾(KI)溶液的碘带出, 并将其光解后与臭氧反应产生稳定浓度的IO样气, 对IO在采样管内的损耗进行了标定, 结果表明IO的损耗可以忽略. 利用IBBCEAS系统对IO的线性进行测定, 在39—530 pptv的浓度范围下IO的测量浓度与配比浓度的相关系数R2为0.99. 进而, 利用该系统对海带排放的碘与臭氧反应生成的IO进行了测量.
原子和分子物理学
2021, 70 (15): 153301.
doi:10.7498/aps.70.20210450
摘要 +
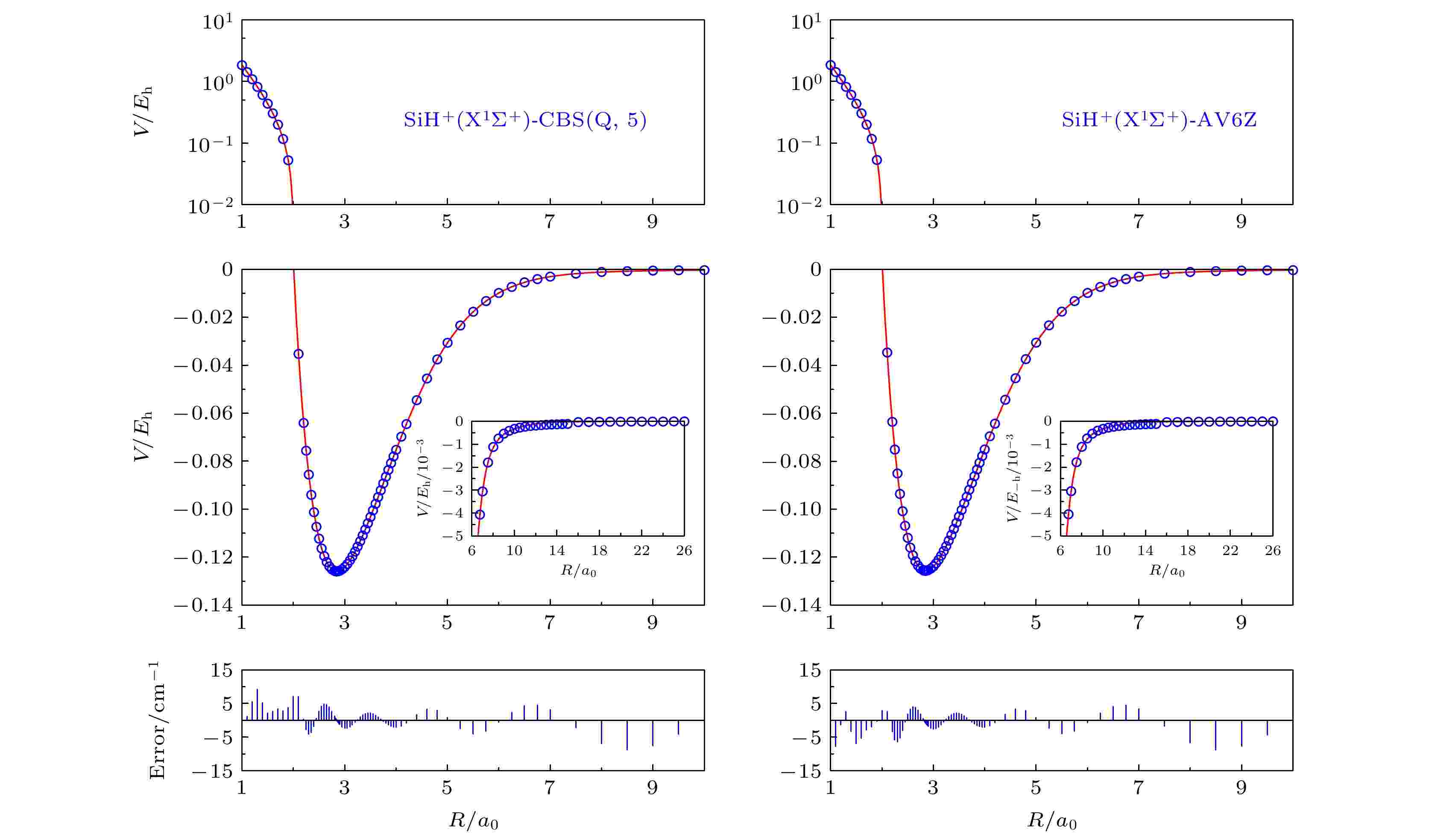
基于Molpro 2012程序包, 应用包含Davidson修正的多参考组态相互作用方法, 使用AVXZ和AVXdZ (X= T, Q, 5, 6)基组进行单点能从头算, 然后采用Aguado-Paniagua函数进行拟合, 得到了SiH+(X1Σ+)离子在不同基组、不同方法和是否考虑自旋-轨道耦合(SOC)情况下的解析势能函数(APEFs). 以APEFs为基础, 计算了SiH+(X1Σ+)离子的解离能De, 平衡键长Re, 振动频率ωe, 光谱常数Be,αe和ωeχe, 同时讨论了SOC对该体系的影响. 本文的计算结果与其他理论计算符合得较好, 与实验数值也基本吻合. 基于SOC-AV6dZ方法下的APEF, 通过求解径向薛定谔方程, 给出了SiH+(X1Σ+)离子的前23个振动能级(j= 0), 并详细列出了每1个振动能级及其相应的经典拐点, 每个振动态的转动常数和6个离心畸变常数, 且提供了振动能级图. 该工作对于实验和后续的理论工作有参考和指导作用.
电磁学、光学、声学、传热学、经典力学和流体动力学
封面文章
2021, 70 (15): 154101.
doi:10.7498/aps.70.20210188
摘要 +
随着智能技术的发展, 具有可调的电磁波极化转换器件对于实际应用来说至关重要. 目前大多数基于PIN二极管、变容二极管来实现电可调, 这些方法操作简单、实时性强, 但仍存在平面序构调控自由度少、电路复杂、成本较高等问题. 鉴于此, 本文提出了一种基于剪纸结构的可重构极化转换超表面, 通过调节折叠角度β改变磁偶极子之间的相互作用从而调谐极化转换工作频率, 这种机械调控方法带来了更多调控自由度, 且成本低廉、便于调控. 为验证本文剪纸方法的可行性, 基于非对称手性开口环谐振器设计了一款具有可重构空间序构的双频线极化转换超表面. 实验结果表明, 当β= 10°, 线极化转换器工作于5和5.8 GHz, 当β变化到45°时线极化转换器工作频段调谐到5.8和7.2 GHz, 平均频率调控范围达18.5%. 此外, 本文还分析了所提剪纸结构的泊松比和相对密度随β的变化规律, 泊松比随着β增大而增大, 且剪纸超表面的相对密度最小仅为未折叠情形下平面序构的1.5%. 本文空间序构剪纸超表面为可重构线极化转换、多功能器件提供了新思路和新方法.
2021, 70 (15): 154201.
doi:10.7498/aps.70.20210261
摘要 +
角锥棱镜是激光反射器的主要光学组件, 在合作目标卫星激光测距中发挥着关键作用. 精确计算角锥棱镜的远场衍射图样是估算激光测距回波能量的必要过程. 本文基于角锥棱镜的反射原理, 分析了不同激光入射方向对反射器有效反射面积的影响, 提出了一种适用范围更广的有效反射面积计算方法, 同时分析了激光入射方向对角锥棱镜光学反射率的影响. 在此基础上, 应用光学标量衍射理论建立了远场衍射图样算法, 分别对多种激光入射方向的镀金属(银)膜和无镀膜角锥棱镜进行了远场衍射图样仿真计算, 得到了两类角锥棱镜的远场衍射图样分布随入射方向变化的规律. 搭建了角锥棱镜远场衍射图样测试系统, 通过实测结果与仿真计算的对比分析, 验证了仿真计算的准确性.
2021, 70 (15): 154202.
doi:10.7498/aps.70.20210190
摘要 +
现存的同-离轴混合数字全息技术可同时解决同轴全息共轭像消除困难和离轴全息分辨率受限的问题, 但需预测衍射距离, 不仅复杂耗时, 且精度有限; 而远心成像技术可获得非衍射图像, 无需预测衍射距离, 并具有可消除球面像差和散焦像差等特性. 因此, 本文将远心成像技术引入同-离轴混合数字全息技术中, 提出一种远心同-离轴混合数字全息高分辨率重建方法. 该方法利用远心同-离轴混合数字全息系统, 分别采集聚焦的离轴全息图和同轴全息图; 进而将离轴全息图获得的低分辨率相位信息与同轴全息图获得的振幅信息相复合, 作为迭代恢复过程的物光复振幅初始值, 并分别在空域和频域进行约束迭代, 实现高分辨率重建. 实验结果表明, 该方法无需衍射距离等先验信息, 便可很好地消除共轭像和系统畸变的干扰, 并可充分利用图像传感器的空间带宽积, 实现物体的高分辨率重建.
编辑推荐
2021, 70 (15): 154203.
doi:10.7498/aps.70.20210318
摘要 +
连续变量量子态的制备与操控是进行量子通信、量子密钥分发以及量子网络构建的重要基础. 本文基于二阶非线性过程, 利用周期极化磷酸氧钛钾晶体构成的简并光学参量放大腔, 在实验上实现了1064 nm波段明亮压缩态光场的制备, 所制备的明亮压缩态光场在泵浦光功率为310 mW、分析频率为3 MHz处的压缩度为–11.6 dB. 当注入50 mW泵浦光时, 实现了压缩度为–6 dB, 纯度为98.5%的压缩态光场; 在此基础上, 利用光电调制器进行明亮压缩态光场的线性光学操控, 并基于平衡零拍探测系统的直流信号准确判断压缩态光场时域信号对应的相位, 之后结合极大似然估计算法实现压缩态的量子层析, 得到量子态的密度矩阵及相空间的Wigner函数, 从而获得量子态的光子数分布等全部信息.
2021, 70 (15): 154204.
doi:10.7498/aps.70.20210173
摘要 +
发展了利用两对拉曼光之间的相对相位精确调控拉曼耦合强度的新方法, 实现了两个量子态相干跃迁的操控. 对两对拉曼光的光路进行了特殊设计, 从而保证两对拉曼激光在传输过程中的相对相位保持恒定, 然后作用到87Rb原子的两个超精细塞曼能级
$\left| {1,1} \right\rangle $
和
$\left| {1,0} \right\rangle $
上, 实验观测了两个量子态的布居数随两对拉曼光之间的相对相位的变化关系. 该方法为超冷原子量子模拟实验提供了一个独特的操控参量——激光相位, 由此拓展了受激拉曼跃迁的应用范围, 为研究光与原子相互作用提供了一种新的方法.
2021, 70 (15): 154205.
doi:10.7498/aps.70.20210326
摘要 +
受激布里渊散射在激光雷达海洋遥感领域具有广泛应用, 而水体参数变化对其阈值及增益等关键特征参数影响的研究还很缺乏. 本文利用分布式噪声模型及耦合波方程, 理论分析了水的温度、压强和衰减系数对受激布里渊散射阈值和增益系数的影响. 在理论分析基础上, 设计了一种温度压强可控实验系统, 采用平均衰减系数法实验测量了不同温度、压强及衰减系数下的阈值和增益系数. 结果表明, 受激布里渊散射阈值随压力和衰减系数的增大而增大, 随温度的升高而减小, 而增益系数则呈现与阈值相反的变化趋势. 温度和衰减系数对阈值和增益系数的影响大于压力. 研究结果对受激布里渊散射激光雷达海洋遥感探测具有重要意义.
编辑推荐
2021, 70 (15): 154206.
doi:10.7498/aps.70.20210332
摘要 +
由高折射率介质材料制备的亚波长人工结构, 通过电磁谐振效应为在纳米尺度操控光提供了一种有效方法. 这类结构的吸收损耗通常较低, 然而辐射损耗降低了其非线性响应的效率. 通过连续域束缚态(bound states in the continuum, BICs)可望解决这个问题. BICs是一种处于连续域内而保持局域的非常规光学态, 存在于光锥线以内并且具有无限大的Q值. 本文提出通过破坏硅纳米颗粒阵列原胞的对称性将BIC转变成准BIC, 使得结构的透射谱中出现高Q的窄共振谷, 当调节泵浦波长至共振波长时, 非线性响应显著增强, 三次谐波激发的强度提高了6个数量级, 转化效率可提升至约2.6 × 10–6, 该结果有望应用于硅基光学非线性器件的设计.
2021, 70 (15): 154207.
doi:10.7498/aps.70.20210228
摘要 +
提出一种基于阶梯相位调制的窄谱激光主动照明方法, 利用阶梯型相位调制器对窄谱激光进行相位调制, 提高照明激光到达目标处的光斑均匀性和稳定性. 建立了窄谱激光阶梯相位调制和照明激光远场光斑均匀性的理论模型, 搭建了光束经过1.8 km水平传输的窄谱激光主动照明实验平台, 通过5阶梯相位调制器对0.05 nm线宽的照明激光进行相位调制, 实现了照明激光远场光斑匀化实验. 实验结果表明, 通过5阶梯相位调制器进行相位调制后, 远场光斑包含57%能量区域的空间闪烁率从0.73改善到0.33, 中心光强时间闪烁指数从0.38改善到0.14, 照明激光远场光斑均匀性和稳定性都得到明显提升.
编辑推荐
2021, 70 (15): 154208.
doi:10.7498/aps.70.20210118
摘要 +
三阶Ho3+离子的红光发射位于生物组织的“光学窗口”中, 在生物医学领域具有巨大应用前景, 增强其红光发射已成为大家关注热点. 为此, 本文借助外延生长技术构建NaYF4:Yb3+/Ho3+/Ce3+@NaYF4纳米核壳结构, 并在其外壳中引入不同浓度的敏化离子Yb3+和Nd3+离子, 以构建新的能量传递通道, 实现Ho3+离子的上转换红光发射增强. 实验结果表明: 在近红外光980 nm 及800 nm激发下, NaYF4:Yb3+/Ho3+/Ce3+@NaYF4:Yb3+和NaYF4:Yb3+/Ho3+/Ce3+@NaYF4:Yb3+/Nd3+核壳纳米结构均可实现Ho3+离子的红光发射增强, 最高可增强6.1倍, 主要是由于外壳中的敏化离子可传递更多的激发能给Ho3+离子. 同时, 研究发现在双波长(980 nm +800 nm)共激发下, NaYF4:20%Yb3+/2%Ho3+/12%Ce3+@NaYF4:15%Yb3+/20%Nd3+核壳纳米晶体的红光发射强度明显高于两个单一波长激发下的红光发射强度及其之和, 其原因是由双波长共激发的协同效应所致. 由此可见, 通过引入不同敏化离子构建多模式激发的稀土掺杂纳米核壳结构, 不仅可实现上转换红光发射的增强及激发的有效调控, 且可为进一步拓展该类材料在生物医学、防伪编码、多色显示等领域中的应用提供新思路.
2021, 70 (15): 154209.
doi:10.7498/aps.70.20210355
摘要 +
提出并证明了一种利用时延光子储备池计算短期预测混沌激光的时间序列. 具体来说, 建立基于光反馈和光注入半导体激光器的储备池结构, 通过选择合适的系统参数, 时延光子储备池计算可以有效地预测混沌激光约2 ns的动态轨迹. 此外, 研究了系统参数对预测结果的影响, 包括掩模类型、虚拟节点数、训练数据长度、输入增益、反馈强度、注入强度、岭参数和泄漏率. 作为一种具有全光实现潜力的机器学习方法, 时延光子储备池具有结构简单、训练成本低、易于硬件实现等优点.
2021, 70 (15): 154301.
doi:10.7498/aps.70.20202172
摘要 +
构造了一种多腔型基本单元, 由该基本单元构成的声学超构材料能够实现声场增强效应. 此功能的实现是由基本单元的声腔和系统结构之间的相互耦合作用产生的单极子Mie共振引起. 本文通过对多个基本单元进行不同形式的排列组合构造了对称型超构材料和非对称型超构材料, 这两类超构材料可用于实现不同效果的声场增强. 研究表明, 由于对称型超构材料结构的高度对称, 其声场增强效应的实现不受入射声波方向的影响; 而非对称型超构材料的声场增强效应具有较强的方向依赖性, 声波从不同侧入射时, 超构材料对声场的增强效果也不同. 本文关于这两类超构材料的研究将在隔声、声传感器、声通信、非对称性声学器件方面具有潜在的应用前景.
2021, 70 (15): 154701.
doi:10.7498/aps.70.20210194
摘要 +
声空化机械效应是聚焦超声治疗的重要物理机制. 以脂类包膜微泡/纳米相变液滴为空化核可显著地增强空化效应, 本文耦合空化动力学、组织和脂类包膜黏弹性模型, 构建了组织内脂类包膜微泡声空化动力学模型, 数值分析了微泡声空化动力学行为以及周围组织内机械应力的时空分布规律, 并探究了包膜材料、组织黏弹性和驱动声压等关键参数的影响. 包膜和组织黏弹性都将抑制微泡振动, 但组织黏弹性的抑制作用更大. 组织内机械应力在膨胀阶段为挤压应力, 而在收缩阶段和反弹初始阶段为拉伸应力, 且应力局部分布于微泡壁附近, 随着距离增大而显著减小, 其中拉伸应力衰减率明显更大. 包膜黏弹性可减小应力, 但声压较大时, 应力减小可忽略不计. 应力随着组织弹性增大而减小, 随着组织黏度增大而先增大后减小, 随着声压增大而增大. 本研究可为进一步阐释聚焦超声治疗中组织机械损伤的内在机制奠定重要理论基础.
2021, 70 (15): 154702.
doi:10.7498/aps.70.20202024
摘要 +
采用CTU + CT (corner transport upwind + constrained transport)算法对磁流体动力学方程组进行求解, 分别对有无磁场控制条件下开尔文-赫姆霍兹(Kelvin-Helmholtz, KH)不稳定性的演化过程进行数值模拟. 数值结果分析了磁场(
$ {M_{\rm{A}}} = 3.33$
)对混合层流场涡量和压力演化的影响, 并与经典流体力学情况进行对比; 另外, 还从磁压力和磁张力分布情况对磁场抑制KH不稳定性的机理进行分析. 结果表明, 外加磁场对混合层结构的演变产生很大的影响, 其中, 磁压力使涡量在界面处沉积, 而磁张力能够产生一个与涡旋转方向相反的力矩, 从而对大涡结构起到拉伸破坏作用, 最终抑制了涡的卷起. 此外, 当流动发展到一定阶段, 在磁压力、磁张力以及压力场的共同作用下, 界面在曲率最大位置处会发生分离, 最终形成“鱼钩”状涡结构.
气体、等离子体和放电物理
2021, 70 (15): 155201.
doi:10.7498/aps.70.20202091
摘要 +
大气压非平衡低温等离子体在生物医学和表面处理等方面具有广泛的应用前景, 引起研究者的关注. 等离子体射流是产生大气压非平衡等离子体的重要方式, 但通常产生的等离子体羽尺度较小. 针对于此, 本文采用一个具有三电极的介质阻挡放电装置, 在交流电压与负偏置电压的共同作用下, 在流动氩气的下游产生了大尺度刷状等离子体羽(50.0 mm × 40.0 mm). 结果表明, 随着交流电压峰值的增加, 等离子体羽的亮度增大. 通过快速影像, 研究发现视觉均匀的等离子体羽是由分叉流光的时间叠加构成的. 电压和发光信号波形表明交流电压的每个周期放电一次, 且放电出现于外加电压的正半周期. 随着交流电压峰值的增加, 分叉流光的分叉数量增多, 导致放电脉冲的持续时间增加且脉冲强度增强. 利用光谱仪测量了300—850 nm的发射光谱, 发现谱线包括308.0 nm处的OH (A2Σ+—X2Π), N2(C3Πu—B3Πg)的第二正带系, Ar I (4p—4s)以及844.6 nm处的O I (3p3P—3s3S). 基于发射光谱, 研究了分子振动温度及谱线强度比随实验参数的变化关系. 结果表明, 电子温度、分子振动温度和电子密度具有相似的变化趋势. 利用光化线强度比的方法, 研究了等离子体羽中氧原子浓度随实验参数的变化. 结果表明氧原子浓度沿气流方向先增加后降低, 随工作气体中氧气含量的增加先增加后降低. 此外, 氧原子浓度随交流电压峰值的增大而增加, 并对氧原子浓度的变化进行了定性的解释.
2021, 70 (15): 155202.
doi:10.7498/aps.70.20202135
摘要 +
射频热等离子体的产生包含了丰富、复杂的物理场分布, 正确认识这些物理场分布对射频热等离子体在工业领域的应用有指导作用. 本文建立了三维射频热等离子体的热-电-磁-流动强耦合数学物理模型, 考虑了感应线圈的真实螺线管结构, 开发了用于计算三维射频热等离子体复杂电磁场的C++程序代码, 计算了射频热等离子体重要物理场, 如温度场、流场和电磁场的分布情况. 结果表明, 射频热等离子体各物理场分布具有三维非对称效应, 感应线圈结构对温度场和流场的空间分布有重要影响. 研究结果对优化、控制射频热等离子体的实际应用过程有重要的指导意义.
凝聚物质:结构、力学和热学性质
2021, 70 (15): 156101.
doi:10.7498/aps.70.20210351
摘要 +
为了研究氢气与辐射感生产物之间的作用关系, 以栅控横向PNP双极晶体管为研究对象, 分别开展了氢气氛围中浸泡后的辐照实验和辐照后氢气氛围中退火实验, 结果表明: 氢气进入双极晶体管后会使其辐照损伤增强, 并且未浸泡器件辐照后在氢气中退火也会使晶体管辐射损伤增强. 基于栅扫描法分离的辐射感生产物结果表明, 氢气进入晶体管会使得界面陷阱增多, 氧化物陷阱电荷减少, 主要原因是氢气进入氧化层会与辐射产生的氧化物陷阱电荷发生反应, 产生氢离子, 从而使界面陷阱增多. 基于该反应机理, 建立了包含氢气反应和氢离子产生机制的低剂量率辐照损伤增强效应数值模型, 模型仿真得到的界面陷阱及氧化物陷阱电荷面密度数量级和变化趋势均与实验结果一致, 进一步验证了氢气在双极器件中辐照反应机理的正确性, 为双极器件辐照损伤机制研究和在氢氛围中浸泡作为低剂量率辐射损伤增强效应加速评估方法的建立提供了参考和理论支撑.
2021, 70 (15): 156201.
doi:10.7498/aps.70.20210253
摘要 +
开展了在513, 523, 533 K温度下硒熔体的快速压致凝固实验, 分析了不同保温时间即0, 30, 60 min对凝固晶体尺寸及形貌的影响. 发现随着保温时间的延长, 晶粒不断发生聚集生长, 晶粒尺寸变大. 通过与相同温度、压力条件下非晶硒、超细晶体硒粉等温结晶的样品对比, 否定了快压凝固结构为非晶硒、非晶硒晶化为晶体硒的可能性, 认为硒熔体快压凝固的结构为晶体硒, 在保温过程中晶体颗粒在晶界处可以发生聚集生长. 分析发现熔体快速压致凝固法不能得到非晶硒的原因在于实验条件下非晶硒为不稳定相, 非晶硒的晶化温度随压力关系在2 GPa前后表现出不同的变化趋势, 推测压力对过冷液态硒的微观结构有影响.
2021, 70 (15): 156801.
doi:10.7498/aps.70.20210101
摘要 +
基于分子模拟的高通量计算方法, 通过对199个沸石结构特征和吸附分离性能之间的关联性研究, 发现具有超微孔结构的沸石材料对CH4分子有良好的吸附分离性能, 等摩尔CH4/H2混合组份的CH4吸附选择性和单组份的CH4吸附量之间存在明显的线性关系. 通过使用巨正则蒙特卡罗模拟方法, 获得了3个孔道形沸石对CH4和H2的吸附等温线和等量吸附热等物理量. 结果表明在相同外界环境下, 孔道形沸石的孔结构(表面积和孔体积)对CH4吸附量的影响高于能量效应(吸附热). 结合甲烷蒸汽重整制氢的工业背景, 进一步研究了CH4/H2混合体系在不同组份下的分离选择性能, 结果表明, 超微孔沸石材料对CH4的吸附选择性与体相压力和进料比无关. 通过气体分子的质心分布密度发现, CH4在孔道形沸石中优先占据更小孔窗的空间, 而H2的分布范围更大但是未存在明显的优先吸附位点.
凝聚物质:电子结构、电学、磁学和光学性质
2021, 70 (15): 157101.
doi:10.7498/aps.70.20201952
摘要 +
通过密度泛函理论计算, 研究了气体小分子吸附在单层黑磷砷表面的电学和磁学特性. 选择4个初始吸附点位来探索CO, CO2, NH3, SO2, NO和NO2气体分子最优的吸附位置, 计算了吸附能、吸附距离和电荷转移等电子结构参数, 确定了吸附类型和敏感气体. 结果表明, 单层黑磷砷以强的物理吸附对NO2和SO2气体敏感, 而通过化学吸附对NO气体敏感并且N原子和P原子间还形成新的化学键. 从能带结构角度, CO, CO2和NH3这三种气体吸附对黑磷砷的能带结构影响很小, SO2气体吸附增大带隙宽度. 磁性气体NO 和NO2的吸附则在费米能级附近引入杂质能带, 这主要来源于N原子和O原子的p轨道, 并且减小了带隙宽度. NO和NO2气体还分别诱导了0.83μB和0.78μB的磁矩, 使得整个体系带有磁性. 理论研究表明, 单层黑磷砷是检测NO, NO2和SO2气体的良好气敏材料.
2021, 70 (15): 157302.
doi:10.7498/aps.70.20202156
摘要 +
圆柱形双栅场效应晶体管(CSDG MOSFET)是在围栅MOSFET器件增加内部控制栅而形成, 与双栅、三栅及围栅MOSFET器件相比, 圆柱形双栅MOSFET提供了更好的栅控性能和输出特性. 本文通过求解圆柱坐标系下的二维泊松方程, 得到了圆柱形双栅 MOSFET的电势模型; 进一步对反型电荷沿沟道积分, 建立其漏源电流模型. 分析讨论了圆柱形双栅MOSFET器件的电学特性, 结果表明: 圆柱形双栅MOSFET外栅沿沟道的最小表面势和器件的阈值电压随栅介质层介电常数的增大而减小, 其漏源电流和跨导随栅介质层介电常数的增大而增大; 随着器件参数的等比例缩小, 沟道反型电荷密度减小, 其漏源电流和跨导也减小.
2021, 70 (15): 157401.
doi:10.7498/aps.70.20202020
摘要 +
无铅硫族化合物SnTe因与PbTe具有相似的晶体结构和能带结构, 近些年受到广泛关注, 然而其较低的Seebeck系数、本征高Sn空位浓度以及高的热导率导致本征热电性能较差. 本文通过高温高压结合热压烧结的方式制备了Mn, In, Cu共掺杂的SnTe基热电材料. Mn带来的能带收敛和In引入的共振能级的共同作用提高了材料整个温度范围内的Seebeck系数, 优化了材料的功率因子. 此外, Mn合金化带来的点缺陷和Cu引入的间隙缺陷增强了声子散射, 有效降低了材料的晶格热导率. 多种策略结合下材料的电性能与热性能同时得到优化, 其中Sn0.89Mn0.15In0.01Te(Cu2Te)0.05样品在873 K时获得最大zT≈ 1.45, 300—873 K的平均zT达到0.76. 多策略协同调控SnTe基热电材料时仍能较好地保持单策略所发挥的优异特性, 这为进一步改进SnTe基热电材料性能提供了可能.
2021, 70 (15): 157502.
doi:10.7498/aps.70.20210014
摘要 +
具有巨大应用潜力的二维材料在纳米技术领域引起了人们极大的研究兴趣. 基于第一性原理计算, 本文预测了二维六角晶格BaPb体系具有室温量子反常霍尔效应. 体系磁基态是铁磁半金属态, 并且自旋极化的Pb-p轨道导致体系的时间反演对称性破缺. 具有非零Chern数(C= 1)的单层BaPb中非平庸拓扑性来源于全自旋极化的px,y轨道形成的二次型非狄拉克能带. 不同于之前报道的pz轨道形成的狄拉克拓扑态很容易被衬底破坏, px,y轨道形成的σ键非常稳定. 当考虑自旋-轨道耦合作用时, 二次型的非狄拉克点打开了接近177.39 meV的非平庸带隙. 通过反常霍尔电导、陈数、贝里曲率和边缘态的计算, 证实了BaPb非平庸的拓扑性. 此外, 体系还表现出每个单元52.01 meV的大磁晶各向异性能.
物理学交叉学科及有关科学技术领域
2021, 70 (15): 158101.
doi:10.7498/aps.70.20202141
摘要 +
高质量单畴REBa2Cu3O7–δ(REBCO)超导块材具有广泛的应用前景, 但制备过程中极易产生大量多畴样品, 致使成功率明显下降、成本显著提高, 并制约其进一步批量化和实用化的进程. 受顶部籽晶熔渗生长(TSIG)方法的启发, 本文提出了一种对生长失败的GdBCO超导块材重新单畴化织构生长的新方法, 即将生长失败的样品进行预处理后作为固相源坯块, 然后采用改进后的TSIG法进行二次单畴化织构生长, 并成功地制备出了一系列二次单畴化的GdBCO超导样品, 同时, 对样品的超导性能及微观结构进行了研究. 结果表明, 所制备的二次单畴化GdBCO超导样品的磁悬浮力均大于30 N, 样品的捕获磁通密度均在0.3 T以上, 捕获磁通效率高达60%以上, 该结果为进一步发展低成本、高效率制备REBCO超导体的新方法提供了科学依据和新思路.
2021, 70 (15): 158201.
doi:10.7498/aps.70.20201710
摘要 +
采用线性耦合Brusselator模型和Lengyel-Epstein模型, 数值研究了双层耦合非对称反应扩散系统中振荡图灵斑图的动力学, 并分析了图灵模、高阶模以及霍普夫模之间的相互作用及其对振荡图灵斑图的影响. 模拟结果表明, 在Lengyel-Epstein模型激发的超临界图灵模
$ {k_1}$
的激励下, Brusselator模型中处于霍普夫区域的高阶模
$ \sqrt 3 {k_1}$
被激发, 这两个模式相互作用从而产生了同步振荡六边形斑图. 随着控制参数b的增加, 该振荡六边形斑图首先经历倍周期分岔进入双倍振荡周期, 经历多倍振荡周期后, 在霍普夫模式的参与下, 最终进入时空混沌态. 同步振荡六边形斑图形成的条件是Brusselator模型中的次临界图灵模
$ {k_2}$
的本征值高度低于处于霍普夫区域的高阶图灵模
$ \sqrt 3 {k_1}$
的本征值高度, 且两个图灵模之间不存在空间共振关系. 当两个图灵模满足空间共振时, 系统优先选择空间共振模式, 从而产生超点阵斑图. 霍普夫模和图灵模共同作用下只能产生非同步振荡图灵斑图. 此外, 耦合强度对振荡图灵斑图也有重要的影响.
2021, 70 (15): 158202.
doi:10.7498/aps.70.20201279
摘要 +
当前, 对暴露于极端环境中的含能材料的相对安全性的关注日益增加. 理解含能材料在冲击加载下的初始分解机理是探索新型高能顿感材料的基础. 本文利用多尺度冲击技术(multi-scale shock technique, MSST)结合反应力场(ReaxFF)分子动力学的方法研究冲击加载下环三亚甲基三硝胺(RDX)的完美晶体和分子空位晶体的初始动态响应及反应机理, 计算了可能参与反应的原子间径向分布函数, 分析了不同冲击速度及分子空位缺陷对冲击加载过程的影响. 结果表明: 在冲击加载下, 完美RDX晶体和空位RDX晶体的初始分解方式均为首先发生N—NO2键断裂, 随后是C—N键的断裂. 此外, 还可能会出现C—H键断裂, 并有氢转移到硝基中的氧原子上形成HONO. 随着冲击速度的增加, 两种RDX晶体的化学键断裂数目增多, 反应更强烈. 分子空位缺陷的存在增强了N—NO2的反应活性, 使其更易发生断裂, 进而加速空位RDX晶体的初始反应.
编辑推荐
2021, 70 (15): 158203.
doi:10.7498/aps.70.20210227
摘要 +
掺杂是提高LiFePO4体相电子电导率, 优化其电化学性能的重要方法之一. 稀土元素因具有高的电子电荷、大的离子半径以及强的自极化能力, 成为掺杂改性的重要选择. 本文利用基于密度泛函理论的第一性原理方法研究了稀土元素 (La, Ce, Pr) 掺杂的锂离子电池正极材料LiFePO4的性质. 计算结果表明, 稀土元素掺杂均不同程度地增加了LiFePO4的晶格常数和晶胞体积. 在脱锂过程中, 稀土掺杂后材料体积变化率明显减小, 材料的循环性能提升, 但电池能量密度下降. 稀土掺杂使LiFePO4由原来的半导体特性转变为金属特性, 增加了材料的电子电导率. 力学特性的计算表明稀土显著增加了LiFePO4材料的延展性. 另外, La和Ce掺杂后的LiFePO4在Li离子迁移过程中表现出复杂的能垒变化, 在远离稀土离子处迁移势垒呈现出不同程度的减小, 而在靠近稀土离子处迁移势垒起伏较大. 与Ce掺杂相比, La掺杂造成的离子迁移势垒的变化程度更大, 表明稀土离子掺杂对体系局域结构产生较大的影响.
2021, 70 (15): 158401.
doi:10.7498/aps.70.20210075
摘要 +
为了进一步提高非线性自适应滤波算法在非高斯冲激噪声以及有色噪声环境下的鲁棒性, 提出了一种基于S型函数的变尺度核分式低次幂自适应滤波算法, 该算法利用S型函数的非线性饱和特性和低阶范数准则来克服训练数据被非高斯冲激噪声破坏时性能下降的问题, 并将S型函数与核分式低次幂算法的代价函数相结合后, 通过引入的变尺度因子来平衡和进一步提高算法的收敛速度与稳态误差性能. 仿真结果表明在不同噪声环境的系统识别中, 所提算法相比其他核自适应滤波算法的性能更优.
2021, 70 (15): 158501.
doi:10.7498/aps.70.20210168
摘要 +
功分器是将信号按照一定比例进行功率分配的微波器件, 广泛应用于微波电路. 鉴于超导功分器是超导量子计算电路和超导微波光子探测器的重要器件单元, 本文首先采用奇偶模方法分析三端口微波网络传输特性以获取无隔离电阻功分器的参数, 其次通过商用电磁仿真软件HFSS设计了中心频率为5 GHz、功分比为等分的共面波导型超导微波功分器. 然后利用微加工技术在硅基上制备了该原型器件, 并在极低温平台对其功分特性进行了实验测试. 结果表明, 所制备的功分器在5—5.5 GHz频段内的功分参数与设计参数一致. 因此, 本文工作可推广应用于超导微波电路中其他无源器件的设计和制备.
编辑推荐
2021, 70 (15): 158701.
doi:10.7498/aps.70.20210707
摘要 +
DNA聚合酶是执行DNA复制和修复的重要蛋白, 由于其只能从5′向3′方向聚合, 所以在聚合双链DNA时会有两种模式: 其一是先打开DNA双链, 让其暴露出3′-5′方向的模板链(先导链), 然后沿着这条链复制出新链以此置换旧链, 这就是链置换的合成. 另一种是沿着已经置换出的5′-3′方向的模板链(滞后链)进行延伸合成. T7噬菌体作为常被研究的模式生物, 其DNA聚合酶gp5在复制过程中既会参与链置换也会参与延伸合成, 已有的研究报道gp5自身独立链置换的能力很弱, 其与T7解旋酶gp4耦合形成复制体后可以发生快速且持续的链置换, 这一现象的分子机制尚待厘清. 本文通过单分子荧光共振能量转移(smFRET)的方法对gp5聚合过程的动力学进行了研究, 发现gp5在没有外力帮助下时会进入链置换-外切的循环, 导致聚合难以延伸, 调控这一循环的关键则是DNA双链退火压力. 进一步的实验表明gp5和gp4形成复制体后, gp4辅助gp5克服了退火压力从而聚合可以延伸.
2021, 70 (15): 158702.
doi:10.7498/aps.70.20201884
摘要 +
螺旋相衬显微术利用螺旋相位滤波器实现了样品振幅和相位的定量测量, 可被广泛应用于生物医学成像、工业检测等领域. 然而, 传统的螺旋相衬显微术需要通过三步相移法进行相位恢复, 图像采集和处理过程相对复杂, 时间分辨率较低. 为了提升其特性, 本文提出了一种基于分数阶螺旋相位片的定量相位成像方法和系统, 通过一幅经分数阶螺旋相位滤波的样品强度图像, 利用改进的Gerchberg-Saxton迭代相位恢复算法实现了样品相位的定量重构, 简化了实验过程和相位重构步骤. 计算机模拟实验研究了基于不同拓扑荷数的螺旋相位片的相位成像和重构过程, 分析了其可行性. 最后, 通过对定制的相位型光栅和生物细胞样品进行了成像和相位重构, 验证了基于分数阶螺旋相位片的相衬显微方法可以有效地提高螺旋相衬显微成像的对比度, 能够定量获其样品的相位信息, 对于螺旋相衬显微术的发展具有重要的研究意义和应用价值.
2021, 70 (15): 158703.
doi:10.7498/aps.70.20210421
摘要 +
生物体经过神经元进行信息处理产生指令, 控制各种功能和活动. 神经元可通过神经微管维持动态生长, 辅助蛋白转运等, 微管蛋白可产生电磁信号进行信息交换. 微管蛋白具有强极性分布, 本文通过研究微管不同振动模式产生的电磁特性, 分析微管周围的电磁场分布和相互作用. 结果表明, 微管蛋白在太赫兹波段有众多振动模式. 在多微管间纳米尺度内, 细胞溶液介电系数在太赫兹波段随频率增加而减小, 在相邻微管间可产生强于热噪声的电磁场. 合理调节微管长度、振动振幅等参数可能获得溶液中可探测太赫兹电磁场. 微管振动产生电磁场, 可用于疾病诊断和脑机接口等.
2021, 70 (15): 158704.
doi:10.7498/aps.70.20210297
摘要 +
基于生物阻抗谱技术, 提出一种非侵入式、快速、便捷的舌体肿瘤组织识别方法. 根据舌体组织不同病理及生理状态下电学特性的差异性来判断其是否病变, 以帮助主刀医师在临床舌体肿瘤手术切除中既能完整的切除肿瘤又能尽可能多的保留患者舌功能. 本文在小鼠上建立了人舌鳞癌细胞(HSC3)原位舌癌移植瘤模型, 用生物阻抗谱的方法对其正常组织区域、混有肿瘤组织区域及肿瘤组织区域进行了电学特性研究. 幅值频谱显示在8.09 × 105—5 × 106Hz的高频段可以根据其电学特性区分3种组织. 在实验过程中, 从高频段的幅值频谱中提取出弛豫频率frelax、电阻抗实部
${{{Z}}'_{\rm{relax}}}$
和电阻抗虚部
${{{Z}}''_{\rm{relax}}}$
3个电学参数, 并根据这3个电学参数定义癌变组织系数α与β(待测组织阻抗值相对于正常组织阻抗值的实部变化百分比记为α, 虚部相对变化百分比记为β)进行肿瘤组织识别. 结果表明, 当α≤ 36.5%,β≤ 31.2%时, 组织是正常组织; 当α≥ 36.5%,β≥ 31.2%时, 组织可能混有肿瘤组织; 当α≥ 82.7%,β≥ 73.6%时, 组织是肿瘤组织.
2021, 70 (15): 158801.
doi:10.7498/aps.70.20210397
摘要 +
CsSnBr3作为一种重要的钙钛矿太阳能电池材料已经被广泛研究. 基于密度泛函理论, 利用第一性原理来研究在不同静水压力下CsSnBr3的光电性质. 结果发现, 当压力为2.6 GPa时, CsSnBr3具有最佳光学带隙值1.34 eV, 因此, 本文只对比研究CsSnBr3在0和2.6 GPa静水压力下的光电性质. 当压力为2.6 GPa时, CsSnBr3具有更大的介电值、电导率、吸收系数及折射率, 吸收光谱有红移现象, 且其电子和空穴的有效质量、激子的结合能都比较小, 这表明CsSnBr3是一种高效的光吸收材料. 通过Born-Huang 稳定标准判据, 容差因子T和声子谱有无虚频的三重计算, 发现在压力0和2.6 GPa下, CsSnBr3都是稳定的. 由加压前后CsSnBr3的弹性模量值可知他们都是偏软性的, 具有良好的延展性和各向异性. 加压后CsSnBr3的德拜温度和热容量很快趋于稳定, 与温度无关; 而焓和熵则随着温度升高而增加, 增加的幅度大于未加压的情况; 吉布斯自由能都呈现出降低的趋势, 未加压时降低得稍快. 本研究表明, 施加静水压力后的CsSnBr3是一种良好的光电材料, 适合用于钙钛矿太阳能电池.




