-
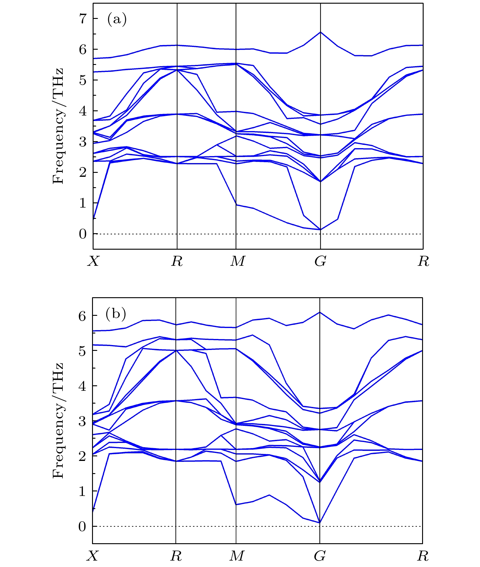
CsSnBr 3作为一种重要的钙钛矿太阳能电池材料已经被广泛研究. 基于密度泛函理论, 利用第一性原理来研究在不同静水压力下CsSnBr 3的光电性质. 结果发现, 当压力为2.6 GPa时, CsSnBr 3具有最佳光学带隙值1.34 eV, 因此, 本文只对比研究CsSnBr 3在0和2.6 GPa静水压力下的光电性质. 当压力为2.6 GPa时, CsSnBr 3具有更大的介电值、电导率、吸收系数及折射率, 吸收光谱有红移现象, 且其电子和空穴的有效质量、激子的结合能都比较小, 这表明CsSnBr 3是一种高效的光吸收材料. 通过Born-Huang 稳定标准判据, 容差因子 T和声子谱有无虚频的三重计算, 发现在压力0和2.6 GPa下, CsSnBr 3都是稳定的. 由加压前后CsSnBr 3的弹性模量值可知他们都是偏软性的, 具有良好的延展性和各向异性. 加压后CsSnBr 3的德拜温度和热容量很快趋于稳定, 与温度无关; 而焓和熵则随着温度升高而增加, 增加的幅度大于未加压的情况; 吉布斯自由能都呈现出降低的趋势, 未加压时降低得稍快. 本研究表明, 施加静水压力后的CsSnBr 3是一种良好的光电材料, 适合用于钙钛矿太阳能电池.
-
关键词:
- 密度泛函理论/
- CsSnBr3钙钛矿/
- 静水压力/
- 光电性质
As an important perovskite solar cell (PSC) material, CsSnBr 3has been widely studied. Based on the density functional theory (DFT), the photoelectric properties of CsSnBr 3are studied by using the first-principles at different hydrostatic pressures. It is found that CsSnBr 3has an optimal optical band gap value of 1.34 eV under a pressure of 2.6 GPa, so only the photoelectric properties of CsSnBr 3under the hydrostatic pressure of 0 GPa and 2.6 GPa are studied, respectively. When the pressure is 2.6 GPa, CsSnBr 3has larger values of dielectric, conductivity, absorption coefficient and refractive index, the red-shifted absorption spectrum, and relatively small effective mass of electron and hole and exciton binding energy, indicating that CsSnBr 3is an efficient light absorbing material. According to the triple calculations of Born-Huang stability standard criterion, the tolerance factor Tand phonon spectrum with or without virtual frequency, it is found that CsSnBr 3is stable under the pressure of 0 GPa and 2.6 GPa. According to the elastic modulus value of CsSnBr 3before and after pressure, it can be seen that the CsSnBr 3is soft, with good ductility and anisotropy. The Debye temperature and heat capacity of CsSnBr 3, soon after it has been pressured, tend to be stable and are independent of temperature. The enthalpy and entropy increase with temperature increasing, and the increased amplitude is larger than those of the unpressured CsSnBr 3. Gibbs free energy shows a decreasing trend, and the decrease is slightly faster when unpressured. This study shows that CsSnBr 3is a good photoelectric material after having been pressured hydrostatically, which is suitable for perovskite solar cells.-
Keywords:
- density functional theory/
- CsSnBr3perovskite/
- hydrostatic pressure/
- photoelectric properties
[1] [2] [3] [4] [5] [6] [7] [8] [9] [10] [11] [12] [13] [14] [15] [16] [17] [18] [19] [20] [21] [22] [23] [24] [25] [26] [27] [28] [29] [30] [31] [32] [33] [34] [35] [36] [37] [38] [39] [40] [41] [42] [43] [44] [45] [46] -
a=b=c/Å α=β=γ/(°) V/Å3 Space group Findit 5.80 90.00 195.11 $Pm\bar3m$ GO 5.94 90.00 209.58 $ Pm\bar 3m $ Pressure/GPa me(R→X) me(R→M) me(R→G) ${\bar m_{\rm{e}}}$ mh(R→X) mh(R→M) mh(R→G) ${\bar m_{\rm{h}}}$ εs Eb/meV 0 0.523 0.524 0.184 0.410 0.072 0.075 0.072 0.073 3.8 58 2.6 0.418 0.418 0.143 0.326 0.052 0.063 0.051 0.055 3.9 42 Pressure/GPa C11 C12 C44 B G B/G A 0 37.40 6.32 5.21 16.68 8.22 2.03 0.34 2.6 67.36 11.56 5.20 30.17 10.99 2.73 0.19 Cs+ Sn2+ Br– T R/nm 0.167 0.112 0.196 0.83 -
[1] [2] [3] [4] [5] [6] [7] [8] [9] [10] [11] [12] [13] [14] [15] [16] [17] [18] [19] [20] [21] [22] [23] [24] [25] [26] [27] [28] [29] [30] [31] [32] [33] [34] [35] [36] [37] [38] [39] [40] [41] [42] [43] [44] [45] [46]
计量
- 文章访问数:5186
- PDF下载量:131
- 被引次数:0












下载:









