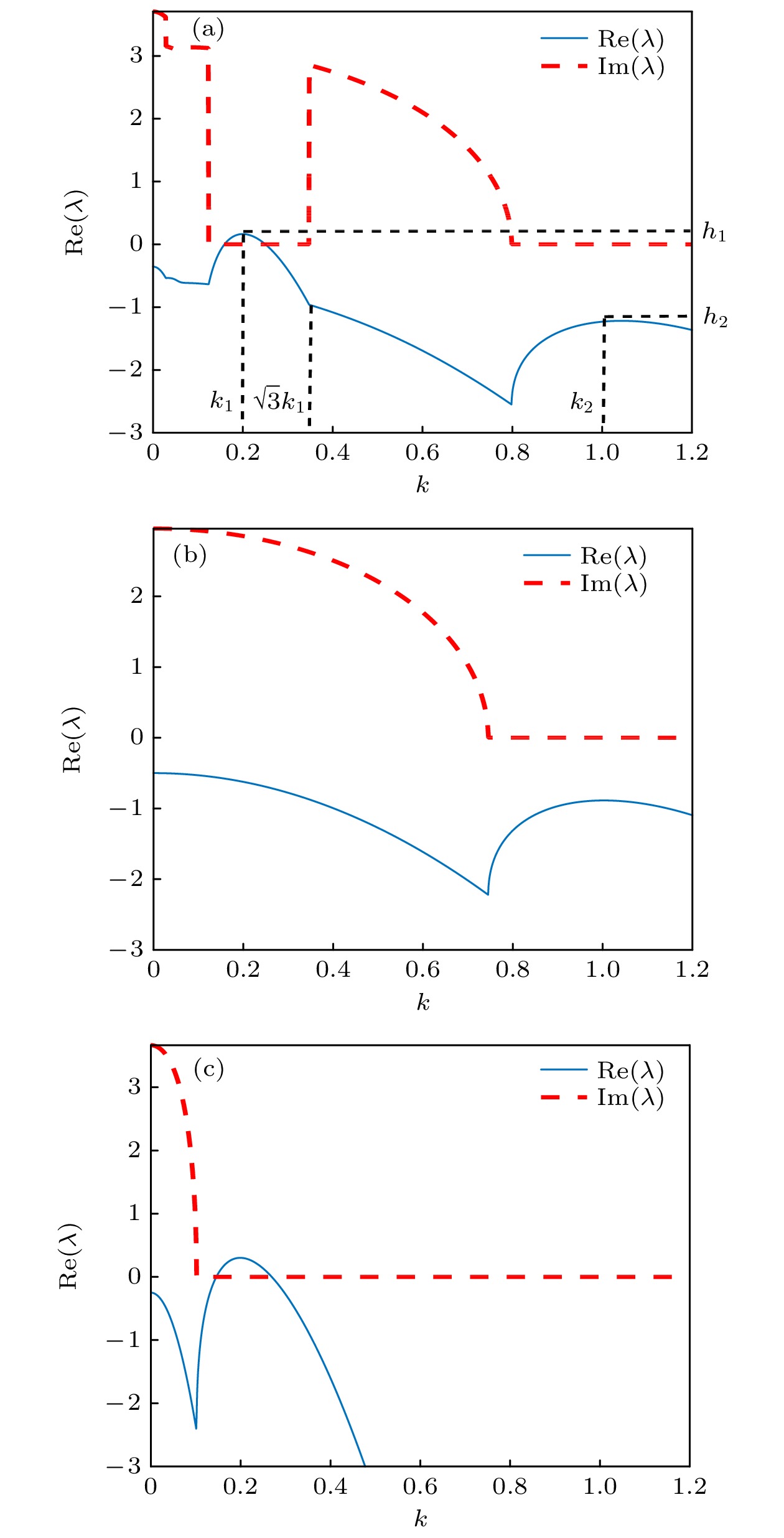
Pattern formation and self-organization are ubiquitous in nature and commonly observed in spatially extended non-equilibrium systems. As is well known, the origin of spatio-temporal patterns can be traced to the instability of the system, and is always accompanied by a symmetry breaking phenomenon. In reality, most of non-equilibrium systems are constructed by interactions among several different units, each of which has its unique symmetry breaking mechanism. The interaction among different units described by coupled pattern forming system gives rise to a variety of self-organized patterns including stationary and/or oscillatory patterns. In this paper, the dynamics of oscillatory Turing patterns in two-layered coupled non-symmetric reaction diffusion systems are numerically investigated by linearly coupling the Brusselator model and the Lengyel-Epstein model. The interaction among the Turing modes, higher-order harmonics and Hopf mode, and their effects on oscillatory Turing pattern are also analyzed. It is shown that the supercritical Turing mode
${k_1}$
in the Lengyel-Epstein model is excited and interacts with the higher-order harmonics
$\sqrt 3 {k_1}$
located in the Hopf region in the Brusselator model, and thus giving rise to the synchronous oscillatory hexagon pattern. The harmonic
$\sqrt 2 {k_1}$
that can also be excited initially is some parameter domain, but it is unstable and vanishes finally. As the parameter
bis increased, this oscillatory hexagon pattern first undergoes period-doubling bifurcation and transits into two-period oscillation, and then into multiple-period oscillation. When the Hopf mode participates in the interaction, the pattern will eventually transit into chaos. The synchronous oscillatory hexagon pattern can only be obtained when the subcritical Turing mode
${k_2}$
in the Brusselator model is weaker than the higher-order harmonics
$\sqrt 3 {k_1}$
located in the Hopf region and neither of the two Turing modes satisfies the spatial resonance condition. The system favorites the spatial resonance and selects the super-lattice patterns when these modes interact with each other. The interaction between Hopf mode and Turing mode can only give rise to non-synchronous oscillatory patterns. Moreover, the coupling strength also has an important effect on the oscillatory Turing pattern. These results not only provide a new pattern forming mechanism which can be extended to other nonlinear systems, but also gives an opportunity for more in-depth understanding the nature and their relevance to technological applications.