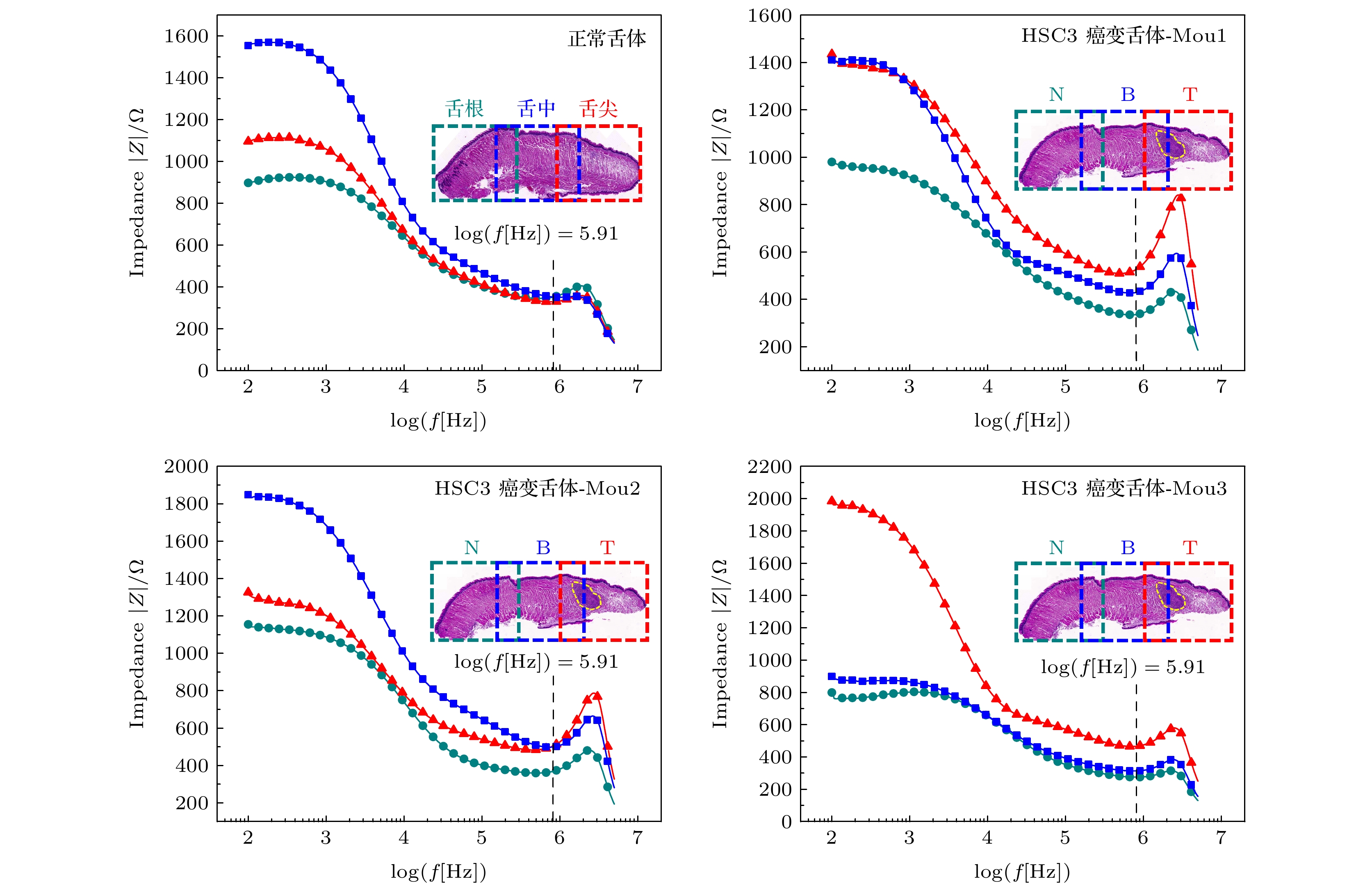
A fast and convenient method of recognizing the tongue tumor tissue based on bioelectrical impedance spectroscopy (BIS) is proposed. According to the difference among the electrical characteristics of tongue tissue under different pathological and physiological conditions, we can judge whether it is pathological. This method can help the surgeon in the clinical resection of tongue cancer not only to remove the tumor completely, but also to retain the patient’s tongue function as much as possible. In this paper, a model of human tongue squamous cell carcinoma (HSC3) xenografted
in situis established in mice. The electrical properties of the normal tissue, mixed tumor tissue and tumor tissue are studied by the BIS technology. The amplitude spectrum shows that none of the three tissues can be distinguished well in a low frequency range of 100–8.09 × 10
5Hz due to the influence of contact impedance, but they can be distinguished according to their electrical characteristics in a high frequency range of 8.09 × 10
5–5 × 10
6Hz. In the process of the experiment, first of all, the tip, middle and root of the normal tongue are detected, and the results show that the impedance values of these three parts are similar in the high frequency band, so the influence of different positions of tongue on the impedance value can be excluded. Then, the same three regions of the cancerous tongue are detected, and three electrical parameters, namely relaxation frequency
f
relax, real part spectrum
${{{Z}}'_{\rm{relax}}}$
and imaginary part spectrum
${{{Z}}''_{\rm{relax}}}$
of electrical impedance are extracted from the amplitude spectrum of high frequency band. The quantitative analyses of these three kinds of tissues show that the
${{{Z}}'_{\rm{relax}}}$
and
${{{Z}}''_{\rm{relax}}}$
of tumor tissue are the highest, and those of normal tissue are the lowest. Finally, the cancerous tissue coefficients
αand
β(the relative change percentage of the real part and imaginary part of the impedance value between the tested tissue and normal tissue) are determined according to these three electrical parameters for tumor tissue identification. The results show that when
α≤ 36.5% and
β≤ 31.2%, the tissue is normal; when
α≥ 36.5% and
β≥ 31.2%, the tissue may be mixed with tumor tissue; when
α≥ 82.7% and
β≥ 73.6%, the tissue is tumor tissue.