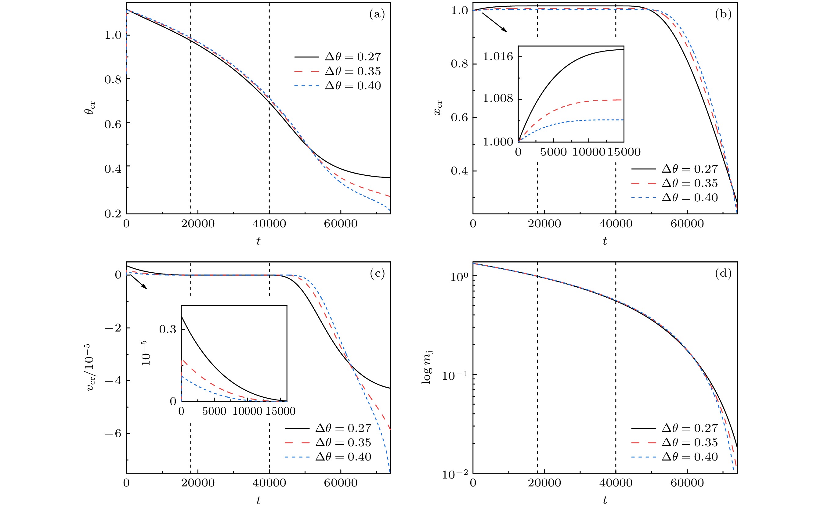
The evaporation process of drops on a solid surface is widely applied to daily life and industrial fields. Both contact angle hysteresis and the sensitivity of gas-liquid interfacial tension to temperature are important factors affecting the drop evaporation reflected in the contact line and contact angle. To investigate the internal mechanism, according to the lubrication theory and slip boundary conditions, we establish a mathematical model of the drop evaporation on a uniformly heated solid wall with considering the effect of contact angle hysteresis. This model is numerically solved by using a coordinate transformation method and Freefem++14.3, a highly efficient solver. The accuracy of the numerical calculation method is verified by comparing the numerical results with experimental results, and the grid independence is validated. The effect of contact angle hysteresis on the dynamics of evaporating drops is discussed, and the evaporation characteristics of drops with different tension sensitivities of the air-liquid interface to temperature are further investigated. The results show that the contact angle hysteresis has an apparent influence on the drop evaporation process which includes drop spreading stage, contact line pinning stage, and depinning stage. In the drop spreading stage, the increase in the hysteresis angle shortens the spreading time, and reduces the spreading velocity and radius, while in the contact line pinning stage, the pinning time is prolonged and the reduction of drop mass is significantly increased with hysteresis angle increasing. In the contact line depinning stage, the contact angle hysteresis reduces the contact angle, and a flatter shape emerges, thereby enhancing the ability to transfer heat and accelerating evaporation as well as shortening the depinning time. In addition, the large hysteresis angle leads to a large advancing contact angle and a small receding contact angle. The reduction in receding contact angle is more notable than the increment of advancing contact angle. The temperature sensitivity coefficient of the gas-liquid interfacial tension can be increased by reducing the receding contact angle, thereby improving the wettability of the drops on the wall enhancing the heat transfer and accelerating the evaporation. Regulating the contact angle hysteresis and the sensitivity of the interfacial tension to temperature can realize the manipulation of the drop movement, thus controlling the evaporation process.