专题: 热电材料及应用物理
2021, 70 (20): 200101.
doi:10.7498/aps.70.200101
摘要 +
自1821年塞贝克效应(Seebeck)被发现至今, 热电材料已经经历了200年的发展. 整体来看, 热电材料的性能呈现出“阶梯状”的增长趋势: 在大部分时间里, 热电材料的研究都显得较为沉寂; 在某些特殊时间段, 由于基础物理的发展、制备技术的提升, 以及人类社会可持续发展对新型能源材料和技术的迫切需求, 热电材料的研究迅速发展.
2021, 70 (20): 206501.
doi:10.7498/aps.70.20211050
摘要 +
热电材料无需提供其他能量就能直接实现热能和电能的相互转换, 是一种新型能源材料, 然而当前热电材料的发展现状严重制约了热电器件的工程化应用, 提高现有热电材料的热电性能或研发具有优异性能的新型热电材料是热电领域永恒的研究主题. 近年来,MAX及其衍生MXene相材料由于特有的结构性能而逐渐进入了科研工作者的视线,MAX相的晶体结构由Mn+1Xn结构单元与A元素单原子面交替堆垛排列而成,MAX中A层原子被刻蚀之后可以制备得到对应的衍生二维MXene相,MAX及其衍生MXene相陶瓷兼具金属和陶瓷的特性, 具有良好的导热导电性能, 有望成为一种非常有前景的热电材料. 本文简要综述了近年来MAX相及其衍生MXene相材料的制备技术和热电性能的发展现状, 并针对MAX及其衍生MXene相材料的特性提出了一些改善热电性能的可行性方案, 据此展望了MAX相以及MXene材料在未来的发展方向和前景.
2021, 70 (20): 207304.
doi:10.7498/aps.70.20211010
摘要 +
热电材料可以实现热能和电能间的直接相互转换, 在半导体制冷和热能回收方面有着重要应用. Zintl相热电材料由电负性差异较大的阴阳离子组成, 其输运特征符合“声子玻璃, 电子晶体”的概念, 因此受到了广泛的研究, 特别是具有二维共价键子结构Zintl相热电材料凭借优异的电性能更是被寄予厚望. 本文综述了具有二维共价键子结构的典型Zintl相热电材料, 梳理了研究最广且性能突出的CaAl2Si2结构1-2-2型、原胞内原子较多本征低热导率的9–4+x–9型、具有天然空位而本征热导率极低的2-1-2型、以及电性能相对较好的ZrBeSi结构1-1-1型Zintl相的研究进展; 其中还特别总结了性能优异的Mg3Sb2基n型Zintl材料的研究发展. 本文概括总结了每种体系近年来的研究进展及性能调控方法, 讨论了进一步优化其热电性能的可能策略, 并对其未来发展进行了展望.
2021, 70 (20): 207101.
doi:10.7498/aps.70.20211165
摘要 +
热电材料是一种可实现热能和电能之间直接转换的新型功能材料, 因用途广泛而受到大量的关注. 但是当今热电转换效率较低, 限制了热电器件的大范围应用, 而热电转换效率主要局限于材料的热电性能. 本文选取了一种黄铜矿结构的化合物CuGaTe2作为研究对象, 利用真空熔炼法合成了一系列磁性元素Ni掺杂的样品Cu1–xNixGaTe2(x= 0—0.75%), 并探究了其热、电输运性能的变化规律. 研究结果表明, Ni原子可以有效地替代该材料的Cu原子并引起载流子浓度的略微下降和迁移率的提升. 同时, 掺杂Ni后样品的Seebeck系数显著提高. 一方面, Seebeck系数的提升是由于样品载流子浓度的下降; 另一方面, 掺杂后费米能级附近态密度的有效提升是Seebeck系数明显增强的主要原因. 其次, Ni掺杂引起点缺陷散射的增强有效地降低了材料的热导率, 其晶格热导率最小值比基体下降了约30%. 最终, 在873 K下, 在Cu0.095Ni0.005GaTe2样品中获得了最大ZT值, 约为1.26, 比基体CuGaTe2的ZT值增大了约56%. 本文的工作表明, 在Cu位掺杂磁性元素Ni是提升CuGaTe2体系材料热电性能的有效手段之一.
封面文章
2021, 70 (20): 207303.
doi:10.7498/aps.70.20211090
摘要 +
碲化铋基材料一直被认为是室温下性能最优异的热电材料之一, 也是商用热电器件首选的块体材料. 然而面对柔性或高密度设备等应用需求时, 薄膜热电材料比块体材料更具优势. 因此, 提升薄膜材料热电性能及可控制备技术至关重要. 与碲化铋基块体材料和P型碲化铋基薄膜相比, N型碲化铋基薄膜的性能相对偏低. 本工作利用磁控溅射法制备了一系列N型碲化铋薄膜, 研究衬底温度和工作压强对薄膜生长模式的影响规律, 从而通过溅射参数精确调控薄膜的形貌、结构和生长取向, 在合适的衬底温度和工作压强的共同作用下, 制备出(00l)方向层状生长的高质量致密薄膜. 由于层状结构薄膜具有超高的面内载流子迁移率, 该薄膜实现了大于105S/m的超高电导率. 由于兼具高电导率与高Seebeck系数, 该层状薄膜试样在室温下的功率因子高达42.5 μW/(cm·K2), 克服了N型碲化铋基薄膜材料难以匹配P型碲化铋基薄膜材料的困难.
2021, 70 (20): 208401.
doi:10.7498/aps.70.20211444
摘要 +
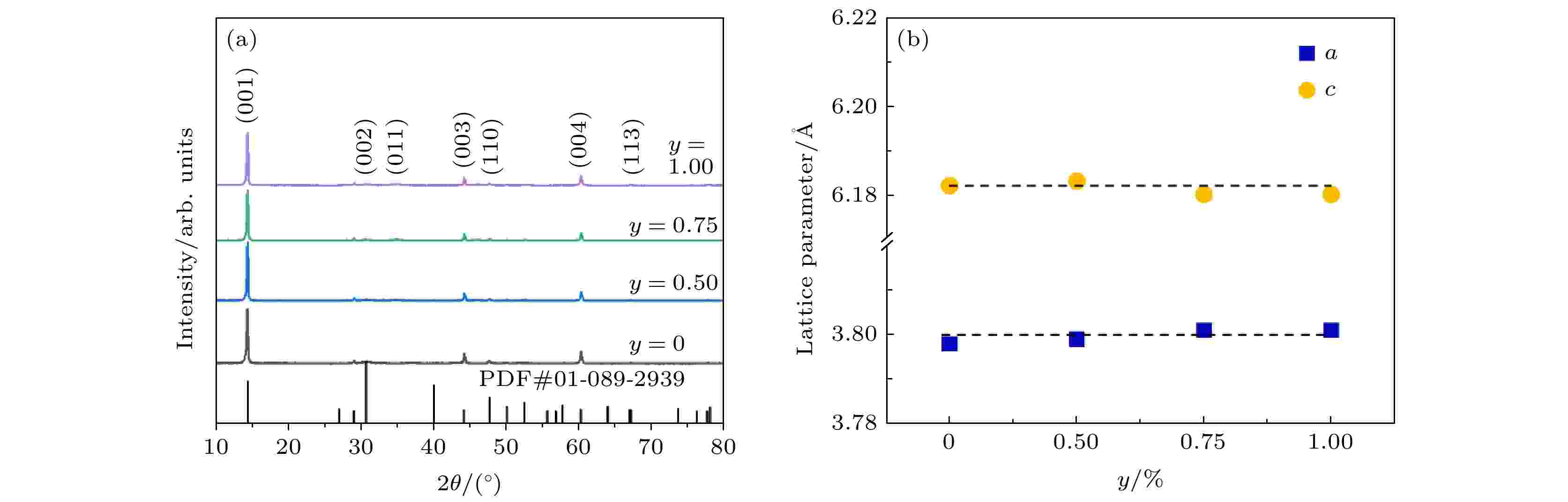
具有层状结构的SnSe展现出非常优异的热电性能. SnSe2与其具有相似结构, 但较低的电传输性能导致SnSe2热电性能表现不佳, 本征SnSe2在773 K下最大ZT值仅约 0.09. 本文在Br掺杂提升SnSe2载流子浓度的基础上, 通过熔融法结合放电等离子烧结(SPS)技术合成了一系列成分为SnSe1.98Br0.02–y%Cu (y= 0, 0.50, 0.75, 1.00)的块体材料, 研究了在具有层间范德瓦耳斯力结合的SnSe2材料中引入额外的Cu对其电传输性能的协同优化作用: 一方面, 引入的Cu不仅能提供额外的电子, 而且能稳定存在于范德瓦耳斯层间隙并形成插层结构, 促进层间和层内的电荷传输, 从而实现载流子浓度和迁移率的协同优化; 另一方面, Cu的动态掺杂特性, 使得高温下载流子浓度的增加弥补了因散射作用导致的迁移率的降低, 促使样品在高温下仍然保持高电传输特性. 研究结果表明, 在300 K下, SnSe2沿平行和垂直于SPS烧结方向(//P, ⊥P)的功率因子(PF)分别从本征的约0.65和0.98 µW·cm–1·K–2提高到SnSe1.98Br0.02–0.75%Cu的约10 和19 µW·cm–1·K–2. 最终, 在773 K下, 沿⊥P方向的最大ZT值达到约 0.8. 此研究表明SnSe2是一种很具发展潜力的热电材料.
综述
2021, 70 (20): 204205.
doi:10.7498/aps.70.20210211
摘要 +
电致红外发射率动态调控器件是一类在电场激励下红外发射率能发生可逆动态变化的器件, 该类器件在自适应红外伪装、航天器智能热控等领域具有重要应用价值, 已成为红外辐射调控领域的研究前沿和热点. 本文概述了基于金属氧化物、导电聚合物、石墨烯、金属等材料的电致红外发射率动态调控器件的工作原理、研究进展, 并分析了电致红外发射率动态调控器件的发展趋势.
2021, 70 (20): 207302.
doi:10.7498/aps.70.20210675
摘要 +
碳化硅(SiC)半导体具有宽禁带、高临界击穿电场、高热导率等优异性能, 在高温、高频、大功率、低功耗器件领域具有广阔的应用前景, 因此, 高效节能的SiC电力电子器件研究备受关注. 然而, 阻碍SiC器件发展应用的一个重要瓶颈是高性能的金属接触制备困难. 本文通过对比分析SiC器件欧姆接触和肖特基接触制备的研究现状, 揭示了金属/SiC接触界面特性复杂, 肖特基势垒不可控等关键问题; 对金属/SiC接触势垒及界面态性质的研究现状进行分析, 强调了对界面势垒进行有效调控的重要意义; 重点分析了近年来金属/SiC接触界面调控技术方面的重要进展, 同时, 对金属/SiC接触界面态本质及界面调控技术研究未来发展的方向进行了展望.
总论
2021, 70 (20): 200201.
doi:10.7498/aps.70.20210640
摘要 +
大气二氯二氟甲烷(CCl2F2, CFC-12)是人工合成的化学制剂, 对平流层臭氧可产生严重的破坏和损耗. 研究大气CFC-12的探测技术并获取其时空分布和变化, 对了解区域氟氯烃气体变化趋势以及对平流层臭氧的影响具有重要意义. 本文利用地基高分辨率傅里叶变换红外光谱 (Fourier transform infrared spectroscopy, FTIR) 技术研究大气CFC-12的垂直分布和柱浓度的反演方法, 基于最优估计算法反演2017—2020年合肥地区大气CFC-12的垂直廓线和柱总量. 合肥大气CFC-12反演获得的垂直廓线表明, 大气CFC-12在对流层以及低平流层处具有较高浓度, 在垂直高度40 km以上浓度极低. 合肥地区大气CFC-12的柱浓度含量呈现出夏季浓度较高, 冬季与初春浓度较低的季节变化; 观测期间大气CFC-12柱浓度呈现缓慢下降的趋势, 年均变化率为–0.68%. 将地基观测数据与ACE-FTS卫星观测数据进行比对, 在高度范围16—28 km内两个CFC-12偏柱总量的相关性系数为0.73, 可见地基和卫星数据具有较好的一致性. 长期观测结果表明了地基高分辨率FTIR技术在观测大气中CFC-12的浓度垂直分布与季节变化上具有高的准确性和可靠性.
2021, 70 (20): 200202.
doi:10.7498/aps.70.20210905
摘要 +
液滴在织构基底上的自驱动对于理解一些生物表面水的定向运输和自清洁具有重要意义. 本文提出了一种楔形铜基底-单层石墨烯覆层结构, 实现了水滴从楔形基底尖端向宽端的定向快速自驱动. 运用分子动力学方法研究了液滴在织构基底上的自驱动行为, 结果表明, 受基底表面润湿梯度和Young-Laplace压力梯度驱动的水滴最大速度可达73.8 m/s. 能量变化规律表明, 液滴势能和液滴与基底之间的相互作用能存在竞争关系, 使得液滴与基底之间的相互作用能有部分转化为液滴势能, 部分作用于液滴驱动. 从理论上给出了楔形基底上液滴的最大位移与楔形基底角度、基底润湿性和液滴表面张力之间的关系, 通过分析微纳尺度楔形基底宽度的非连续线性增加对液滴自驱动的影响, 解释了液滴最大位移的理论值与模拟值的差异. 此外, 发现了尺寸较小的液滴更易获得较大的自驱动速度, 分析了高速运动的小液滴在无润湿梯度基底上的长距离减速运动对液滴位移规律的影响, 明确了楔形基底两侧悬浮状态的石墨烯对增强液滴输运效率的作用机制. 研究结果将对实现液滴自驱动的单层石墨烯覆盖的功能织构表面设计具有理论指导意义.
2021, 70 (20): 200301.
doi:10.7498/aps.70.20210092
摘要 +
非对易的思想最初源于对极小尺度的时空坐标的研究, 后来引起了物理学界的广泛关注, 逐渐探讨了在很多领域中的非对易效应. 随着非对易量子力学的建立, 研究一些精确可解模型的非对易效应是非常有意义的. 各类谐振子模型就是其中之一. 但是在坐标与坐标, 动量与动量都是不对易的情况下, 很难得到耦合谐振子能谱的解析解. 本文旨在研究非对易相空间中二维耦合谐振子的量子特性. 首先用不变本征算符方法得到了同时包含多种耦合项的谐振子能谱的解析解. 然后分析非对易参数和耦合参数对非对易能谱的影响. 结果表明, 由于受到非对易参数和耦合参数的影响, 二维耦合谐振子的非对易能谱出现移动, 能级变为非简并的. 这与通常对易空间中二维谐振子能级简并(除基态外)的情况是完全不同的.
编辑推荐
2021, 70 (20): 200302.
doi:10.7498/aps.70.20210705
摘要 +
通过两模近似和变分法, 研究了光晶格中自旋轨道耦合玻色-爱因斯坦凝聚体的非线性能谱结构和流密度. 研究发现, 当系统参数满足一定条件时, 能谱结构在布里渊区的边界处会出现loop结构, 其中光晶格和拉曼耦合会抑制loop结构的出现, 而自旋轨道耦合和原子间相互作用会促进loop结构的产生, 并使能带结构变得更加复杂. 此外, 能带结构的变化与凝聚体的流密度密切相关, 自旋轨道耦合会使不同自旋态的流密度在动量空间的分布呈现强烈的不对称性并发生分离, 而光晶格和拉曼耦合会减弱这种不对称性, 使不同自旋态的流密度重合. loop结构破坏了系统的Bloch振荡, 使系统发生Landau-Zener隧穿, 而不同自旋态流密度在动量空间分布的分离意味着自旋交换动力学的发生.
核物理学
2021, 70 (20): 202901.
doi:10.7498/aps.70.20210891
摘要 +
为探索单晶金刚石材料在辐射探测器上的应用, 尤其是用于监测D-T中子源产生的14 MeV单能中子束流, 研制了高性能单晶金刚石辐射探测器, 并在中国工程物理研究院K-400型中子发生器上测试其对14 MeV单能中子的响应. 利用Geant4蒙特卡罗仿真程序, 结合ENDF-VIII.0, JEFF-3.3, BROND-3.1, JENDL-4.0u和CENDL-3.1五个评价核数据库对14 MeV单能中子在金刚石中的能量沉积和探测效率进行模拟计算和对比, 并给出了仿真能量沉积谱展宽和实测谱能量刻度的方法. 研究结果表明, 利用CENDL-3.1库计算本文的仿真模型, 可以更精准地模拟14 MeV中子入射金刚石探测器能量沉积情况, 结合本文给出的能量沉积谱刻度和展宽方法能够很好地匹配实测中子谱12C(n, α)9Be特征峰, 其对于弹性散射和12C(n, 3α)相较其他核数据库的描述也更为准确, 仿真计算探测效率与实际测量值仅相差0.61%; 在长达2 h、2 × 1010n/s的高通量测试环境下, 探测器对于12C(n, α)9Be反应特征峰的探测效率、能量分辨率和峰位道址基本保持稳定, 有望用于14 MeV快中子束流的监测.
原子和分子物理学
2021, 70 (20): 203301.
doi:10.7498/aps.70.20210670
摘要 +
硝基类炸药作为主要的含能材料在极端条件下引爆可释放巨大能量, 深入研究硝基类炸药光激发后的载流子动力学过程, 将有助于揭示含能材料复杂的超快爆轰物理机制. 本文利用含时密度泛函理论和分子动力学计算方法, 研究了典型的硝基类炸药, 包括硝基甲烷(NM)、环三亚甲基三硝胺(RDX)和三氨基三硝基苯(TATB)分子的光激发解离过程, 观察了含能分子瞬时的结构变化和分子能级随时间的演化过程. 结果显示, 含能分子在200 fs范围内发生解离, 激发载流子的能量通过电声耦合以热能的形式传输给原子, 从而导致C—H, N—H或N—N化学键的断裂, 从甲基、亚甲基或氨基中解离出的氢原子会与近邻的硝基形成新的基团. 在这一过程中, 激发电子和空穴附近的能级也随着时间演化发生明显变化, 表明电子耦合也在解离过程中发挥了作用. 我们的研究加深了含能材料激发态结构弛豫和激发能级演化的认识, 并对光诱导反应及含能材料激光点火初始步骤提供了新的理解.
电磁学、光学、声学、传热学、经典力学和流体动力学
2021, 70 (20): 204101.
doi:10.7498/aps.70.20210309
摘要 +
电磁波的辐射功率对其传输距离起着决定性作用. 传统上, 可以通过增大辐射口径或增加天线单元输入功率来提升电磁波的辐射功率. 但辐射口径由于受装配空间限制而无法持续增大, 天线单元输入功率的增大也因信号源功率提升困难而难以实现. 因此, 在有限口径下, 如何提升电磁波的辐射功率成了迫切需要解决的问题. 通过在有限口径下布置更多单元进行功率合成、改善单元的阻抗匹配和减小损耗以增加天线阵的辐射效率均可提升有限口径辐射功率. 基于此, 本文设计了一个可用于提升有限口径辐射功率的紧耦合相控阵天线, 一方面采用高介电常数的介质基板使阵列小型化, 同时使用紧凑型巴伦进行馈电, 从而天线单元具有很小的尺寸, 最终天线单元周期为0.144λhigh× 0.144λhigh(λhigh为自由空间中最高工作频率对应的波长); 另一方面通过改善巴伦和天线阵的阻抗匹配, 使用频率选择表面匹配层改善天线阵和自由空间的阻抗匹配, 以及使用低损耗的介质基板, 从而提升天线阵的效率. 仿真和测试结果表明, 在1.7—5.4 GHz内天线阵具有宽角扫描性能并且保持高辐射效率. 经过对比分析, 本文设计的天线阵能够提高有限口径的辐射功率.
2021, 70 (20): 204201.
doi:10.7498/aps.70.20210691
摘要 +
三维非相干扩展光源相比红外激光光源具有功率高、光谱范围宽、价格低等优势, 在高精度、多组分光声光谱仪中具有极高的应用价值. 然而, 其存在方向性差、能量密度低、形状不规则等现实问题, 需要在光学系统设计过程中进行光场整形. 光声光谱仪要求在小体积范围内收集并优化厘米级三维扩展光源向全空间的辐射, 经一系列波长及频率调制元件后, 最终实现毫米级半径、厘米级长度的圆柱体光场分布. 本文根据光学扩展量概念和边缘光线原理, 在光学系统设计与优化的过程中突破传统完全基于点光源的设计模式, 贯穿了扩展光源概念, 基于自行设计的测量方法和装置直接获取了三维扩展光源的发光特性, 并以微元的形式进行精准三维扩展光源建模. 借助非球面实现了光声光谱仪用三维扩展光源光场整形系统的设计并进行了相关实验验证. 以Hawkeye IR-Si272光源为例, 分别实现了光声光谱仪光声池入池光功率和侧壁噪声仿真值与实验值的较小偏差, 二者具有一致性. 相比原厂聚光系统, 自行设计的光声光谱仪用光源系统入池光功率从0.86 W提升至1.32 W, 侧壁噪声从50.3%下降至19.7%, 实现了百万分之一量级微量气体浓度检测.
编辑推荐
2021, 70 (20): 204202.
doi:10.7498/aps.70.20210234
摘要 +
量子噪声已成为当前精密测量应用中的一种重要限制因素, 与其相关的问题已成为研究热点. 光学谐振腔作为操控量子噪声的一种重要光学器件, 其传输特性决定了输出信号噪声的演化特性. 本文通过理论分析光学谐振腔输出的强度、相位与频率的对应关系, 对比了过耦合腔、阻抗匹配腔与欠耦合腔传输函数、能量传输、噪声传递的频谱特性, 证明其具有功率分束、频率滤波、噪声转换等特性, 为量子噪声的分析与操控等应用研究提供了基础, 将推动精密测量领域的发展.
编辑推荐
2021, 70 (20): 204203.
doi:10.7498/aps.70.20210281
摘要 +
光纤激光器凭借其优良特性已在众多领域中得到广泛应用, 光束质量是衡量其性能的重要指标之一.
$ M^2 $
因子是应用较为广泛的一种评价因子, 但已被证明并不适用于非高斯分布的光斑, 此时常用β因子来评价. 本文以光纤激光基模光束为研究对象, 理想光束选取包含LP01模99%能量的圆形实心均匀光束, 理论研究了β因子与阶跃折射率光纤中LP01模的各项参数之间的关系. 研究发现: 采用经典的β因子定义方法, 当归一化频率V大于1.8时, LP01模的β值小于1, 远场聚焦能力优于理想光束. 此外,β因子随归一化频率V、纤芯半径a或数值孔径NA的增大而减小, 并且与M2因子呈非线性关系.
编辑推荐
2021, 70 (20): 204204.
doi:10.7498/aps.70.20210682
摘要 +
高功率单频光纤激光在引力波探测、非线性频率变换等领域有重要的应用需求, 其输出功率的提升面临横向模式不稳定和非线性效应等因素带来的技术挑战, 而长锥形增益光纤具有综合抑制横向模式不稳定效应和非线性效应的潜力. 为进一步提升全光纤结构单频光纤激光器的输出功率, 国防科技大学自主研制了一段长度为2.2 m的长锥形掺镱双包层光纤, 其输入端纤芯和内包层直径分别为30.3 μm和245 μm, 输出端纤芯和内包层直径为49.3 μm和404 μm. 基于该光纤, 采用前向泵浦的方式搭建了一个全光纤结构的单频主振荡功率放大系统. 其中种子激光的中心波长为1064 nm, 输出功率为30 mW. 该系统实现了中心波长为1064 nm、功率超过400 W的单频激光输出, 斜率效率为81.7%, 功率400 W时光束质量因子(M2)为1.29. 系统输出功率的进一步提升受限于横向模式不稳定效应. 据可查询文献, 这是目前基于国产增益光纤实现的单频单模光纤激光器最高输出功率. 该结果表明, 长锥形光纤在实现单频光纤激光器高功率、高光束质量输出方面极具潜力, 通过光纤参数和实验结构的进一步优化有望实现更高功率水平的单频单模激光输出.
2021, 70 (20): 204206.
doi:10.7498/aps.70.20210433
摘要 +
高次谐波是强场物理的重要现象, 不仅是潜在的深紫外光源,而且已经成为分析原子分子动力学以及获取分子结构信息的重要工具. 本文采用Lewenstein理论, 考察了准直氧分子在激光场中的高次谐波谱对激光偏振方向与核轴所成的夹角的依赖关系. 通过计算电离电子在不同的原子中心复合的量子通道对高次谐波贡献之间的相位差, 分析了高次谐波随激光场偏振方向与核轴的夹角的变化, 并给出了谐波谱上最小值的形成机制. 另外, 通过分析高次谐波产生过程中不同量子通道的贡献, 发现当偏振方向与核轴成0°和90°时, 谐波谱强度都小, 但它们背后的物理图像是不同的: 0°时, 产生谐波的每个量子通道的幅度都很小, 造成谐波谱的强度较低; 而90°时, 每个通道贡献的幅度都很高, 但是由于通道间的干涉相消, 造成谐波谱的强度接近于零.
2021, 70 (20): 204601.
doi:10.7498/aps.70.20210726
摘要 +
采用Voronoi方法构建了50, 130和200 µm三种晶粒度的高纯铜靶板, 在晶界处随机预制损伤成核点, 建立了平板撞击高纯铜靶板的二维轴对称计算模型, 研究了晶粒度和加载应力对高纯铜层裂宏观力学响应和细观损伤演化的影响. 基于自由面速度剖面特征分析, 揭示了晶粒度和加载应力幅值对Pull-back速度回跳点位置、速度回跳斜率及回跳幅值的影响规律, 论证了层裂强度与损伤区拉伸应力峰值相对应 本质上表征微损伤早期长大临界应力; 基于损伤演化云图特征分析, 讨论了长大和聚集过程中微孔洞周围局域化塑性应变场的演变, 揭示了晶粒度和加载应力对微孔洞聚集和应力松弛行为的影响. 计算结果再现了层裂实验中材料内部的微孔洞长大、聚集的细观物理过程, 进一步揭示其与宏观力学响应之间的内禀关系, 这对认识层裂损伤演化机制和理论模型构建具有重要的意义.
2021, 70 (20): 204602.
doi:10.7498/aps.70.20210310
摘要 +
材料内部缺陷对复合材料的拉伸断裂性质有着极其重要的影响. 纤维束模型是研究材料拉伸断裂性质常用的理论模型, 已有含缺陷纤维束模型的工作表明, 在纤维束模型中引入单纤维缺陷后, 缺陷对模型拉伸断裂性质产生了显著影响. 为研究实际材料内部存在的不同尺寸及损伤程度的缺陷, 本文引入缺陷的空间尺寸、缺陷程度和缺陷内部纤维损伤程度分布等影响因素, 构建了含团簇状缺陷的扩展纤维束模型. 在最近邻应力再分配下, 通过数值模拟分析了缺陷个数α、缺陷尺寸上限β和缺陷内部纤维缺陷程度的线性、指数和常数函数分布形式对复合材料断裂过程的影响. 分析发现, 由于缺陷空间分布存在的重叠竞争机制, 在缺陷尺寸上限β较大时, 缺陷个数对系统负载能力的影响具有饱和的趋势. 而由于缺陷中心纤维的缺陷程度正比于缺陷尺寸, 因此随着缺陷尺寸上限β的增加, 其对模型负载能力的影响越来越显著. 缺陷内部纤维缺陷程度的空间分布函数对以上规律没有产生实质影响, 仅改变了各断裂性质的具体取值. 本文的模拟分析结果对提高复合材料的力学性能具有一定的理论意义.
2021, 70 (20): 204701.
doi:10.7498/aps.70.20210294
摘要 +
基于润滑理论和滑移边界条件, 构建了考虑接触角迟滞时液滴在均匀加热固体壁面上蒸发的数学模型, 探讨了接触角迟滞对蒸发液滴动力学的影响, 并分析了不同气-液界面张力温度敏感性的液滴蒸发特征. 研究结果表明: 接触角迟滞对液滴蒸发过程有较大影响, 随接触角迟滞增大, 液滴的接触线钉扎时间延长, 铺展阶段和去钉扎阶段时长缩短, 液滴蒸发显著加快; 迟滞角的增大使前进接触角增加, 后退接触角减小, 且后退接触角减小的幅度大于前进接触角增加的幅度. 提高气-液界面张力对温度的敏感性系数可通过减小后退接触角, 改善液滴在壁面上的润湿性, 从而加强液滴传热, 致使加快液滴蒸干. 因此, 改变接触角迟滞和气-液界面张力对温度的敏感性均可实现对液滴运动的调控, 从而控制其蒸发进程.
气体、等离子体和放电物理
2021, 70 (20): 205201.
doi:10.7498/aps.70.20210737
摘要 +
飞秒激光加工作为一种高效可控的调制手段, 其辐照所引起的材料电离可以对激光脉冲在材料内部的能量传递和沉积产生重要影响, 进而调控材料的表面形貌和化学组分. 因此, 本文重点研究了飞秒激光辐照二硫化钨的烧蚀特性并利用等离子体模型对辐照过程中材料的超快响应以及能量的传递、吸收进行计算分析. 研究发现, 烧蚀坑的深度和直径均展现出先快速增长再趋于稳定的变化规律, 并且理论计算与实验结果符合. 揭示了飞秒激光烧蚀二硫化钨的机制, 辐照初期材料内部会产生大量自由电子并形成致密等离子体区域, 导致材料表面反射和内部吸收的显著增加. 两个增强效应共同影响激光能量的注入和沉积, 使得大量入射能量沉积在近表面浅层区域, 并且激光通量增加时烧蚀坑的扩张出现饱和趋势. 此外, 利用时域整形双脉冲序列烧蚀二硫化钨, 通过调节脉冲延迟在保持烧蚀深度不变的情况下, 在双脉冲延时为0.7 ps时得到最优化的最小烧蚀坑直径. 研究结果有助于激光调制二氧化钨在光催化方面的应用研究.
2021, 70 (20): 205202.
doi:10.7498/aps.70.20210709
摘要 +
磁化同轴枪放电装置可以产生高传输速度、高电子密度的球马克, 在可控核聚变、高能量密度物理以及天体物理等领域均得到了广泛关注. 基于球马克形成阈值理论, 通过对放电图像的拍摄以及光、电、磁信号的诊断分析, 本文主要研究了磁化同轴枪操作参数对球马克产生及等离子体特性的影响. 实验结果发现: 除放电电流和偏置磁通的比值以外, 受送气时长控制的气体分布长度同样是球马克产生的关键. 电极间通道内较长的气体分布可以使放电产生集中承载电流的等离子体环, 该环能够在足够强的磁压力推动下完成磁场拉伸与重联以形成球马克. 增加放电电流可以同时带来球马克传输速度、电子温度以及密度的提升, 而增加送气量仅对电子密度提升具有正面影响, 球马克性能优化的关键在于提升电容器组向等离子体环的能量馈入.
2021, 70 (20): 205203.
doi:10.7498/aps.70.20210653
摘要 +
辐射冲击波波后物质具有辐射属性, 它通过扰动界面引起的Richtmyer-Meshkov(RM)不稳定性的增长有别于通常的冲击波. 在高功率激光装置上开展冲击波波后辐射效应对界面不稳定性增长影响的实验研究, 认识波后辐射对界面增长的影响过程及规律, 有助于提高高能量密度条件下RM不稳定性演化规律的认识水平及预测能力. 基于神光III原型高功率激光装置, 设计并开展了两种激光驱动条件下的界面流体力学不稳定性实验, 研究波后辐射效应对界面RM不稳定性增长的影响. 实验中在较高功率密度驱动条件下CHBr扰动样品未见明显的扰动增长, 结合模拟分析发现较高功率密度条件下辐射前驱波波阵面和冲击波波阵面明显分离, 辐射前驱波在冲击波到达扰动界面前烧蚀扰动界面, 改变了界面的初始状态, 界面不稳定性增长过程中密度梯度的增大和界面Atwood数的减小抑制了界面RM不稳定性的增长.
2021, 70 (20): 205204.
doi:10.7498/aps.70.20210792
摘要 +
铝合金中Fe元素的含量直接影响合金的塑性、耐热性、强度及抗应力腐蚀性能, 其成分的定量分析是合金成分在线检测的重要环节. 为了提高铝合金中Fe元素定量分析精度, 把空间约束纳秒激光诱导击穿光谱技术与梯度下降法相结合. 通过采集激光诱导铝合金等离子体发射光谱, 发现在平板空间约束下的等离子体辐射强度有明显增强, 在间距为10 mm时的等离子体发射光谱增强约2.3倍. 分别利用内标法和梯度下降法建立定标模型, 对比两种模型的拟合系数、均方根误差和平均相对误差. 在平板约束条件下, 相比于内标法, 梯度下降法得到的Fe元素定量分析参数R2从95.22%提升到了99.22%, 训练集均方根误差从质量分数0.1409%下降到了0.0731%, 测试集均方根误差从质量分数0.1401%下降到了0.0756%, 平均相对误差从6.8893%下降到3.5521%. 与内标定标模型相比, 梯度下降定标模型的精确度和稳定性都有所提高, 空间约束LIBS结合梯度下降法可以有效地降低合金基体效应和自吸收效应对定量分析的影响.
2021, 70 (20): 205205.
doi:10.7498/aps.70.20210484
摘要 +
电磁等离子体加速器可产生高密度高速度等离子体射流, 因此广泛应用于核物理与天体物理等领域. 本文建立了平行轨道加速器电磁驱动等离子体实验平台, 通过磁探头、光谱仪研究了不同放电电流和注气量条件下平行轨道加速器的放电模式. 平行轨道加速器驱动电源为正弦振荡衰减波电源, 总电容为120 μF, 回路总电感约为400 nH. 快速气阀电流波形为单脉冲双指数波形. 当放电电流为40 kA时, 平行轨道加速器的工作模式为雪犁模式. 随着放电电流的增大, 平行轨道加速器出现爆燃模式, 且电流通道后沿在电流上升阶段固定不动, 而在电流下降阶段开始向轨道末端移动. 注气量越大, 平行轨道加速器电流通道前沿速度越慢, 电流分布越集中, 放电模式越趋向于雪犁模式. 工作参数主要影响轨道两端的电压, 从而影响平行轨道加速器的放电模式.
2021, 70 (20): 205206.
doi:10.7498/aps.70.20210583
摘要 +
研制了一套峰值电压200 kV的多功能脉冲辐射系统, 该系统具有产生脉冲电子束和脉冲X射线的功能, 在两种运行状态中可以灵活切换. 系统包括脉冲功率驱动源、真空二极管和实验腔体, 其中, 脉冲功率驱动源由Marx发生器、高储能的水介质传输线和脉冲压缩开关组成. 系统负载等效阻抗2 Ω、负载电流半高宽30 ns, 产生的脉冲电子束束流83 kA, 产生的脉冲X射线平均能量67 keV, 均匀性较好, 辐射场中的电子份额不超过0.02%. 为监测系统运行状态和输出指标, 建立了包括运行参数和效应参数的全套测量系统, 克服了强电磁场环境的干扰问题. 研制了法拉第筒用于脉冲电子束的测量, 既可以获得电子束的束流强度, 也可以获得电子束总能量. 脉冲X射线的测量系统包括能谱仪、剂量片、法拉第筒等, 实现了能谱、剂量、均匀性、X射线中电子份额等多参数的同时测量. 多功能脉冲辐射系统为脉冲功率技术、生物辐射效应、系统电磁脉冲效应等提供了一个多功能的实验平台.
2021, 70 (20): 205207.
doi:10.7498/aps.70.20210362
摘要 +
微间隙放电是放电间距和电极尺寸均在亚毫米及以下量级的气体放电形式. 为研究微米间隙放电起始路径及放电过程中粒子密度的变化机理与规律, 本文搭建了大气压下微间隙空气放电实验及放电图像采集装置, 采用COMSOL仿真软件对微间隙空气放电过程中的电子密度、空间电荷分布进行模拟, 并使用MATLAB软件计算微间隙放电的分形维数与概率发展指数. 实验研究在大气压室温下、间隙距离为50—150 μm时, 针尖施加正极性直流电压的空气放电现象. 实验发现, 放电通道存在曲折段, 放电过程中分叉数比长间隙情况少, 原因为放电机制以汤森理论为主, 流注理论为辅, 存在弱流注形式, 放电通道呈曲折和分支状, 但分叉数较少, 曲折度较低. 使用COMSOL模拟得出, 在阴极形成鞘层, 阴极电场畸变为原来的3—8倍, 放电过程中电子密度最高达到2.17 × 1021m–3. 使用分形理论仿真来模拟微间隙放电, 发现分形维数与电压和间隙距离成正比; 当概率发展指数η= 1.18—1.3时, 模拟放电过程的分形维数与实验较接近. 本工作为进一步探索亚微米-纳米间隙的放电情况打下了基础.
凝聚物质:结构、力学和热学性质
2021, 70 (20): 206801.
doi:10.7498/aps.70.20210836
摘要 +
近年来, 有机无机杂化钙钛矿太阳能电池光电转换效率不断提升, 成为了太阳能电池领域的研究热点. 但是, 有机阳离子甲胺离子(CH3NH
${}_3^+ $
, MA+)和甲脒离子(CH(NH2)
${}_2^+ $
, FA+)在水、氧等环境因素作用下极其不稳定, 从而大大阻碍了有机无机杂化钙钛矿太阳能电池的商业应用. 因此, 如何提升其稳定性成为了目前亟待解决的难题. 本文借助离子掺杂工艺, Cl–掺杂、FA+掺杂以及 Cl–, FA+共掺, 对传统 MAPbI3钙钛矿吸收层材料进行改进, 以提升其稳定性. 结果发现, Cl–掺杂有利于提升器件载流子迁移能力, FA+掺杂可以拓宽吸光范围, Cl–, FA+共掺可以促进α相钙钛矿的结晶, 从而得到高质量的钙钛矿薄膜. 基于 Cl–, FA+共掺的 FAyMA1–yPbI3–xClx钙钛矿薄膜, 在空气中制备出了最高光电转换效率为17.29%的器件, 该器件在空气中储存1000h后, 仍可保持80%的原始效率.
2021, 70 (20): 206802.
doi:10.7498/aps.70.20210892
摘要 +
采用分子动力学方法建立单晶硅针尖与石墨烯相对滑移的分子模型, 研究界面电流对石墨烯摩擦性能的影响. 研究结果表明: 当施加偏压时, 针尖所受的摩擦力比无偏压时增大一个数量级; 载流摩擦力随偏压的增大而增大, 但不同偏压方向的增幅速率却不一致; 不同的法向载荷和基底支撑刚度下石墨烯均呈现出较为稳定的载流摩擦行为, 其相似的摩擦力-电压关系验证了载流影响的稳定性. 电流引入后摩擦力的上升可归因于载流区域的扩大, 导致库伦相互作用在摩擦界面处的吸附能中占据主要地位. 基于Prandtl-Tomlinson模型系统讨论了石墨烯的载流摩擦机理, 认为该机理与石墨烯的褶皱效应相违背, 而遵循能量势垒理论体系.
凝聚物质:电子结构、电学、磁学和光学性质
编辑推荐
2021, 70 (20): 207301.
doi:10.7498/aps.70.20210949
摘要 +
二维磁性半导体由于兼具磁性、半导体性和特殊的二维结构而受到人们的广泛关注, 为纳米级自旋电子和光电子器件的研发应用和相关的基础理论研究提供了新的思路和平台. 基于第一性原理计算, 在对一系列二维双金属碘化物CrTMI6的交换能进行初步筛选的基础上, 选出了具有铁磁性的CrMoI6单层结构. 进一步计算表明, CrMoI6单层的电子能带结构展示出理想的半导体特性, 计算得到的带隙约为1.7 eV, 而且还具有很大的磁各向异性能(741.3 μeV/TM). 通过基于海森伯模型的蒙特卡罗模拟预测这一材料的居里温度达到92 K, 约为CrI3单层的2倍. 此外, 分子动力学和声子谱的计算还证明了其良好的热稳定性和动力学稳定性. 这类可以通过合金化方法合成的磁性过渡金属卤化物将进一步拓展二维磁性材料家族及其在自旋电子学器件领域的应用.
2021, 70 (20): 207305.
doi:10.7498/aps.70.20210145
摘要 +
作为潜在的新型光电材料, 三元金属卤化物一直以来广受关注. 本文通过基于遗传算法的晶体结构预测软件USPEX, 对三元CuBiI化合物(CuBi2I7, Cu2BiI5, Cu2BiI7, Cu3BiI6, Cu3Bi2I9, CuBi3I10, Cu4BiI7)在常压、绝对零度下的稳定晶体结构进行了全局搜索. 采用基于密度泛函理论的第一性原理计算方法, 计算了所发现结构的形成能、弹性系数和声子色散谱, 确定了12个具有良好的热力学、弹性力学及晶格动力学稳定性的CuBiI化合物结构. 这12个潜在稳定结构的理论带隙为1.13—3.09 eV, 其中CuBi2I7, Cu2BiI5, Cu2BiI7和Cu4BiI7在可见光区域表现出极强的光吸收能力(光吸收系数高于4 × 105cm–1), 光电转换效率最高可达31.63%. 计算结果表明三元金属卤化物CuBiI具有成为高性能太阳能电池吸收层材料的潜力.
编辑推荐
2021, 70 (20): 207501.
doi:10.7498/aps.70.20211085
摘要 +
获得具有不同磁相变温度的La(Fe,Si)13基合金对拓宽磁制冷工作温区具有重要意义. 借助第一性原理模拟软件AMS-BAND模块并结合平均场理论对LaFe11.5Si1.5基磁制冷合金的磁相变温度进行了高通量计算. 研究了Mn, Co, Ni, Al和Fe缺位掺杂对LaFe11.5Si1.5基合金体系相变温度的影响, 得到了成分与磁相变温度的关系图. 利用高通量第一性原理计算可以有效地降低研究成本, 提高科研效率, 并能够对后续实验选取具有合适磁相变温度的磁制冷材料提供技术支持.
2021, 70 (20): 207502.
doi:10.7498/aps.70.20210611
摘要 +
自旋神经元是一种新兴的人工神经形态器件, 其具有超低功耗、强非线性、高集成度和存算一体等优点, 是构建新一代神经网络的强有力候选者. 本文提出了一种磁场辅助磁弹应变驱动的混合时钟自旋神经元, 利用OOMMF微磁学仿真软件建立了该神经元器件的微磁学模型, 基于LLG方程建立了其数值仿真模型, 利用所设计的自旋神经元构建了3层神经网络, 研究了不同纳磁体材料(Terfenol-D, FeGa, Ni)神经元器件的激活特性及其对MNIST手写数字数据集识别性能的影响. OOMMF仿真和数值模拟发现, 设计的混合时钟结构能够成功驱动纳磁体发生随机磁化翻转, 有效模拟生物神经元的激活行为和特性. MNIST手写数字识别结果表明: 当输入不同范围的磁场使得3种材料的自旋神经元都达到饱和识别精度时, 该自旋神经元器件具有与Sigmoid神经元器件相同的识别能力, 有望替代传统的CMOS神经元, 并且选择合适的磁致伸缩层材料能够进一步降低智能计算的整体功耗; 当输入相同范围的磁场时, Ni构成的自旋神经元的识别速度较慢. 研究结果可为新型人工神经网络和智能电路的设计及应用奠定一定的理论基础.
2021, 70 (20): 207801.
doi:10.7498/aps.70.20210602
摘要 +
双金属纳米颗粒能够有效整合两种金属的物理和化学性质并同时表达每种金属的独特性质, 是提高光散射、光热转换、等离激元共振衰变和光子激发的重要材料. 基于单独纳米颗粒的研究可以避免实验研究过程中纳米颗粒之间的相互影响, 更能够有效分析入射光与纳米颗粒之间的相互作用. 本文采用时域有限差分法计算了等离激元双金属核壳纳米颗粒的光谱学性能和能量传递衰减过程中的磁场、电场及吸收功率分布, 以探讨其光谱吸收特性. 结果表明, 随着核芯粒径的增大, 共振波长红移, 当核芯粒径大于100 nm时, Ag@Pt双金属纳米颗粒吸收率高于纯金属纳米颗粒, 这是由于壳层与核芯金属材料之间强烈的屏蔽效应使入射光仅与外层原子相互作用发生共振. 同时, 相对于Pt壳层而言, Ag核芯等离激元衰减更快, 因此更多的能量转移到了Pt壳中, 使Pt壳表面的磁场、电场较为集中且吸收功率较大. 此外, Ag核芯中的能量更趋向于向邻近Pt壳转移, 表现为靠近Ag核芯的区域能量吸收更为集中. 本文为设计满足特定光谱响应需求的等离激元核壳结构双金属纳米颗粒提供了理论指导.
2021, 70 (20): 207802.
doi:10.7498/aps.70.20210908
摘要 +
钙钛矿量子点优异的光学特性使其成为太阳能电池、发光二极管、激光器、探测器等常规光电器件以及单光子源、纠缠光子源等非经典量子光源的理想材料. 对于单个钙钛矿量子点荧光闪烁特性的研究可以为微纳光电器件的制备提供技术支撑. 针对如何有效分析钙钛矿单量子点的荧光闪烁机制这一关键问题, 本文基于荧光轨迹进行亮、暗态的幂律分析发现: 弱光激发下钙钛矿单量子点荧光的亮、暗态概率密度服从幂律统计, 量子点的荧光闪烁是表面俘获态的活化和非活化造成的; 强光激发下, 单量子点荧光的亮态概率密度服从指数截断的幂律统计, 量子点的荧光闪烁是量子点充、放电和表面俘获共同作用的结果.
2021, 70 (20): 207803.
doi:10.7498/aps.70.20210500
摘要 +
金纳米颗粒对提升钙钛矿发光二极管的外量子效率有重要作用. 为了避免金纳米颗粒与发光层直接接触, 先前工作合成的Au NPs@SiO2影响器件电荷传输且不易合成; 而将金纳米颗粒共混在聚 (3,4-乙烯二氧噻吩):聚 (苯乙烯磺酸酯) 中时, 金纳米密度又不易控制, 不适合做理想的空穴传输层. 于是, 本文采用静电吸附的方法将粒径约20 nm的金纳米颗粒均匀地修饰在氧化铟锡阳极上, 并采用聚 (9-乙烯基咔唑) 作为空穴传输层, 使红光(NMA)2Csn–1PbnI3n+1钙钛矿发光二极管的最大发光亮度从未修饰金纳米颗粒前的约5.2上升到约83.2 cd/m2, 最大外量子效率从约0.255%上升到约6.98%. 机理研究表明, 金纳米颗粒修饰的氧化铟锡电极与铝电极之间可以形成光学微腔. 利用微腔中的透射光与反射光相互作用, 可以增强器件整体的耦合出光效率. 金纳米颗粒修饰的(NMA)2Csn–1PbnI3n+1钙钛矿器件荧光光谱和荧光强度随角度关系, 证明了该微腔效应是导致(NMA)2Csn–1PbnI3n+1钙钛矿荧光增强的主要机制. 其次, 对金纳米颗粒密度对器件发光特性进行探究, 发现约15 min吸附时间的器件性能最优. 最后, 本文论证了金纳米颗粒对钙钛矿薄膜形貌、结晶、电学性能的影响和金纳米颗粒等离子体共振效应不是主要机制. 本工作将金纳米颗粒成功应用于红光钙钛矿发光二极管, 为将来进一步探索低成本、高效率的钙钛矿发光二极管提供了一种可行的研究思路.
2021, 70 (20): 207804.
doi:10.7498/aps.70.20210782
摘要 +
GaAs基半导体掺杂技术通过在禁带中引入杂质能级, 对其电学及光学特性产生决定性作用, 当GaAs材料降维到一维纳米尺度时, 由于比表面积增加, 容易出现纤锌矿-闪锌矿共存混相结构, 此时GaAs纳米线掺杂不仅能调节其电光特性, 对其结构相变也具有显著调控作用. 本文研究了Be, Si掺杂对砷化镓(GaAs)纳米线晶体结构与光学特性的影响. 采用分子束外延在Si(111)衬底上自催化方法制备了本征、Si掺杂和Be掺杂GaAs纳米线. Raman光谱测试发现本征GaAs纳米线纤锌矿结构特有的E2模式峰, Si掺杂GaAs纳米线中E2峰减弱甚至消失, Be掺杂GaAs纳米线中E2模式峰消失. 通过高分辨透射电子显微镜和选区电子衍射直观地观察到GaAs纳米线的结构变化. 光致发光光谱显示本征GaAs纳米线存在纤锌矿-闪锌矿混相II-型结构发光, 通过Si掺杂和Be掺杂, 该发光峰消失, 转变为杂质缺陷相关的发光.
物理学交叉学科及有关科学技术领域
2021, 70 (20): 208201.
doi:10.7498/aps.70.20210398
摘要 +
采用基于密度泛函理论的第一性原理方法, 计算了
$ R\bar{3}m $
相的富锂锰基三元正极材料Li1.208Ni0.333Co0.042Mn0.417O2的晶体结构、电子结构以及缺陷性质. 结果表明, Li1.208Ni0.333Co0.042Mn0.417O2是一种具有直接带隙的磁性半导体材料, 其价带顶是O的px, py, pz轨道与Ni的dxy, dyz, dxz原子轨道之间的杂化, 导带底除了有价带顶的特征外, 还有部分的Ni-
$ {3\mathrm{d}}_{{x}^{2}-{y}^{2}} $
和Mn-
$ {3\mathrm{d}}_{{x}^{2}-{y}^{2}} $
, Mn-
$ {3\mathrm{d}}_{yz} $
轨道参与杂化. 差分电荷密度图显示, 金属原子与O原子之间的成键方式是共价键和离子键的混合. 本文还计算了脱去单个过渡金属原子的空位形成能. 脱去Mn原子时的缺陷体系的体积变化最大, 而脱去Co原子的缺陷体系的体积则几乎不变. 得到的金属空位形成能的大小依次为Ef(Mn-空位) >Ef(Co-空位) >Ef(Ni-空位). 差分电荷密度图还显示, 空位的产生仅强烈影响了空位附近的部分O原子, 体现了金属空位影响的局域性特征.
编辑推荐
2021, 70 (20): 208501.
doi:10.7498/aps.70.20210781
摘要 +
相较于面入射型和边入射型光电探测器, 倏逝波耦合型光电探测器(evanescent coupling photodetector, ECPD)能够同时具备高带宽和高量子效率, 因此在高速光通信领域有着广袤的应用前景. ECPD由稀释波导、单模脊波导和PIN光电二极管组成, 通过倏逝波定向耦合提高光纤入射光到探测器吸收芯层的耦合效率. 本文详细介绍了一种铟磷基ECPD阵列的结构设计、实验制备和测试结果. 测试结果表明, 制备的ECPD暗电流较低, 在–3和0 V外加偏压下探测器暗电流低至215和1.23 pA. 在有源区面积为5 μm × 20 μm的情况下, 器件仍能有较高响应度, 为0.5 A/W (无增透膜). 对探测器进行高频性能测试, 探测器阵列的所有探测器带宽均超过25 GHz, 总带宽400 GHz, 可以集成任意光学器件.
2021, 70 (20): 208701.
doi:10.7498/aps.70.20210323
摘要 +
基于Hill动力学与Michaelis-Menten方程, 建立理论模型研究CDK1(细胞周期蛋白依赖性蛋白激酶)/APC(后期促进复合物) 系统振荡过程中, 时间延迟对系统振荡动力学的影响. 理论模型考虑CDK1-Plk1 (Polo样蛋白质激酶)-APC通路中的时间延迟效应, 研究发现, 在不同时间延迟条件下, CDK1, Plk1和APC随时间演化呈现了周期性振荡特性, 表明了细胞周期进程. 随着时间延迟的增加, CDK1, Plk1和APC随时间演化的振荡周期变长、振幅增大, 表明了时间延迟会改变体系的动力学特性. 通过考察在高斯白噪声环境中的时间延迟效应, 研究发现, 噪声扰动明显地改变了CDK1随时间演化的动力学特性. 在较小噪声环境中, CDK1/APC系统通过自调节时间延迟, 改变振幅或振荡周期, 重新自调控, 使系统恢复稳定的周期性振荡. 在较大噪声环境中, CDK1呈现了阻尼振荡模式. 由此表明了较强的噪声, 会使得CDK1/APC系统周期性振荡动力学出现较大改变, 由于时间延迟, CDK1/APC振荡系统表现为从原有的周期性振荡转变为阻尼振荡, 系统原有的振荡模式很难再恢复. 理论结果进一步揭示了诸如非洲爪蟾胚胎等细胞周期过程中的时间延迟效应, 可为设计调控细胞周期、阻断肿瘤转变的通路治疗方案提供理论依据.
2021, 70 (20): 208801.
doi:10.7498/aps.70.20210788
摘要 +
目前基于喷墨打印制备大面积CH3NH3PbI3钙钛矿型太阳能电池的报道较多, 主要集中在钙钛矿活性层薄膜的喷墨打印和电极打印两个方面, 电池结构中空穴传输层和电子传输层以及其他修饰层仍采用旋涂或涂布等工艺完成. 我们成功实现了基于全喷墨打印的大面积CH3NH3PbI3钙钛矿太阳能电池, 包括喷墨打印PEN/Ag NWs底电极, Ag NWs顶电极, PEDOT:PSS 空穴传输层等. 研究发现全喷墨打印可以极大地节约材料成本和简化生产工艺流程, 并且可以获得密度高、均匀性好的PC61BM层、PEDOT:PSS层、PEI层和CH3NH3PbI3钙钛矿薄膜, 在此基础上制备了面积分别为60, 80和100 cm2的CH3NH3PbI3钙钛矿型太阳电池. 结果表明, 当钙钛矿油墨浓度为1 mol/L时, 打印速度设置为30 mm/s, 衬底温度为50 ℃时, 打印生成的钙钛矿薄膜表面光滑, 晶粒均匀生长有序, 晶粒尺寸接近500—600 nm. 晶粒具有规则的扁平形状, 薄膜的表面粗糙度仅为10 nm, 可以获得高质量的钙钛矿薄膜. 采用绿色反溶剂萃取和热退火处理的有效面积为60 cm2的钙钛矿型太阳能电池的功率转换效率高达14.25% (Voc= 1.03 V,Jsc= 19.21 mA/cm2, FF = 72%), 这是迄今为止报道的用全喷墨打印法制备钙钛矿型太阳能电池的最高效率之一. 此外, 当器件在不封装时放置空气中12个月, 光电转换效率降低到初始值的80%. 然而采用含氟热塑性聚氨酯FTPU封装, 光电转换效率仅降低5%, 表现出良好的器件稳定性.




