-
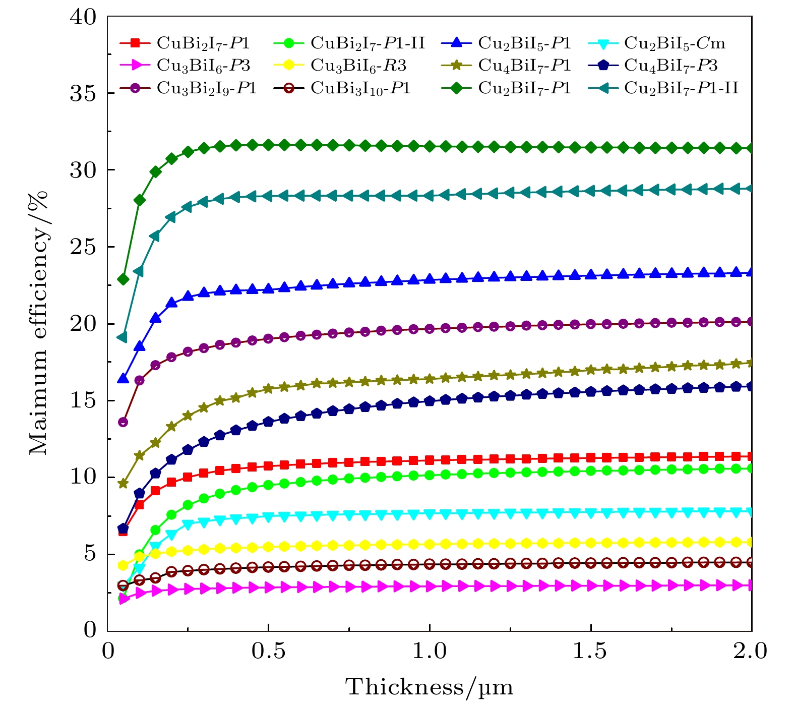
作为潜在的新型光电材料, 三元金属卤化物一直以来广受关注. 本文通过基于遗传算法的晶体结构预测软件USPEX, 对三元CuBiI化合物(CuBi 2I 7, Cu 2BiI 5, Cu 2BiI 7, Cu 3BiI 6, Cu 3Bi 2I 9, CuBi 3I 10, Cu 4BiI 7)在常压、绝对零度下的稳定晶体结构进行了全局搜索. 采用基于密度泛函理论的第一性原理计算方法, 计算了所发现结构的形成能、弹性系数和声子色散谱, 确定了12个具有良好的热力学、弹性力学及晶格动力学稳定性的CuBiI化合物结构. 这12个潜在稳定结构的理论带隙为1.13—3.09 eV, 其中CuBi 2I 7, Cu 2BiI 5, Cu 2BiI 7和Cu 4BiI 7在可见光区域表现出极强的光吸收能力(光吸收系数高于4 × 10 5cm –1), 光电转换效率最高可达31.63%. 计算结果表明三元金属卤化物CuBiI具有成为高性能太阳能电池吸收层材料的潜力.Ternary metal halides have attracted much attention as a new potential photoelectric material due to their ultra-high photoelectric conversion efficiencies. In this paper, USPEX, a crystal structure prediction software based on genetic algorithm, is used to investigate the potential crystal structures of ternary CuBiI compounds (CuBi 2I 7, Cu 2BiI 5, Cu 2BiI 7,Cu 3BiI 6, Cu 3Bi 2I 9, CuBi 3I 10, and Cu 4BiI 7) at atmospheric pressure and absolute zero temperature. Based on the density functional theory, the formation energies, elastic coefficients, and phonon dispersion curves of the predicted structures are calculated. The twelve stable CuBiI compounds with good thermodynamic, dynamical and mechanical stabilities are identified. The twelve crystal structures of CuBiI compound feature mainly the co-existence of Cu—I and Bi—I bonds and coordination polyhedrons of I atoms. The band gaps of twelve structures, calculated by HSE06 method, are 1.13–3.09 eV, indicating that the stoichiometric ratio affects the band gap obviously. Among them, the band gaps of Cu 2BiI 5- P1, Cu 2BiI 7- P1 and Cu 2BiI 7- P1-II are relatively small, close to the optimal band gap value for light absorption (1.40 eV), demonstrating that these compounds are suitable for serving as light absorbing materials in solar cells. The distribution of density of state (DOS) indicates that the top of the valence band of CuBiI compound is attributed to the hybridized Cu-3d and I-5p orbitals; the bottom of the conduction band of Cu 3BiI 6- R3 comes mainly from the Bi-6p and I-5p orbitals, and Cu-3d contributes little; the conduction band bottom of Cu 2BiI 7is mainly from the I-5p orbital, and the Cu-3d has little contribution. The bottoms of the conduction band of other structures originate mainly from the hybridized Bi-6p and I-5p orbitals. Electronic localization function and Bader charge analysis show that the Cu—I and Bi—I bonds have more ionic features and less covalent natures. The DOS distribution also confirms the covalent interaction of Cu/Bi-I. In addition, the CuBiI ternary compounds have extremely strong light absorption capacities (light absorption coefficient higher than 4 × 10 5cm –1) in the high-energy region of visible light and high power conversion efficiency (31.63%), indicating that the CuBiI ternary compounds have the potential to be an excellent photoelectric absorption material. Our investigation suggests the further study and potential applications of CuBiI ternary compound as absorber materials in solar cell.
-
Keywords:
- ternary metal halides/
- first principles/
- crystal structure prediction/
- photoelectric conversion efficiency
[1] [2] [3] [4] [5] [6] [7] [8] [9] [10] [11] [12] [13] [14] [15] [16] [17] [18] [19] [20] [21] [22] [23] [24] [25] [26] [27] [28] [29] [30] [31] [32] [33] [34] [35] [36] [37] [38] [39] [40] -
Structure
nameSpace
groupNumber of/
(atoms·unit cell–1)Volume/
(Å3·unit cell–1)${{E} }_{\rm{form} }$/
(eV·atoms–1)Structure
nameSpace
groupNumber of/
(atoms·unit cell–1)Volume/
(Å3·unit cell–1)${{E} }_{\rm{form} }$/
(eV·atoms–1)CuBi2I7-P1 P1 10 474.24 –0.362 CuBi2I7-P1-II P1 10 465.35 –0.385 Cu2BiI5-P1 P1 8 295.03 –0.287 Cu2BiI5-Cm Cm 16 742.54 –0.290 Cu3BiI6-P3 P3 10 404.63 –0.265 Cu3BiI6-R3 R3 30 1318.62 –0.244 Cu4BiI7-P1 P1 12 428.29 –0.237 Cu4BiI7-P3 P3 12 451.33 –0.231 Cu3Bi2I9-P1 P1 14 645.41 –0.294 CuBi3I10-P1 P1 14 691.08 –0.402 Cu2BiI7-P1 P1 10 420.79 –0.225 Cu2BiI7-P1-II P1 10 420.68 –0.226 Cij/GPa CuBi2I7-P1 CuBi2I7-P1-II Cu2BiI5-P1 Cu2BiI5-Cm Cu3BiI6-P3 Cu3BiI6-R3 Cu4BiI7-P1 Cu4BiI7-P3 Cu3Bi2I9-P1 CuBi3I10-P1 Cu2BiI7-P1 Cu2BiI7-P1-II C11 8.34 9.03 39.90 4.76 11.99 17.59 23.63 32.25 17.16 2.82 9.71 3.12 C22 12.61 14.16 29.93 35.09 — — 18.34 — 20.42 9.34 14.12 10.34 C33 8.35 9.00 35.71 5.64 5.92 5.05 23.61 8.90 11.86 8.62 14.43 26.51 C44 3.52 3.62 10.18 1.73 1.01 3.53 6.87 1.41 3.91 3.27 6.46 7.16 C55 3.74 2.99 9.96 — — — 7.83 — 3.56 1.91 3.73 4.52 C66 2.41 4.43 6.77 1.24 4.42 6.13 8.72 11.26 6.01 1.93 3.13 3.18 C12 4.73 4.45 9.13 1.63 3.01 5.22 4.56 9.71 6.13 1.96 4.71 3.19 C13 2.61 2.57 14.13 2.77 1.33 2.99 7.76 3.30 3.14 2.11 5.61 6.45 C14 –2.07 –0.04 4.02 — 0.04 1.7 –1.84 0.28 0.51 –0.63 –0.17 –0.32 C15 0.18 0.21 0.18 –0.67 –0.15 –0.38 2.85 0.06 –0.79 –0.21 –2.11 0.54 C16 0.79 2.27 0.12 — — — –0.27 — –0.51 0.86 –1.73 –0.32 C23 2.69 2.76 14.94 2.42 — — 5.49 — 6.79 2.98 7.51 7.18 C24 –2.53 0.12 5.64 — — — –0.99 — 2.280 –0.05 –2.43 2.11 C25 0.28 0.16 0.17 –0.12 — — 2.68 — 0.49 –0.09 –3.12 1.54 C26 0.49 1.72 –0.02 — — — 0.04 — 0.41 1.47 1.35 1.01 C34 –1.69 –0.27 5.74 — — — –0.56 — 2.53 –0.89 –1.51 0.36 C35 –1.76 0.39 0.12 –0.90 — — 3.43 — –0.21 –2.38 –3.43 1.76 C36 1.47 1.17 –0.04 — — — 1.72 — 0.80 0.81 0.13 –0.48 C45 –0.41 0.83 0.13 — — — –0.47 — 0.21 0.85 1.26 0.19 C46 –0.10 0.42 0.01 0.12 — — 1.75 — 0.34 –0.62 –2.13 –0.69 C56 –0.58 –0.29 1.485 — — — –1.07 — 0.94 –0.53 0.82 0.72 Structure name a/Å b/Å c/Å α/(°) β/(°) γ/(°) Cu—I/Å Bi—I/Å CuBi2I7-P1 7.93 7.94 7.92 97.67 82.58 76.98 2.53—2.55 3.02—3.32 CuBi2I7-P1-II 8.05 7.85 7.75 97.64 100.86 100.78 2.54—2.55 3.03—3.22 Cu2BiI5-P1 4.42 7.62 9.57 95.94 103.35 106.82 2.59—2.67 3.09—3.18 Cu2BiI5-Cm 16.64 4.33 12.22 90.00 122.51 90.00 2.57—2.72 2.84—3.50 Cu3BiI6-P3 7.89 7.89 7.54 90.00 90.00 120.00 2.54—2.61 3.02—3.29 Cu3BiI6-R3 11.40 11.40 11.72 90.00 90.00 120.00 2.52—2.56 3.05—3.35 Cu4BiI7-P1 7.61 7.79 7.64 101.68 100.50 98.22 2.56—2.74 3.06—3.22 Cu4BiI7-P3 8.32 8.32 7.52 90.00 90.00 120.00 2.64—2.68 3.09—3.22 Cu3Bi2I9-P1 7.67 8.59 9.85 84.58 88.98 86.74 2.55—2.70 2.99—3.28 CuBi3I10-P1 9.46 10.12 7.85 103.09 106.70 77.25 2.53—2.54 2.99—3.32 Cu2BiI7-P1 7.33 7.90 7.92 104.09 108.49 81.74 2.59—2.64 3.05—3.34 Cu2BiI7-P1-II 9.00 7.78 7.20 109.91 89.24 64.61 2.58—2.70 2.98—3.34 Structure name Eg/eV VBM CBM Bader charge SLME/% HSE06 PBE Cu/(e·atom–1) Bi/(e·atom–1) I/(e·atom–1) CuBi2I7-P1 2.39 1.48 0 0 0 0 0 0 0.33 1.08 –0.36 10.75 CuBi2I7-P1-II 2.13 1.21 0 0 0 0 0.5 0 0.33 1.09 –0.36 9.50 Cu2BiI5-P1 1.56 0.84 0 0 0.5 0 0.5 0 0.34 1.04 –0.34 22.20 Cu2BiI5-Cm 1.87 0.89 0 0 0 0 0 0 0.29 1.07 –0.33 7.50 Cu3BiI6-P3 3.09 1.97 0.05 0 0 0 0 0.5 0.29 1.08 –0.33 2.86 Cu3BiI6-R3 2.81 1.85 0 0 0 0.5 0 0.5 0.31 1.01 –0.32 5.49 Cu4BiI7-P1 2.19 1.22 0 0 0 0 0.5 0 0.30 1.03 –0.32 15.77 Cu4BiI7-P3 2.21 1.21 0 0 0.06 0 0 0.5 0.32 1.06 –0.33 13.61 Cu3Bi2I9-P1 2.03 1.17 0 0 0.5 0 0 0.5 0.34 1.02 –0.34 19.02 CuBi3I10-P1 2.36 1.41 0 0.5 0 0 0.5 0 0.33 1.09 –0.36 4.17 Cu2BiI7-P1 1.13 0.50 0 0 0 0 0.5 0 0.37 1.09 –0.26 31.63 Cu2BiI7-P1-II 1.40 0.60 0 0 0 0 0.5 0.5 0.35 1.06 –0.25 28.30 -
[1] [2] [3] [4] [5] [6] [7] [8] [9] [10] [11] [12] [13] [14] [15] [16] [17] [18] [19] [20] [21] [22] [23] [24] [25] [26] [27] [28] [29] [30] [31] [32] [33] [34] [35] [36] [37] [38] [39] [40]
计量
- 文章访问数:6339
- PDF下载量:167
- 被引次数:0












下载:










