搜索

x

留言板

姓名
邮箱
手机号码
标题
留言内容
验证码

downloadPDF
引用本文:
Citation:

    刘帅, 史宇昊, 林天煜, 张永鹏, 路志建, 杨兰均

    Influence of operating parameters on discharge mode of parallel-rail accelerator

    Liu Shuai, Shi Yu-Hao, Lin Tian-Yu, Zhang Yong-Peng, Lu Zhi-Jian, Yang Lan-Jun
    PDF
    HTML
    导出引用
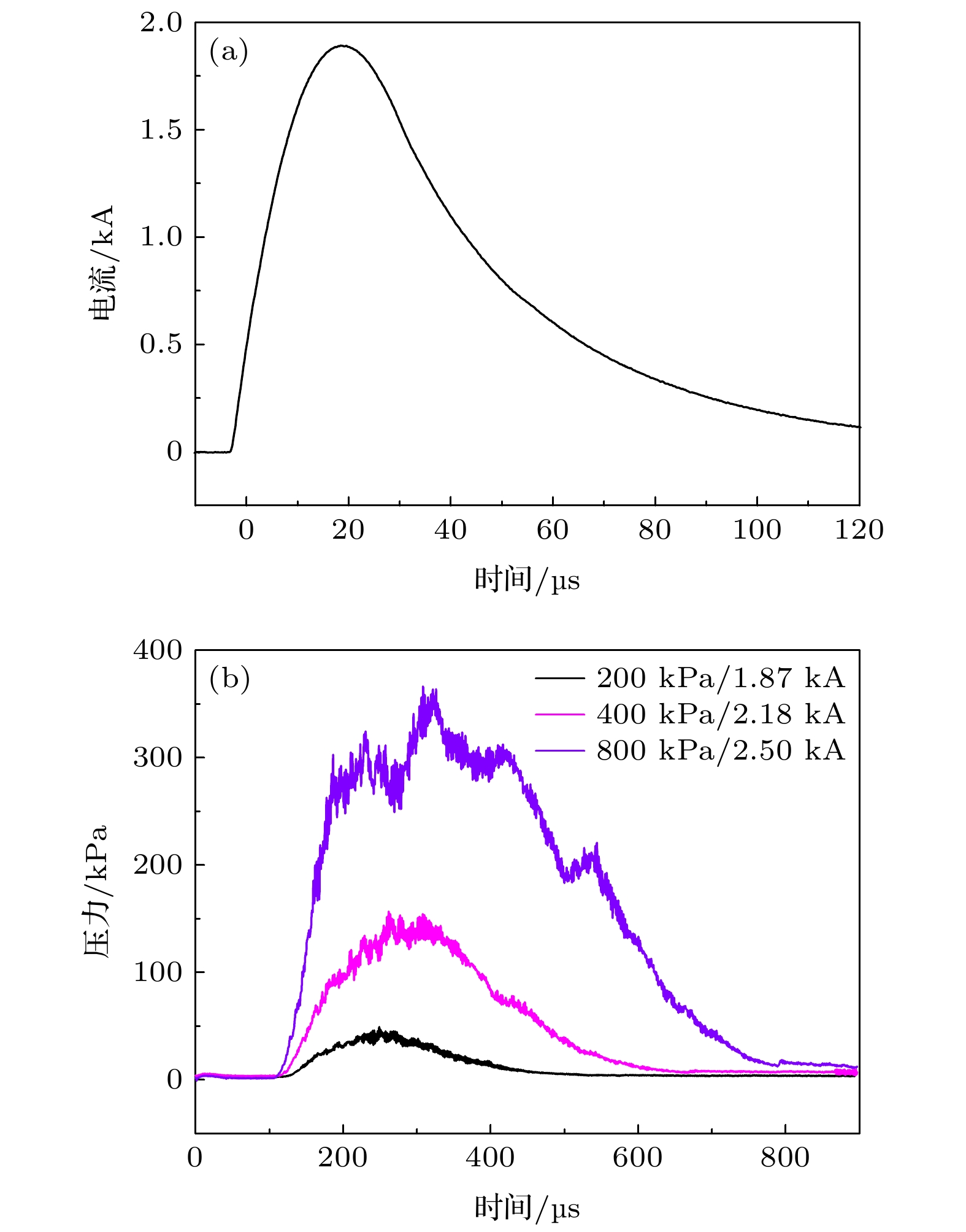
    • 电磁等离子体加速器可产生高密度高速度等离子体射流, 因此广泛应用于核物理与天体物理等领域. 本文建立了平行轨道加速器电磁驱动等离子体实验平台, 通过磁探头、光谱仪研究了不同放电电流和注气量条件下平行轨道加速器的放电模式. 平行轨道加速器驱动电源为正弦振荡衰减波电源, 总电容为120 μF, 回路总电感约为400 nH. 快速气阀电流波形为单脉冲双指数波形. 当放电电流为40 kA时, 平行轨道加速器的工作模式为雪犁模式. 随着放电电流的增大, 平行轨道加速器出现爆燃模式, 且电流通道后沿在电流上升阶段固定不动, 而在电流下降阶段开始向轨道末端移动. 注气量越大, 平行轨道加速器电流通道前沿速度越慢, 电流分布越集中, 放电模式越趋向于雪犁模式. 工作参数主要影响轨道两端的电压, 从而影响平行轨道加速器的放电模式.
      Electromagnetic plasma accelerators which can generate hypervelocity and high density plasma jets have been widely used in the fields of nuclear physics and astrophysics. In this paper, an experimental platform of parallel-rail accelerator electromagnetically driven plasma is established, and the discharge modes under different discharge currents and gas injection conditions are studied through using magnetic probes, a spectrometer and an ICCD. A fast gas valve is used to inject argon into the rail electrode area. The time delay between the fast valve discharge and the parallel-rail accelerator discharge is fixed to be 450 μs. The waveform of power supply of the parallel-rail accelerator is a sinusoidal wave. The total capacitance is 120 μF, the total inductance is about 400 nH, and the maximum current is 170 kA. The fast valve current waveform is a double exponential waveform with a maximum current of 2.5 kA. When the discharge current is 40 kA, a current sheet with a certain thickness is generated, and the current sheet moves through different detection positions along the rail electrode at a certain velocity. Therefore, the working mode of the parallel-rail accelerator is the snowplow mode. As the discharge current increases, the trailing edge of the current channel is fixed during the current rising phase, and starts to move to the end of the rail during the current falling phase. A diffuse distributed current channel is formed, and the parallel-rail accelerator operates in a deflagration mode. As the gas injection mass increases, the current channel front velocity decreases to form a more concentrated distributed current channel, and the discharge mode turns into the snowplow mode. The stationary current channel in the deflagration mode is maintained mainly by ablating the electrode. The operating parameters mainly affect the rail voltage, which in turn affects the discharge mode of the parallel-rail accelerator. The rail voltage increases when the discharge current or the current rate of change increases. If the rail gap behind the current channel cannot withstand the high rail voltage under large discharge current or large current rate of change, the breakdown occurs, which results in the deflagration mode discharge.
          通信作者:杨兰均,yanglj@xjtu.edu.cn
        • 基金项目:陕西省自然科学基础研究计划(批准号: 2021JQ-044)和国防科技重点实验室基金(批准号: 6142605200104)资助的课题
          Corresponding author:Yang Lan-Jun,yanglj@xjtu.edu.cn
        • Funds:Project supported by the Natural Science Basic Research Program of Shaanxi Province, China (Grant No. 2021JQ-044) and the National Defense Science and Technology Foundation of State Key Laboratory, China (Grant No. 6142605200104).
        [1]

        [2]

        [3]

        [4]

        [5]

        [6]

        [7]

        [8]

        [9]

        [10]

        [11]

        [12]

        [13]

        [14]

        [15]

        [16]

        [17]

        [18]

        [19]

        [20]

        [21]

        [22]

        [23]

        [24]

        [25]

        [26]

        [27]

        [28]

        [29]

      • [1]

        [2]

        [3]

        [4]

        [5]

        [6]

        [7]

        [8]

        [9]

        [10]

        [11]

        [12]

        [13]

        [14]

        [15]

        [16]

        [17]

        [18]

        [19]

        [20]

        [21]

        [22]

        [23]

        [24]

        [25]

        [26]

        [27]

        [28]

        [29]

      计量
      • 文章访问数:3477
      • PDF下载量:38
      • 被引次数:0
      出版历程
      • 收稿日期:2021-03-12
      • 修回日期:2021-06-05
      • 上网日期:2021-10-05
      • 刊出日期:2021-10-20

        返回文章
        返回