Hydrogen production through electrolyzing water can transfer the energy from solar energy, wind energy and other sustainable energy to hydrogen, a clean energy carrier with high energy density. The NiP
2has attracted much attention as a cheap electrocatalyst with high catalytic performance for hydrogen evolution reaction (HER). In this paper, the adsorption energy, Gibbs free energy and exchange current densities at different sites on NiP
2(100) surface are calculated. On this basis, the effect of strain and doping on the HER catalytic performance of NiP
2are studied. By calculation, we find that when H is adsorbed on the top site of P atom on NiP
2(100) surface, the exchange current density is the closest to the top of volcanic curve, so the top site of P atom on NiP
2(100) surface is the catalytic active site. The effect of doping and strain on the catalytic performance of NiP
2are analyzed. 1) According to the range of strain produced by the common experimental technology, the effects of 1% and 3% tensile and compressive strain are calculated. It is found that 1% compressive strain can improve the catalytic performance of NiP
2, while when 3% compressive strain or a 1% or 3% tensile strain is applied, the catalytic performance of NiP
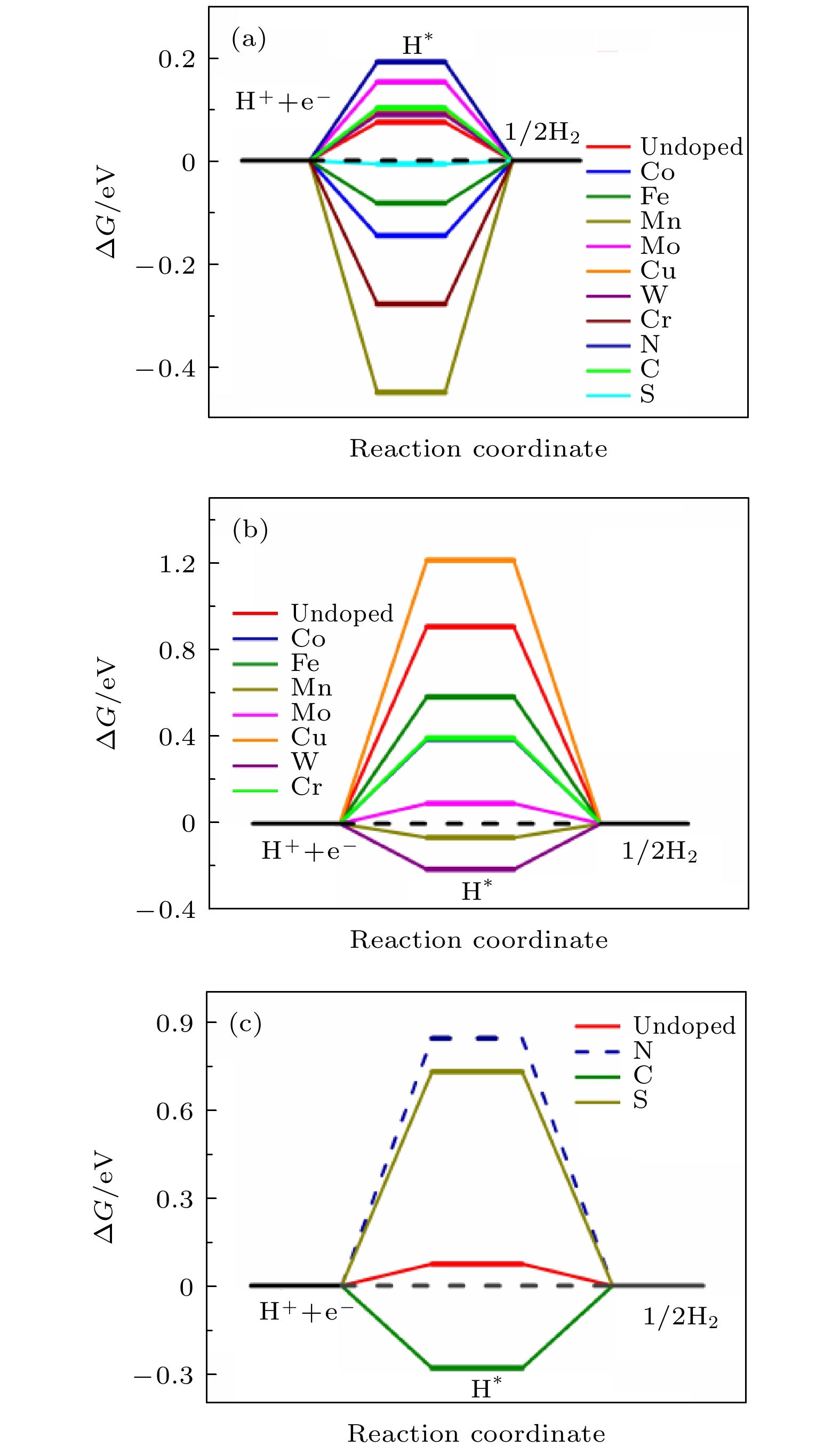
2is not enhanced. 2) The effects of doping transition metal elements (Co, Fe, Mn, Mo, Cu, W, Cr) and non-metallic elements (N, C, S) on the catalytic performance of NiP
2are calculated. It is found that doping non-metallic element S can significantly improve the HER catalytic performance of the top site of P atom, while the doping of transition metal elements Mn, Mo, W, Co, Cr, Fe, Cu and non-metallic elements N, C have no effect on this site. The doping of transition metal element (catalytic activity: Mn > Mo > W > Co > Cr > Fe > Ni) Mn can make the catalytic performance of inactive site improved to that of the active site, thus indirectly improving the catalytic performance of NiP
2. Our work reveals the micro mechanism of the effect of doping and strain on the performance of HER electrocatalyst, which provides a new perspective for designing the high performance HER electrocatalyst.