-
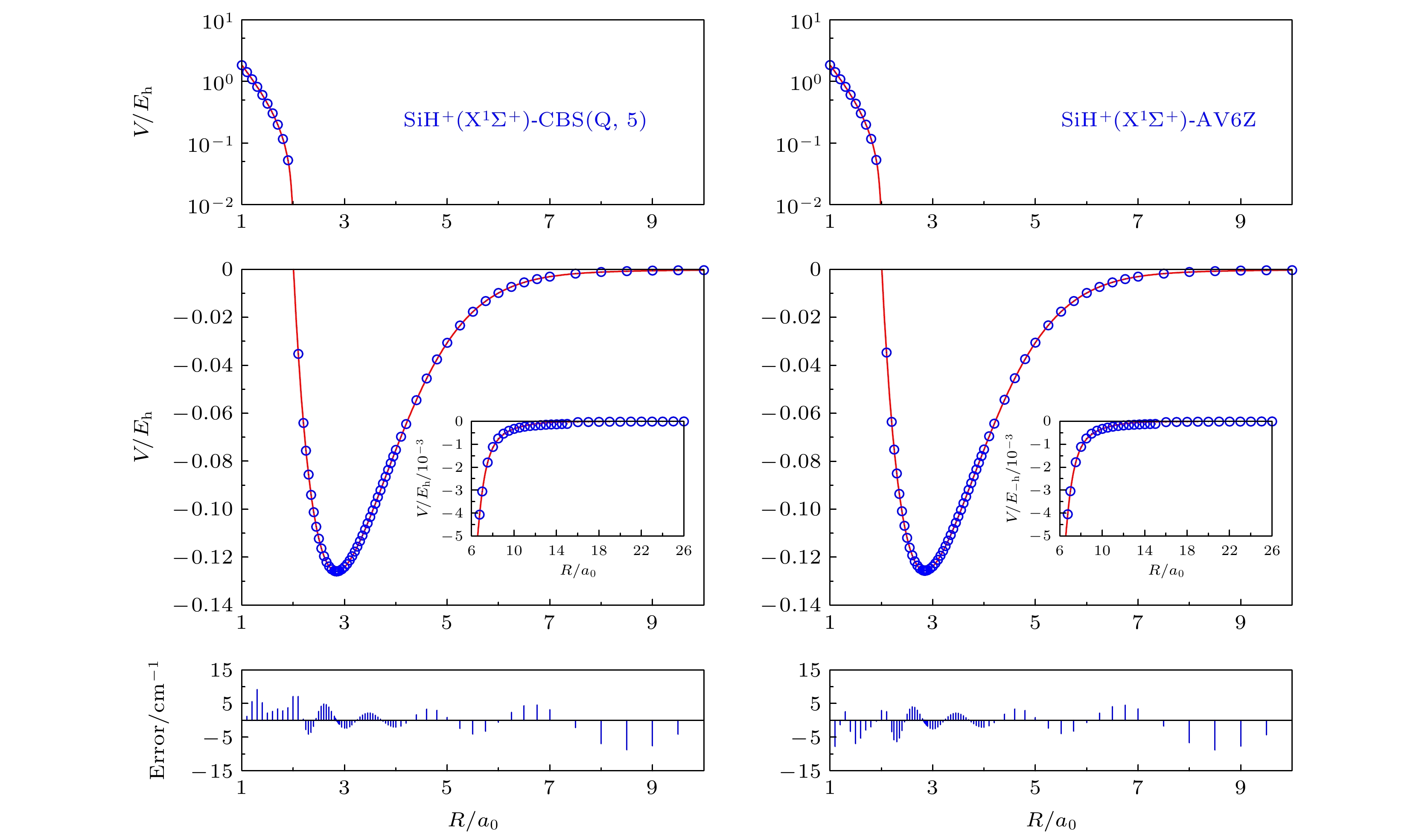
基于Molpro 2012程序包, 应用包含Davidson修正的多参考组态相互作用方法, 使用AV XZ和AV XdZ ( X= T, Q, 5, 6)基组进行单点能从头算, 然后采用Aguado-Paniagua函数进行拟合, 得到了SiH +(X 1Σ +)离子在不同基组、不同方法和是否考虑自旋-轨道耦合(SOC)情况下的解析势能函数(APEFs). 以APEFs为基础, 计算了SiH +(X 1Σ +)离子的解离能 D e, 平衡键长 R e, 振动频率 ω e, 光谱常数 B e, α e和 ω e χ e, 同时讨论了SOC对该体系的影响. 本文的计算结果与其他理论计算符合得较好, 与实验数值也基本吻合. 基于SOC-AV6dZ方法下的APEF, 通过求解径向薛定谔方程, 给出了SiH +(X 1Σ +)离子的前23个振动能级( j= 0), 并详细列出了每1个振动能级及其相应的经典拐点, 每个振动态的转动常数和6个离心畸变常数, 且提供了振动能级图. 该工作对于实验和后续的理论工作有参考和指导作用.
-
关键词:
- SiH+(X1Σ+)离子/
- 势能曲线/
- 光谱常数/
- 自旋-轨道耦合
The analytical potential energy function (APEF) of SiH +(X 1Σ +) is fitted by Aguado-Paniagua function with 112 ab initioenergy points, which are calculated by Molpro 2012 Package with the multi-reference configuration interaction including the Davidson correction method using AV XZ and AV XdZ ( X= Q, 5, 6) basis sets. Moreover, the calculated ab initioenergy points are subsequently extrapolated to complete basis set (CBS) limit to avoid the basis set superposition error. All the fitting parameters of APEFs for AV6Z, CBS(Q, 5), AV6dZ, CBS(Qd, 5d), SA-AV6dZ and SOC-AV6dZ methods are gathered. The potential energy curves (PEC) and the corresponding ab initiopoints are also shown. As can be seen, the PECs show excellent agreement with the ab initiopoints and a smooth behavior both in short range and long range, which ensures the high quality of fitting process for the current APEFs. Based on these APEFs of different basis sets and methods including AVQZ, AV5Z, AV6Z, CBS(Q, 5), AVQdZ, AV5dZ, AV6dZ and CBS(Qd, 5d), the spectral constants D e, R e, ω e, B e, α eand ω e χ eare obtained. In addition, the effects of spin-orbit coupling interaction (SOC) on the system are also investigated. By comparing the spectral constants of SA-AV6dZ with the ones of SOC-AV6dZ, it is found that the effect of SOC on SiH +(X 1Σ +) is small and can be ignored. We also compare the spectral constants in this work with the experimental values and other theoretical results. The results of this work accord well with the corresponding experimental and other theoretical results. It is worth noting that the deviation of dissociation energy between the theoretical calculations and experimental values is relatively large. Based on this conclusion, we suggest that the spectral constants including the dissociation energy for SiH +(X 1Σ +) should be remeasured. Based on the APEF of SOC-AV6dZ which should be more accurate than others in theory, the top 23 vibrational states ( j= 0) of SiH +(X 1Σ +) are calculated first by solving the radial Schrödinger equation. All the vibrational energy levels, classical turning points, rotation constants and six centrifugal distortion constants are also provided. The results of this work can provide significant references for the experimental and other theoretical work. -
Keywords:
- SiH+(X1Σ+) ion/
- potential energy curve/
- spectral constant/
- spin-orbit coupling interaction
[1] [2] [3] [4] [5] [6] [7] [8] [9] [10] [11] [12] [13] [14] [15] [16] [17] [18] [19] [20] [21] [22] [23] [24] [25] [26] [27] [28] [29] [30] [31] [32] [33] [34] [35] -
AV6Z CBS(Q, 5) AV6dZ CBS(Qd, 5d) SA-AV6dZ SOC-AV6dZ a0 0.50876826×101 0.50552062×101 0.50858283×101 0.50691706×101 0.50773275×101 0.50772768×101 a1 –0.13804619×100 –0.14563907×100 –0.13801387×100 –0.14215220×100 –0.13720269×100 –0.15322183×100 a2 –0.13563746×101 –0.14531223×101 –0.13570613×101 –0.14215828×101 –0.16375066×101 0.30937784×100 a3 –0.51802913×102 –0.49687570×102 –0.51738027×102 –0.50317640×102 –0.42586263×102 –0.92938545×102 a4 0.62749955×103 0.59645776×103 0.62624067×103 0.60422890×103 0.45856480×103 0.11152320×104 a5 –0.48068238×104 –0.45486708×104 –0.47942732×104 –0.45972031×104 –0.30344319×104 –0.81653091×104 a6 0.26148147×105 0.24858810×105 0.26073093×105 0.24994077×105 0.14706913×105 0.40426343×105 a7 –0.98935973×105 –0.94946694×105 –0.98651660×105 –0.94886015×105 –0.51962969×105 –0.13681997×106 a8 0.24960293×106 0.24200403×106 0.24891691×106 0.24047472×106 0.12676883×106 0.31028426×106 a9 –0.39722347×106 –0.38879401×106 –0.39620641×106 –0.38442238×106 –0.19927330×106 –0.44979467×106 a10 0.35937312×106 0.35468541×106 0.35853489×106 0.34921672×106 0.18029764×106 0.37617755×106 a11 –0.14069370×106 –0.13986829×106 –0.14040272×106 –0.13721966×106 –0.71149416×106 –0.13802294×106 β1 0.6890 0.6800 0.6890 0.6840 0.6870 0.6870 β2 0.7470 0.7470 0.7470 0.7470 0.7470 0.7470 ∆Ermsd/
(kcal·mol–1)1.60176420×10–2 1.61755859×10–2 1.60042370×10–2 1.627559848×10–2 9.45767662×10–3 1.11170443×10–2 基组 De(Eh) Re(a0) ωe/cm–1 βe/cm–1 αe/cm–1 ωeχe/cm–1 AVQZ 0.124640 2.851925 2153.245 7.607440 0.219327 42.373 AV5Z 0.125388 2.848589 2155.792 7.625272 0.218960 42.220 AV6Z 0.125584 2.848001 2156.686 7.628410 0.218833 42.189 CBS(Q, 5) 0.125856 2.847053 2157.189 7.633502 0.218622 42.117 AVQdZ 0.125067 2.848877 2156.187 7.623729 0.219427 42.343 AV5dZ 0.125461 2.848067 2156.737 7.628067 0.219011 42.232 AV6dZ 0.125622 2.847728 2157.046 7.629881 0.218849 42.190 CBS(Qd, 5d) 0.125801 2.847782 2156.602 7.629593 0.218534 42.112 SA-AV6dZ 0.127264 2.848531 2163.448 7.625581 0.216725 41.893 SOC-AV6dZ 0.126533 2.848382 2164.033 7.626378 0.217885 42.158 Expe[12,34] 0.123203 2.842338 2157.17 7.6603 0.2096 34.24 Theory[16] 0.118665 2.834590 2155.4 7.6786 0.2082 38.8 Theory[18] 0.123982 2.844039 2172.0 — — — Theory[21] 0.125317 2.834590 2177.9 7.6984 — 36.7 Theory[23] 0.124980 2.842149 2154.3 7.6609 0.2032 35.0 v G(v)/ cm–1 Rmin(a0) Rmax(a0) Bv/ cm–1 0 1074.467 2.62981 3.11141 7.530487 1 3171.224 2.49347 3.33862 7.336827 2 5200.543 2.40984 3.51594 7.142529 3 7162.231 2.34756 3.67498 6.947281 4 9055.742 2.29761 3.82512 6.750433 5 10880.124 2.25595 3.97091 6.551101 6 12634.005 2.22031 3.91505 6.348250 7 14315.600 2.18934 4.26009 6.140735 8 15922.726 2.16213 4.40742 5.927312 9 17452.802 2.13803 4.55893 5.706603 10 18902.835 2.11661 4.71650 5.477032 11 20269.364 2.09752 4.88227 5.236702 12 21548.363 2.08051 5.05888 4.983201 13 22735.066 2.06540 5.24986 4.713296 14 23823.694 2.05206 5.46016 4.422419 15 24807.010 2.04041 5.69731 4.103776 16 25675.599 2.03041 5.97379 3.746622 17 26416.625 2.02208 6.31278 3.332604 18 27011.579 2.01553 6.76545 2.826988 19 27432.546 2.01096 7.48310 2.158867 20 27650.956 2.00861 9.05975 1.323582 21 27734.462 2.00771 11.47553 0.838944 22 27769.256 2.00734 16.60576 0.360244 v Dv(× 10–4) Hv(× 10–8) Lv Mv Nv Ov 0 –3.7712102 1.4824556 –9.1045 × 10–13 4.1069 × 10–17 –2.4011 × 10–21 6.9631 × 10–26 1 –3.7362090 1.4243863 –8.8032 × 10–13 3.5297 × 10–17 –4.1863 × 10–21 1.8363 × 10–25 2 –3.7039865 1.3618539 –8.9866 × 10–13 2.9262 × 10–17 –5.1444 × 10–21 1.9171 × 10–25 3 –3.6778687 1.2884893 –9.4914 × 10–13 2.3397 × 10–17 –5.8593 × 10–21 9.6796 × 10–26 4 –3.6608093 1.2011917 –1.0216 × 10–12 1.6648 × 10–17 –6.8904 × 10–21 –1.1678 × 10–25 5 –3.6553038 1.0982022 –1.1140 × 10–12 6.8522 × 10–18 –8.7371 × 10–21 –4.8697 × 10–25 6 –3.6635199 0.9774540 –1.2320 × 10–12 –9.1302 × 10–18 –1.2003 × 10–20 –1.1229 × 10–24 7 –3.6875661 0.8351772 –1.3901 × 10–12 –3.5900 × 10–17 –1.7702 × 10–20 –2.2781 × 10–24 8 –3.7298613 0.6645057 –1.6143 × 10–12 –8.0925 × 10–17 –2.7799 × 10–20 –4.5064 × 10–24 9 –3.7936180 0.4536483 –1.9481 × 10–12 –1.5748 × 10–16 –4.6321 × 10–20 –9.0505 × 10–24 10 –3.8835055 1.8293995 –2.4663 × 10–12 –2.9088 × 10–16 –8.1928 × 10–20 –1.8869 × 10–23 11 –4.0066389 –0.1804552 –3.3026 × 10–12 –5.3251 × 10–16 –1.5445 × 10–19 –4.1577 × 10–23 12 –4.1741837 –0.6927552 –4.7113 × 10–12 –9.9426 × 10–16 –3.1311 × 10–19 –9.8710 × 10–23 13 –4.4041727 –1.4546951 –7.2135 × 10–12 –1.9417 × 10–15 –6.9300 × 10–19 –2.5871 × 10–22 14 –4.7268845 –2.6591579 –1.1978 × 10–11 –4.0783 × 10–15 –1.7160 × 10–18 –7.7417 × 10–22 15 –5.1961278 –4.7106022 –2.1959 × 10–11 –9.5527 × 10–15 –4.9431 × 10–18 –2.7809 × 10–21 16 –5.9157772 –8.5688303 –4.5904 × 10–11 –2.6336 × 10–14 –1.7665 × 10–17 –1.2991 × 10–20 17 –7.1117968 –16.938203 –1.1615 × 10–10 –9.3420 × 10–14 –8.7454 × 10–17 –9.0301 × 10–20 18 –9.3643712 –39.467832 –3.9578 × 10–10 –4.9264 × 10–13 –7.1396 × 10–16 –1.1444 × 10–18 19 –14.323856 –114.68916 –1.7949 × 10–9 –3.4005 × 10–12 –7.1696 × 10–15 –1.6154 × 10–17 20 –18.399913 –47.324191 1.5501 × 10–9 –7.5768 × 10–13 –3.7548 × 10–14 –1.9274 × 10–17 21 –14.637253 –291.40012 –2.0665 × 10–8 –1.4452 × 10–10 –1.3084 × 10–12 –1.3806 × 10–14 22 –57.213156 –20756.133 –1.6655 × 10–5 –1.7512 × 10–6 –2.1241 × 10–7 –2.8187 × 10–8 -
[1] [2] [3] [4] [5] [6] [7] [8] [9] [10] [11] [12] [13] [14] [15] [16] [17] [18] [19] [20] [21] [22] [23] [24] [25] [26] [27] [28] [29] [30] [31] [32] [33] [34] [35]
计量
- 文章访问数:4964
- PDF下载量:86
- 被引次数:0












下载:



