Superconducting quantum interference device (SQUID) has been used as an extremely sensitive flux sensor up to now. Series SQUID array (SSA) is made up of several identical element-SQUIDs in series, in which each element-SQUID is coupled with the same set of input coils by mutual inductance to realize the amplified output of the input current. From the noise viewpoint, each element-SQUID in SSA is independent of each other, resulting in the total voltage noise across the array rising linearly with the square root of the number of element-SQUIDs. From the perspective of input signals, since the signals come from the same set of input coils, the voltage output of the array is enlarged with the proportion of element-SQUID number, N. Taken together, the signal-to-noise ratio of SSA is increased by
$\sqrt{ {N}}$
times, or the flux noise of SSA is reduced by 1/
$\sqrt{ {N}}$
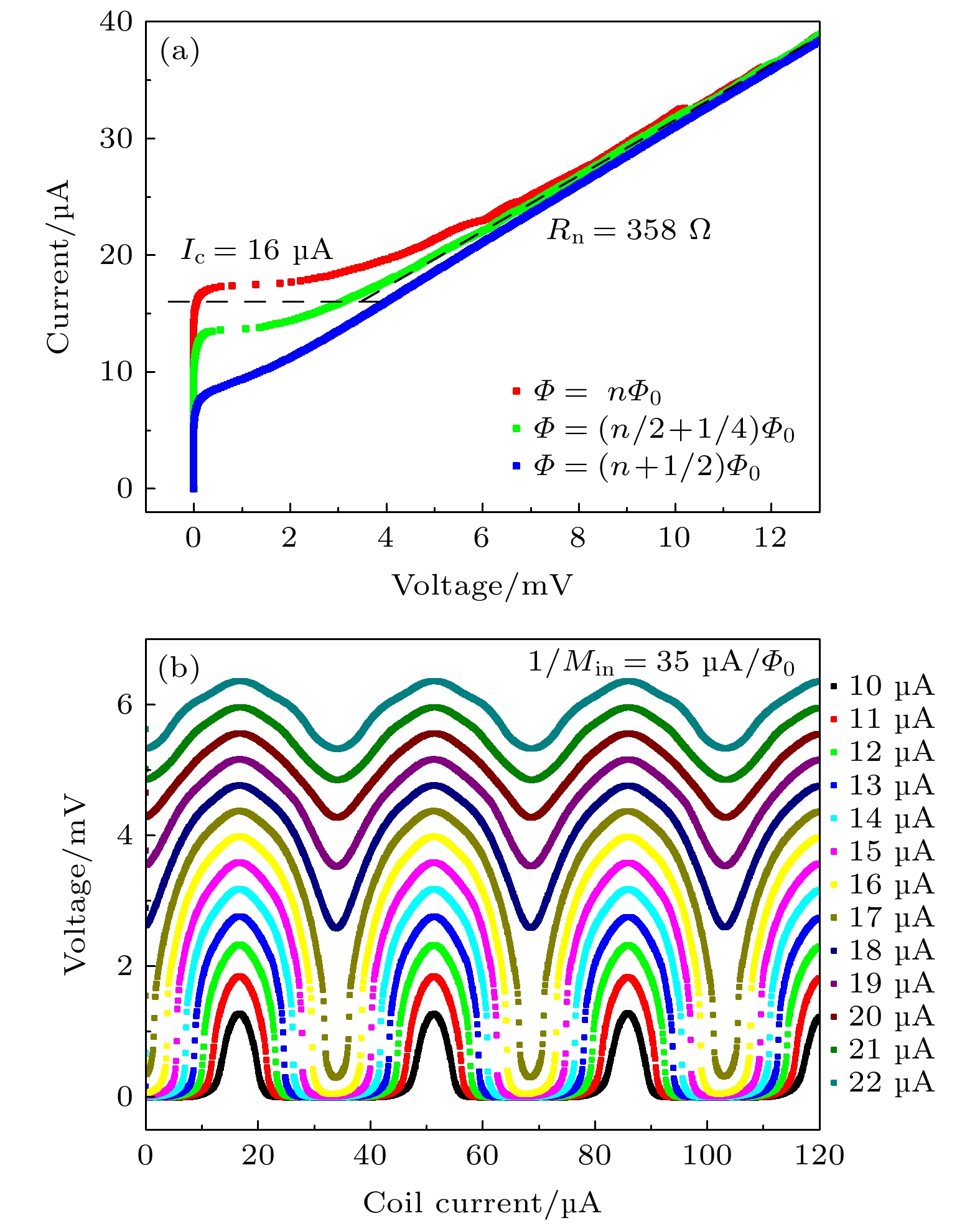
times compared with that of an element-SQUID ideally. However, with the increase in the number of element-SQUIDs in series, the chip design of SSA becomes more complicated, which puts forward higher requirements for the consistency and stability of its fabrication process. Besides, there exists a certain flux coherence between element-SQUIDs in SSA, whose normal operation depends on the working state of each element-SQUID in the array. In this paper, the fabrication of series SQUID array is carried on the autonomous superconducting micro-nano process platform, with a yield rate reaching over 80% on a 4-inch standard silicon wafer. Two kinds of SSAs with 200 and 800 element-SQUIDs, respectively, are integrated in a meandering way on a chip in a millimeter area. Home-made directly-coupled readout circuit is used to obtain the characteristics of SSA. The experimental results reveal that the flux noise at best working point is as low as 0.5μ
$\varPhi _{\text{0}}/\sqrt{\text{Hz}}$
and the current sensitivity is about 35 μA/
Φ
0, thus, the equivalent input current noise is achieved at a level of 18 pA/
$ \sqrt{\text{Hz}} $
. Additionally, the dependence of relevant parameters in array on the number of element-SQUIDs is verified, which is consistent with theoretical expectation basically. These show that the reliability of device design and the consistency of fabrication process perform well, thus laying the technical foundation for developing the low-noise SQUID amplifier and the multiplexed readout of low-impedance detectors.