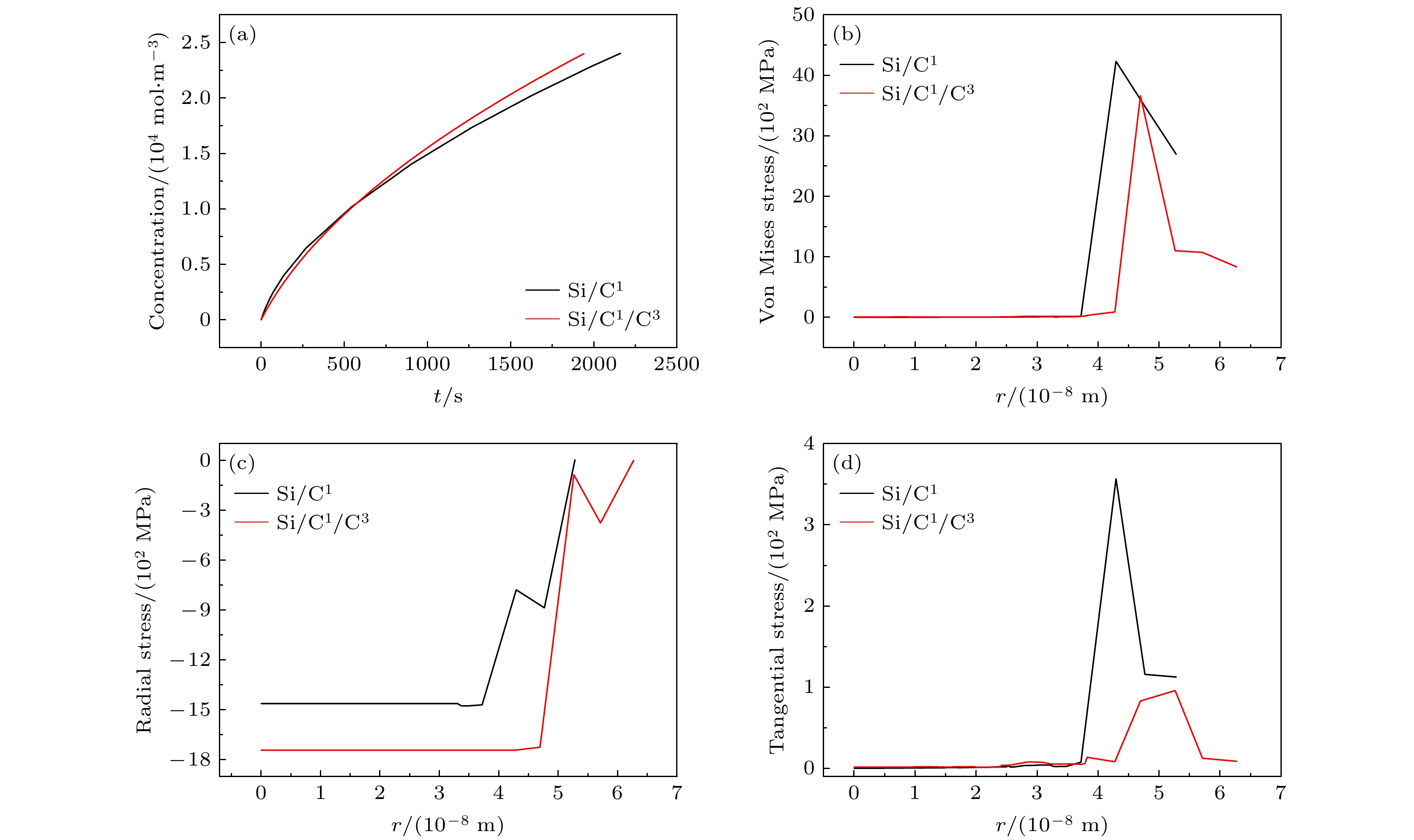
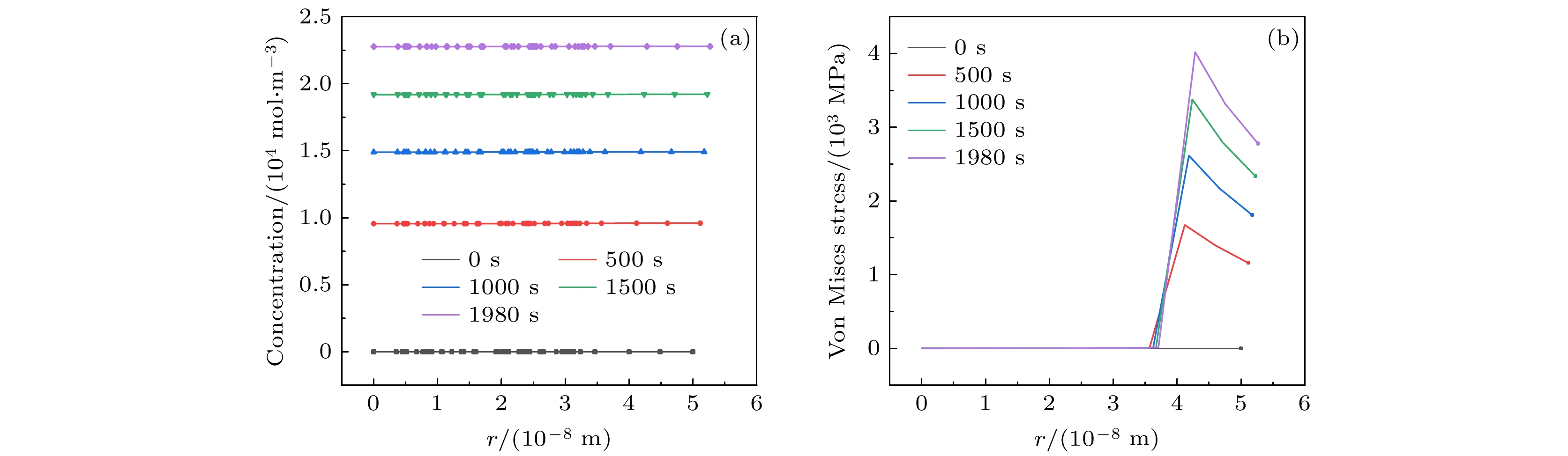
Silicon is considered as a first candidate for ideal anode material of the next-generation lithium-ion battery due to its high theoretical capacity to meet the demand for higher energy density. On the other hand, high theoretical capacity is accompanied by massive volume expansion, which gives arise to high stress and crack and pulverization of anode particles. Finally, the capacity of the battery fades gradually. While some kinds of factors contribute to the failure of silicon-based electrodes, the most important one is the diffusion-induced stress generated in silicon-based electrode particles. The cyclic processes of lithiation and delithiation are accomplished by the intercalation into and deintercalation from the silicon particles of lithium ions. During the cycle, physical processes and chemical processes, such as diffusion of lithium ions, phase transition, and volume expansion, take place simultaneously, making the cyclic process a strong-coupling problem to be addressed. For example, the intercalation of lithium ions into the electrode results in volume expansion and phase transition of anodes, thereby inducing stress; in turn, stress affects the diffusion process of lithium ions. Aiming to probe this problem, with the finite deformation hypothesis, an electrochemical-mechanical coupling model is used to study the variation and distribution of concentration and stress of core-shell structure during lithiation. And more importantly, great emphasis is put on the optimal design of core-shell structure. The numerical results show that the shell is useful in prohibiting the volume expansion of silicon core, but large compressive radial stress in silicon core may cause the core and shell to be detached, while the tangential tensile stress at the core-shell interface leads the shell to fracture. To improve the electrochemical and mechanical performance and hence lengthen the cycle life of lithium-ion batteries, two kinds of optimal designs are considered: 1) single-layered core-shell structure and 2) double-layered core-shell structure. The numerical results suggest that the softer shell material is suitable for a single-layered core-shell structure and the inner-soft & outer-hard design is optimal for the double-layered core-shell structure. Furthermore, the effects of Young's modulus of the inner and outer carbon layer materials on the chemical and mechanical performance of anode are explored. The simulation shows that the optimal Young's modulus of the inner shell is less than 10 GPa, and that of the outer shell is not higher than 70 GPa. This research is helpful in designing and optimizing the silicon-based anode electrodes of lithium-ion batteries.