-
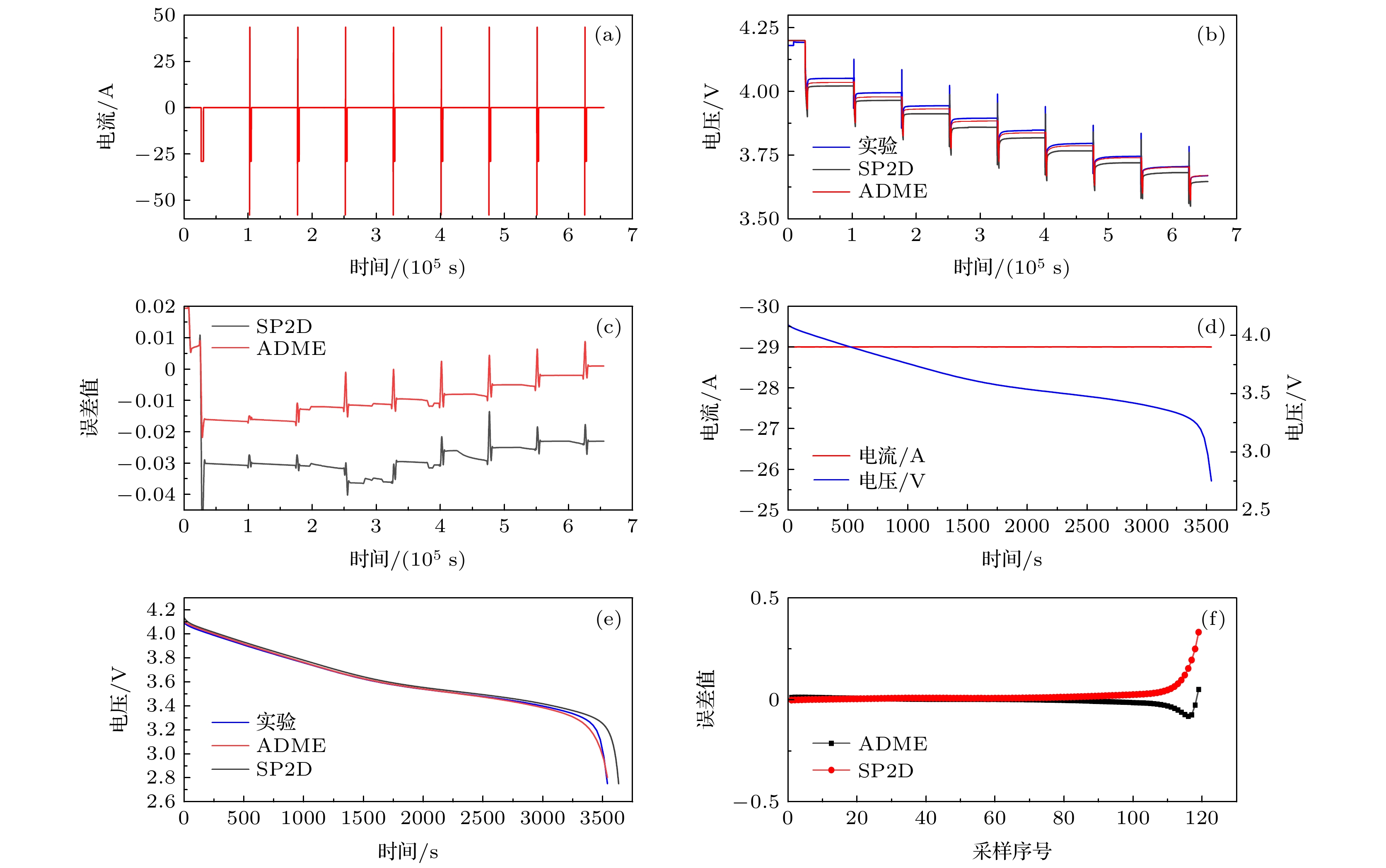
当前锂离子动力电池电化学模型存在模型复杂、建模难度大、计算效率低、老化评估效果差的问题, 本文提出一种考虑电池衰退老化的机理模型(ADME). 本文首先通过有限差分法对伪二维(P2D)电化学模型进行离散降阶处理, 得到简化伪二维(SP2D)模型. 在SP2D模型的基础上, 基于阴阳两极发生的副反应导致的衰退老化现象, 提出一种考虑电池衰退老化的机理模型. 其次, 使用多变量偏差补偿最小二乘法实现模型参数辨识. 最后通过动力电池衰退老化性能循环实验, 对比分析了恒流、脉冲工况下SP2D模型和ADME模型的终端电压输出. 结果表明: ADME模型较为简单、计算效率和估算精度高, 可以有效评估电池容量老化衰退, 得到理想的锂离子动力电池外特性曲线.The current electrochemical models of lithium-ion power batteries have many problems, such as complex models, difficult modeling, low computational efficiency and poor aging evaluation effect. In this paper, a mechanism model (ADME) considering battery decay and aging is proposed. In this paper, the pseudo-two-dimensions (P2D) electrochemical model is first reduced by finite difference method to obtain a simplified P2D (SP2D). On the basis of SP2D model, a mechanism model considering battery decay and aging is proposed, which is based on the degradation and aging phenomenon caused by the side reactions between positive and negative electrodes. Secondly, the multivariate deviation compensation least square method is used to identify the model parameters. Finally, the terminal voltage output of SP2D model is compared with that of ADME model and the outputs from the two models are also analyzed through the cycle experiment on power battery aging performance, constant current and pulse condition. The results show that the ADME model is relatively simple, has high computational efficiency and estimation accuracy, and can effectively evaluate the aging decline of battery capacity, and obtain the ideal external characteristic curve of lithium ion power battery.
[1] [2] [3] [4] [5] [6] [7] [8] [9] [10] [11] [12] [13] [14] [15] [16] [17] [18] [19] [20] [21] [22] [23] [24] [25] [26] [27] [28] -
参数 物理意义 参数 物理意义 $ { \varepsilon }_{{\rm{e}}} $ 液相体积分数 $ {\alpha }_{{\rm{a}}} $ 阳极传递系数, 通常取0.5 $ {c}_{{\rm{e}}} $ 液相锂离子浓度 $ {\alpha }_{{\rm{c}}} $ 阴极传递系数, 通常取0.5 x 极板厚度 η 球形颗粒表面过电势 $ {D}_{{\rm{e}}}^{{\rm{e}}{\rm{f}}{\rm{f}}} $ 锂离子液相有效扩散系数 $ {k}_{{\rm{s}}} $ 电化学反应常数 a 电极颗粒单位体积 $ {t}_{{\rm{K}}} $ 载流子的迁移数 $ {t}_{+}^{0} $ 锂离子液相转移系数 $ {c}_{{\rm{s}}, {\rm{m}}{\rm{a}}{\rm{x}}} $ 活性材料内锂离子浓度最大值 $ {j}_{{\rm{r}}} $ 固相-液相交界面处的锂离子流量密度 $ {c}_{{\rm{s}}{\rm{u}}{\rm{r}}{\rm{f}}} $ 固相-液相交界面处的锂离子浓度 $ {c}_{{\rm{s}}} $ 固相锂离子浓度 $ {U}_{{\rm{t}}} $ 动力电池端电压 r 固体球形颗粒的半径方向 $ {D}_{{\rm{e}}{\rm{f}}} $ 固体电解质界面膜锂离子液相扩散系数 $ {D}_{{\rm{s}}} $ 锂离子固相扩散系数 $ {\kappa }_{{\rm{e}}{\rm{f}}} $ 固体电解质界面膜液相有效离子电导率 $ {R}_{{\rm{s}}} $ 固相活性颗粒半径 $ {c}_{{\rm{e}}{\rm{f}}} $ 固体电解质界面膜锂离子浓度 $ {\kappa }^{{\rm{e}}{\rm{f}}{\rm{f}}} $ 液相有效离子电导率 $ {\kappa }_{{\rm{e}}{\rm{f}}}^{{\rm{D}}} $ 固体电解质界面膜有效离子电导率 $ { \phi }_{{\rm{e}}} $ 液相势能 $ { \phi }_{{\rm{e}}{\rm{f}}} $ 固体电解质界面膜电势 R 摩尔气体常数 $ {j}_{{\rm{a}}}^{{\rm{s}}} $ 副反应阳极电流密度 T 电池温度 $ {a}_{{\rm{s}}, {\rm{a}}}^{{\rm{s}}} $ 副反应阳极活性颗粒比表面积 F 法拉第常数 $ {i}_{0, {\rm{a}}}^{{\rm{s}}} $ 副反应阳极初始电流密度 $ {i}_{{\rm{e}}} $ 液相电流密度 $ {\alpha }_{{\rm{a}}}^{{\rm{s}}} $ 副反应阳极锂离子传递系数 $ {\sigma }^{{\rm{e}}{\rm{f}}{\rm{f}}} $ 固相有效扩散电导率 $ {j}_{{\rm{c}}}^{{\rm{s}}} $ 副反应阴极电流密度 $ { \phi }_{{\rm{s}}} $ 固相势能 $ {a}_{{\rm{s}}, {\rm{c}}}^{{\rm{s}}} $ 副反应阴极活性颗粒比表面积 $ {i}_{{\rm{s}}} $ 固相电流密度 $ {i}_{0, {\rm{c}}}^{{\rm{s}}} $ 副反应阴极初始电流密度 i 锂离子电池充放电电流密度 $ {\alpha }_{{\rm{c}}}^{{\rm{s}}} $ 副反应阴极锂离子传递系数 $ {a}_{{\rm{s}}} $ 活性颗粒比表面积 $ {U}_{{\rm{c}}}^{{\rm{s}}} $ 副反应端电压 $ { \varepsilon }_{{\rm{s}}} $ 固相体积分数 $ {\delta }_{{\rm{e}}{\rm{f}}, {\rm{a}}} $ 固体电解质界面膜厚度 $ {i}_{{\rm{l}}} $ 外部电流大小 $ {M}^{{\rm{s}}} $ 副反应产物分子量 S 电极有效面积 $ {\rho }^{{\rm{s}}} $ 副反应产物密度 n 锂离子电荷数 $ { \varepsilon }_{{\rm{e}}{\rm{f}}, {\rm{c}}} $ 膜孔隙率 $ {i}_{0} $ 交换电流密度 $ {R}_{{\rm{f}}} $ 接触电阻 -
[1] [2] [3] [4] [5] [6] [7] [8] [9] [10] [11] [12] [13] [14] [15] [16] [17] [18] [19] [20] [21] [22] [23] [24] [25] [26] [27] [28]
计量
- 文章访问数:7407
- PDF下载量:202
- 被引次数:0












下载:




