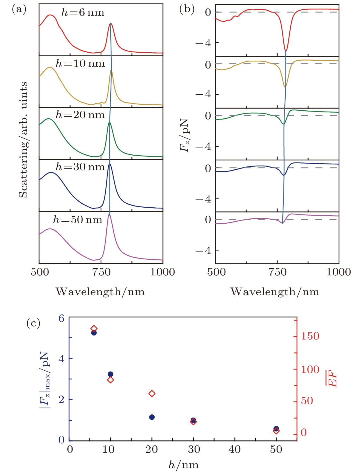
Manipulating the core-shell structure with the optical force has been extensively studied, giving birth to applications such as particle sorting, biomarkers and drug delivery. Tailoring the optical force exerted on the core-shell above the metallic film remains unexplored, despite the obvious benefits for both fundamental research and applications including strong coupling, surface enhanced spectroscopy, nanolaser, and nanoscale sensing. In this work, we systematically investigate the optical force exerted on a dielectric/metal core-shell above a gold film by utilizing the Maxwell stress tensor formalism. It is found that at the present gold substrate, the optical force on the core-shell can be one order of magnitude larger than that on the individual core-shell due to the strong coupling between the core-shell and the gold film. Interestingly, the direction of the optical force can be reversed from positive to negative by distributing the local field from the upside of core-shell to the structure gap through changing the excitation wavelength. Furthermore, we demonstrate that the magnitude and peak wavelength of the optical force can be well controlled by altering the structure gap, the size and refractive index of the core. More specifically, it is found that the coupling strength between the core-shell and the gold film decreases with the gap size increasing. As a result, we observe the blue shift of bonding mode and the decrease of local field in the gap, which leads the force peak wavelength to be blue-shifted and the force peak magnitude to decrease, respectively. Also, by increasing the radius and refractive index of the core, a red shift of force peak is accompanied with the red shift of the bonding mode. In addition, the force peak magnitude follows the same trend as the total local field enhancement factor when the radius and refractive index of the core change. We hope that our results open the way to control the cavity size of particle on film structure, which would be beneficial for tailoring the light matter interaction even down to single molecular level and promises to have the applications in novel functional photonic devices.