青年科学评述
青年科学评述
2020, 69 (18): 180301.
doi:10.7498/aps.69.20200649
摘要 +
多体量子系统的相互作用是研究量子信息科学必须要解决的瓶颈性问题之一. 里德堡(Rydberg)原子具有很大的电偶极矩, 使得它可以实现长程的相互作用, 为研究多体量子物理提供了有力的技术手段. 因而Rydberg原子多体系统是多体相互作用探究的理想平台, Rydberg原子多体相互作用的研究对多体量子系统的相互作用的性质研究和应用探究有着重要意义. 本文综述了关于Rydberg原子多体相互作用方面的研究, 介绍了由Rydberg原子的多体相互作用引起的Rydberg阻塞效应、Rydberg原子多体系统拉比频率的变化以及Rydberg原子多体系统呈现的特别的空间构型; 同时介绍了利用Rydberg原子多体相互作用实现一些应用的工作, 如实现单光子源、量子存储、实时单原子成像以及量子模拟等, 并讨论了Rydberg原子多体系统的研究方向和应用前景.
专题: 低维材料非线性光学与器件
2020, 69 (18): 184201.
doi:10.7498/aps.69.20200313
摘要 +
为了实现同步防护脉冲激光和连续波或准连续波激光的攻击, 人们在过去几十年间已经投入了大量的人力和物力来研发高性能光限幅材料. 石墨烯、过渡金属硫化物、黑磷等二维纳米材料拥有许多优异独特的性质, 激发了全世界的广泛研究兴趣. 本文简要回顾了基于石墨烯、黑磷、过渡金属硫化物和钙钛矿等最具代表性的二维材料及其有机/高分子衍生物在激光防护领域中的研究进展、存在的亟待解决的关键科学问题和未来的发展趋势. 为了充分利用这些二维纳米材料的优点, 人们可以使用功能小分子或聚合物与它们进行共混掺杂, 制备复杂的多相材料体系, 也可以将可溶性的有机/高分子共价功能化的二维纳米材料掺杂于高分子基质中形成主客体复合材料, 这些制备方法有助于促进或提高整个体系的光限幅能力. 总而言之, 一个优化的复杂的多组份纳米材料体系能极大地增强光限幅器件的性能和适应性. 此外, 开展二维纳米材料和它们的衍生物在不同固体基质中展现出来的光物理和光子性质研究, 将有助于在分子水平上实现对这些纳米材料的改性.
2020, 69 (18): 184210.
doi:10.7498/aps.69.20200452
摘要 +
二维过渡金属硫化物(transition metal dichalcogenides, TMDCs)由于可实现从间接带隙到直接带隙半导体的转变, 能带宽度涵盖可见光到红外波段, 及二维限域所带来的优异光电特性, 在集成光子以及光电器件领域受到了广泛的关注. 最近随着二维材料基础非线性光学研究的深入, 二维TMDCs也展现出了在非线性光学器件应用上的巨大潜能. 本综述聚焦于二维层状TMDCs中关于二次谐波的研究工作. 首先简述一些基本的非线性光学定则, 然后讨论二维TMDCs中原子层数、偏振、激子共振、能谷等相关的二次谐波特性. 之后将回顾这些材料二次谐波信号的调制及增强工作, 讨论外加电场、应变、表面等离激元结构、纳米微腔等方法和手段的影响机理. 最后进行总结和对未来本领域工作的展望. 理解二维TMDCs二次谐波的产生机制及材料自身结构与外场调控机理, 将对未来超薄的二维非线性光学器件的发展产生深远的意义.
2020, 69 (18): 184211.
doi:10.7498/aps.69.20200206
摘要 +
自从第一台红宝石激光器发明以来, 研究人员将目光集中到激光这种普通光源达不到的强光上, 由此发现了非线性光学材料以及一系列丰富多彩的相关特性—饱和吸收、反饱和吸收和非线性折射等, 并将其运用到光电子器件、光开关器件和光通信当中. 同时, 随着工业生产对于器件集成度需求的提升, 以普通三维材料为基础的器件已经难以达到应用要求, 低维半导体器件的兴起将有望解决这个问题. 所以, 将非线性光学与低维半导体材料相结合是未来发展的重要趋势, 量子点、量子线激光器和放大器的涌现也印证了这一点. 本文通过对准零维量子点材料、准一维纳米线材料和二维纳米材料非线性光学前沿工作进行总结, 为今后的研究提供参考. 但是, 低维材料由于稳定性、填充比例较低等问题, 还需要进一步的研究以满足实用需求.
2020, 69 (18): 184216.
doi:10.7498/aps.69.20200654
摘要 +
近年通信技术的飞跃, 对光学设备的紧凑性、响应速度、工作带宽和控制效率提出新的挑战. 石墨烯的发现, 使得二维材料飞速发展, 不断涌现出一系列新材料, 如MXene、黑磷、过渡金属硫化物等. 这些新型二维材料有着出色的非线性光学效应、强光-物质交互作用、超宽的工作带宽. 利用其热光效应、非线性效应并结合光学结构, 能够满足光通信中超快速的需求. 紧凑、超快、超宽将会是未来二维材料全光器件的标签. 本文重点综述基于二维材料的热光效应与非线性效应的全光器件, 介绍光纤型的马赫-曾德尔干涉仪结构、迈克耳孙干涉仪结构、偏振干涉结构以及微环结构, 最后阐述并回顾最新的进展, 分析全光器件面临的挑战和机遇, 提出全光领域的前景与发展趋势.
2020, 69 (18): 188101.
doi:10.7498/aps.69.20200472
摘要 +
以石墨烯为代表的二维纳米材料可饱和吸收体以其独特的非线性光学特性被广泛应用于超快光纤激光器. 本文总结了近年来二维纳米材料作为可饱和吸收体在中红外超快光纤激光器中的研究发展, 介绍了二维纳米材料原子结构、非线性光学特性、可饱和吸收体器件集成方式, 及其在中红外超快光纤激光器中的应用, 重点阐述了基于黑磷可饱和吸收体实现的2 μm飞秒光纤激光器, 并对二维纳米材料可饱和吸收体在中红外超快光纤激光器中的发展与挑战进行了展望.
2020, 69 (18): 188102.
doi:10.7498/aps.69.20201235
摘要 +
可饱和吸收体作为非线性光学行为的物质载体, 是获得超快激光的关键材料. 基于石墨烯、过渡金属硫化物、拓扑绝缘体、黑磷等二维材料为代表的可饱和吸收体具有不同的光学优点, 但仅依赖某一方面光学优势的单一材料, 很难避免其应用的局限性. 通过异质结结构结合不同二维材料的优势, 达到光学互补效应, 为制备高性能的新型可饱和吸收体, 实现短脉宽高峰值功率的输出提供了思路和借鉴. 本文总结了异质结可饱和吸收体的制备方法、能带匹配模型、电子跃迁机理, 并从工作波长、输出脉宽、重复频率、脉冲能量等重要参数对国内外基于二维材料异质结激光器的研究进展进行了综述, 此外, 对二维材料异质结在光调制器、超快激光、可饱和吸收体、光开关等方向的发展前景进行了展望.
2020, 69 (18): 189101.
doi:10.7498/aps.69.20200456
摘要 +
非线性光学作为现代光学的一门重要分支, 在各个领域都有着重要的研究意义和应用价值. 然而, 受限于材料固有的非线性极化率和与外来光场的有限作用长度, 其非线性光学响应很弱. 等离激元纳米结构可以将外来光场束缚在纳米结构周围, 在光谱共振局域空间内形成一个巨大的电磁场增强, 从而极大地促进光与物质的相互作用, 提高了非线性光学响应. 超快脉冲激光由于其优异的性能已经广泛应用于光通信、精密测量、生物医学、军用激光武器等重要领域, 虽然商用的激光器已经发展得非常成熟, 可以达到超高的峰值功率、超短的脉宽以及超高的重频, 但是在中远红外波段的超快脉冲研究仍然是一个缺口, 所以寻找一种性能优异的可饱和吸收体材料对于脉冲激光的发展具有重要的意义. 本文综述了基于贵金属和非贵金属的等离激元纳米结构在超快光开关和脉冲激光方面的应用进展. 很多宽禁带半导体, 通过掺杂可以表现出类似金属的性质, 由于掺杂可以形成自由载流子, 当其尺寸在纳米尺度时, 就会表现出局域表面等离激元共振的特性, 从而实现超快的非线性光学响应, 并且掺杂的载流子浓度不能达到金属载流子的浓度, 可以有效减小过高载流子引起的带间损耗. 通过泵浦探测和Z扫描测试发现, 这些等离激元纳米结构在红外波段表现出超快的非线性光学响应以及宽带可调的性质, 可以产生几百飞秒量级的脉冲激光, 表明它们在超快光子学领域有很大的应用前景. 最后总结了不同体系等离激元材料的优势和不足, 展望了未来的发展和需要改进的工作.
2020, 69 (18): 189501.
doi:10.7498/aps.69.20200399
摘要 +
光频梳由一系列等间距、高稳定性的频率线组成. 由于具有超高频率稳定性和超低相位噪声, 光频梳在精密光谱测量、成像、通信等领域具有重要应用. 在太赫兹波段, 基于半导体的电抽运太赫兹量子级联激光器具有大功率输出、宽频率覆盖范围等特点, 是产生太赫兹光频梳的理想载体. 本文主要介绍基于太赫兹半导体量子级联激光器光频梳的研究进展, 详细列举了自由运行、主动稳频和被动稳频模式下产生光频梳的方法. 双光梳光谱可以克服传统太赫兹光谱仪需要机械扫描系统而难以实现实时光谱检测的难题, 是光频梳应用的主要方向. 在光频梳基础之上, 本文还介绍了采用两个太赫兹量子级联激光器产生双光梳的方法和应用.
2020, 69 (18): 184205.
doi:10.7498/aps.69.20200337
摘要 +
铋纳米片作为一种新型二维材料, 具有合适的带隙、较高的载流子迁移率和较好的室温稳定性, 加上优异的电学和光学特性, 是实现中红外脉冲激光的有效调制器件. 中红外单晶光纤兼备晶体和光纤的优势, 是实现高功率激光的首选增益介质. 本文采用超声波法成功制备了铋纳米片可饱和吸收体, 并首次将其用于二极管抽运Er:CaF2单晶光纤中红外被动调Q脉冲激光器中. 在吸收抽运功率为1.52 W时, 获得平均输出功率为190 mW的脉冲激光, 最窄脉冲宽度为607 ns, 重复频率为58.51 kHz, 对应的单脉冲能量和峰值功率分别为3.25 μJ和5.35 W. 结果表明, 使用铋纳米片作为可饱和吸收体, 是实现结构紧凑的小型中红外单晶光纤脉冲激光的有效技术途径.
封面文章
2020, 69 (18): 184208.
doi:10.7498/aps.69.20200342
摘要 +
过渡金属硫代亚磷酸盐MnPS3是三元含磷二维材料, 具有新颖的光电特性. 采用化学气相传输方法生长MnPS3单晶, 结合机械剥离方法制备可饱和吸收体光纤调制器件. 以MnPS3可饱和吸收体构建掺铒光纤环形激光器, 实现脉冲间隔为196.1 ns, 脉冲宽度为3.8 ns, 最高输出功率为27.2 mW, 1565.19 nm和1565.63 nm双波长锁模脉冲激光输出, 实现280 h以上高稳定自启动双波长锁模输出.
2020, 69 (18): 184212.
doi:10.7498/aps.69.20200443
摘要 +
二硒化锗(GeSe2)作为一种层状IV-VI族半导体, 具有面内各向异性结构及宽能带间隙, 表现出了独特的光、电及热学性能. 本文利用偏振拉曼光谱和线性吸收谱分别对GeSe2纳米片的晶轴取向和能带特性进行表征, 并以此为依据采用微区I扫描系统研究了GeSe2在共振能带附近的光学非线性吸收机制. 结果表明, GeSe2中非线性吸收机制为饱和吸收与激发态吸收的叠加, 且对入射光偏振与波长均有强烈的依赖. 近共振激发(450 nm)条件下, 激发态吸收对偏振的依赖程度比较大, 随着入射光偏振的不同, 非线性调制深度可由4.6%变化至9.9%; 而非共振激发(400 nm)时, 该调制深度仅由7.0%变化至9.7%. 同时, 相比于饱和吸收, 激发态吸收的偏振依赖程度受远离共振激发波长的影响而变化更大.
2020, 69 (18): 184218.
doi:10.7498/aps.69.20201305
摘要 +
实验搭建了一台基于碳纳米管的耗散孤子光纤激光器, 研究了耗散孤子的动态偏振特性. 在160 mW的抽运功率下, 得到了稳定的单脉冲耗散孤子. 通过调整腔内的偏振控制器, 得到了庞加莱球上为固定点形式吸引子的偏振锁定矢量耗散孤子. 单向机械调节腔内偏振控制器可以调控偏振锁定吸引子向极限环吸引子的演化, 且实现极限环区域可控. 对比不同偏振吸引子下的偏振度发现, 偏振度的高低和偏振吸引子覆盖区域面积成反比. 因此, 可以通过偏振度的大小定量地判断吸引子是否为偏振锁定. 该工作对于研究新型偏振可调激光器、探索激光器的物理机制具有指导意义.
2020, 69 (18): 188801.
doi:10.7498/aps.69.20200334
摘要 +
Ag@SiO2纳米耦合结构同时具有等离激发和衍射散射特性, 可有效调控光波的行进路径和能量分布, 在薄膜太阳电池陷光领域极具潜力. 本文基于时域有限差分方法和严格耦合波分析, 建立三维电磁仿真模型, 研究Ag@SiO2耦合结构对非晶硅电池光谱响应的调控机理, 通过优化设计, 得到高陷光电池器件. 结果表明: 当Ag和SiO2特征尺寸分别为18和150 nm时, 共振波和衍射波达到最优耦合, 通过耦合结构进入电池响应层的透射光谱最大, 相应量子效率显著增强. 与同尺寸的平面电池相比, 其光电转换效率从7.19%提高到7.80%, 相对提高了8.48%.
综述
2020, 69 (18): 187801.
doi:10.7498/aps.69.20200795
摘要 +
金属卤化物钙钛矿纳米晶由于其卓越的光电子性能, 在发光二极管、激光器、X射线成像、太阳能电池及光电探测等领域中受到了极大的关注. 与有机-无机杂化钙钛矿纳米晶相比, 全无机钙钛矿CsPbX3(X= Cl, Br, I)纳米晶具有更优异的光电性能和更高的稳定性. 为进一步提高CsPbX3纳米晶的光致发光量子效率和稳定性, 有研究已经着手调控纳米晶的微观结构, 减少作为非辐射复合中心的缺陷. 近年来, 在金属离子掺杂CsPbX3纳米晶过程中, 发现不同种类和不同掺杂浓度的金属离子对其电子能带结构和光致发光性能有着巨大的影响, 基于金属离子掺杂取得了光致发光量子效率接近100%的CsPbX3纳米晶. 本文综述了近年来在CsPbCl3, CsPbBr3, CsPbI3和Mn2+掺杂CsPbX3(Mn2+:CsPbX3)四种体系中通过金属离子掺杂提高全无机钙钛矿纳米晶光学性能的研究进展及其性能提升的物理机制. 此外, 提出了下一步还需要深入研究的一些问题和策略, 通过这些问题的深入研究, 希望能促使全无机钙钛矿纳米晶在各种光电器件中得到更广泛的应用.
电磁学、光学、声学、传热学、经典力学和流体动力学
2020, 69 (18): 184101.
doi:10.7498/aps.69.20200415
摘要 +
构建了二维六角蜂窝晶格的两种结构, 让散射体和基体材料反转. 由于特有的点群对称, 该晶格在布里渊区中心具有类比电子体系的p轨道和d轨道. 在散射体和基体反转的两种结构中, p轨道和d轨道也直接实现了反转. 定量分析了产生轨道反转的原因来自于低频局域共振产生空气带和介质带的反转. 通过p轨道和d轨道的宇称特性, 构建了类比电子体系量子自旋霍尔效应的赝自旋态. 通过Γ点处有效哈密顿量的分析, 揭示轨道反转导致的拓扑相变. 通过结构的优化, 构建了基于赝自旋的拓扑边界态. 电磁波仿真模拟和能流矢量分析证明了结构具有电子体系量子自旋霍尔效应的特性, 即自旋与传播方向锁定和拓扑保护. 结果也证明经典波量子自旋霍尔效应的实现可以不经历带隙关闭的过程. 与同类型的研究相比较, 本文的结构不需要晶格的缩放, 具有设计简单、带隙宽和边界态局域性较强的特点.
2020, 69 (18): 184202.
doi:10.7498/aps.69.20200471
摘要 +
水下光学成像是探索水下奥秘的关键技术, 但是环境中介质吸收和背向散射效应会造成图像严重退化. 基于差分偏振的复原技术是水下图像复原技术的主要方法之一, 通过正交偏振图之间的共模抑制实现背景散射光的抑制, 但是相关研究表明该方法对于非均匀光场等情况的恢复效果一般, 其原因主要在于非均匀光场条件下偏振度和强度的估计误差. 针对上述问题, 本文提出融合偏振信息的多孔径水下成像技术, 该方法利用相机阵列实现虚拟大孔径成像系统, 从而获取广角光场信息, 进而融合场景的深度信息实现背景散射和偏振度的精确估计, 估计参数值能更好地反映场景的全局特征. 对浑浊水下环境中不同偏振度目标进行成像实验, 与目前先进的复原算法进行对比, 结果表明, 本文方法能够有效克服水下非均匀光场带来的问题, 得到高质量的复原结果.
2020, 69 (18): 184203.
doi:10.7498/aps.69.20200695
摘要 +
理论分析和实验验证了太赫兹涡旋光与带有周期性亚波长金属褶皱圆盘中暗态多极赝局域等离子模式的相互作用. 研究结果表明, 携带不同轨道角动量和自旋角动量的太赫兹涡旋光可以决定最终激发出的太赫兹暗态多极等离子模式, 此结果和光频段的理论分析一致. 利用太赫兹近场扫描方法对涡旋光的自旋和轨道角动量与暗态多极等离子模式的对应关系进行了实验论证, 实验结果与理论仿真符合较好. 研究成果将对太赫兹物理、等离子体以及成像领域研究起到一定的促进作用.
2020, 69 (18): 184204.
doi:10.7498/aps.69.20200589
摘要 +
光学薛定谔猫态不仅是量子力学基本问题的主要研究对象之一, 也是连续变量量子信息的重要资源. 在其实验制备中, 对触发光路进行滤波操作是决定猫态的纯度、产率等重要参数的关键环节. 本文介绍实验中的滤波设计以及滤波腔腔长的测量方法. 依据设计要求, 腔长
$ {l_{{\rm{FC}}}}$
应满足条件
$ 189 \;{\text{μm}}> {l_{{\rm{FC}}}} > 119\;{\text{μm}}$
, 如此短的腔长用常规方法难以较准确地测量. 利用高阶横模的古依相移测得腔长为
$ 141 \;{\text{μm}}$
, 满足设计要求. 该测量方法不依赖于腔内任何介质的色散等特性, 具有一定的普遍性.
2020, 69 (18): 184206.
doi:10.7498/aps.69.20200214
摘要 +
采用时域有限差分法和麦克斯韦应力张量法, 系统研究了金薄膜衬底上介质-金属核壳结构所受的光学力. 研究结果表明: 由于核壳结构与衬底之间强的等离激元模式杂化效应, 其所受的光学力相较于单个核壳结构实现了一个数量级的增强; 同时, 通过改变激发波长, 实现了局域电场分布的调控, 以此观察到了核壳结构光学力方向的可控反转; 进一步, 详细分析了核壳结构所受光学力随其到衬底间距、内核介质的尺寸及折射率等的变化关系, 以此丰富了光学力大小、方向和峰值波长的调控方法. 研究结果可为精确控制颗粒/金属薄膜纳米腔的尺寸提供一种新的途径, 并为调控单分子级的光与物质相互作用、研发新型纳米光子器件提供有益参考.
2020, 69 (18): 184207.
doi:10.7498/aps.69.20200530
摘要 +
不同的频率失谐会在耦合光学微腔激发出不同的工作模式. 以两个耦合光场的非线性薛定谔方程为理论模型, 分别研究了失谐参量正调谐和负调谐过程中微腔内光场的变化. 理论分析结果表明, 在正失谐区域中, 腔内光场可由多脉冲形式演变为亮孤子, 但亮孤子存在范围较小, 当失谐参量过大时, 腔内光场会演化为直流分布. 在负失谐区域, 腔内可以形成较高功率“图灵环”形式的光场. 当耦合微腔没有发生频率失谐, 或者失谐参量接近0时, 腔内只能形成混沌形式的光场分布. 当耦合微腔内激发出光孤子后, 通过选取合适的失谐参量和抽运功率, 可在腔内维持稳定的亮孤子. 此外还可通过继续调谐第一个微腔的失谐参量, 将亮孤子转变为低功率的“图灵环”. 理论分析结果对耦合微腔的实验研究具有重要意义.
编辑推荐
2020, 69 (18): 184209.
doi:10.7498/aps.69.20200466
摘要 +
采用改进的化学气相沉积工艺结合溶液掺杂法制备了掺Tm3+石英光纤预制棒, 并拉制成纤芯/包层尺寸约为25/400 μm的双包层掺Tm3+光纤, 通过电子探针显微分析测得其中Tm2O3和Al2O3的浓度分别为2.6 wt%和1.01 wt%, 在793 nm处测得的包层吸收为3 dB/m. 基于上述大模场掺Tm3+光纤, 搭建了一个高功率全光纤主振荡功率放大结构的掺Tm3+光纤激光器, 窄线宽掺Tm3+种子源经过一级放大后, 最高输出功率达到530 W, 对应的斜率效率为50%, 输出激光的中心波长为1980.89 nm. 实验中没有观察到明显的放大自发辐射和非线性效应, 输出功率仅受限于抽运功率. 该结果为目前国内2 μm波段全光纤结构激光器实现的最高输出功率, 验证了国产掺Tm3+石英光纤在高功率系统中的可靠性.
编辑推荐
2020, 69 (18): 184213.
doi:10.7498/aps.69.20200575
摘要 +
以金纳米棒垂直阵列(gold-nanorods vertical array, GVA)为衬底, SiO2为隔离层, 构建GVA@SiO2@NaYF4:Yb3+/Er3+纳米复合结构. 在近红外980 nm激发下, 通过改变中间隔离层SiO2的厚度, 研究GVA对NaYF4:Yb3+/Er3+纳米晶体上转换发光的调控规律. 实验结果表明, 当SiO2层的厚度增大至8 nm时, Er3+离子整体的上转换发射强度增大近8.8倍, 且红光强度增强尤为明显, 约为16.2倍. 为了进一步证实GVA对Er3+离子红光发射的增强效果, 以红光发射为主的NaYF4:40%Yb3+/2%Er3+纳米晶体为对象展开研究, 发现Er3+离子红绿比由1.84增加到2.08, 证实该复合结构更有利于提高红光的发射强度. 通过对其光谱特性、发光动力学过程的研究并结合其理论模拟, 证实了上转换发光的增强是由激发与发射增强共同作用, 而激发增强占据主导地位. 采用该套复合体结构实现上转换荧光发射的增强, 不仅有效地利用了贵金属的等离激元共振特性, 而且对深入理解等离激元增强上转换发光的物理机理提供理论依据.
编辑推荐
2020, 69 (18): 184214.
doi:10.7498/aps.69.20200538
摘要 +
利用光子晶体的自准直效应和能带特性, 设计了一种能实现宽频带光波非对称传输的二维光子晶体异质结构. 该结构实现宽频带、高正向透射、非偏振选择的非对称传输. 横电(transverse electric, TE)偏振光非对称传输波长带宽可达532 nm, 在光通信波长1550 nm处正向透射率和透射对比度分别可达0.693和0.946; 横磁(transverse magnetic, TM)偏振光非对称传输波长带宽为128 nm, 在光通信波长1550 nm处正向透射率和透射对比度分别可达0.513和0.972; 通过进一步优化异质结界面, 在TE偏振光下非对称传输波长带宽可达562 nm.
2020, 69 (18): 184215.
doi:10.7498/aps.69.20200577
摘要 +
超振荡平面透镜(super-oscillatory lens, SOL)是近几年出现的新型平面光学元件, 基于矢量角谱理论设计了振幅型和相位型SOL, 采用时域有限差分法对衍射聚焦光场进行严格电磁仿真计算, 研究发现: 当照明激光束腰半径w0小于SOL半径a时, 超衍射极限聚焦能力明显下降, 聚焦光斑强度衰减超过50%; 束腰半径w0对相位型SOL影响更剧烈, 且会发生显著正向焦移; 当w0不小于2a时可获得接近理想的聚焦特性. 倾斜照明条件下, 大数值孔径振幅型SOL一般允许的倾斜角度小于10°, 而相位型SOL具有宽广的倾角适应性(可超过40°), 聚焦光斑会发生横向展宽, 且强度急剧下降. 大数值孔径SOL对无限远点物成像会产生显著的负畸变和波动变化的场曲, 小数值孔径SOL在宽视场范围内则无畸变. 本文研究结果为SOL在超衍射极限聚焦、超分辨显微成像、飞秒激光直写微纳加工等领域的实际应用提供重要理论支撑.
2020, 69 (18): 184217.
doi:10.7498/aps.69.20200385
摘要 +
提出并验证了一种高灵敏度复合环形腔结构的激光拍频位移传感技术方案. 该方案采用环形腔复合直腔的谐振腔结构, 利用激光拍频传感原理实现传感系统信号的解调. 该结构通过掺饵光纤放大器提供增益, 采用光纤布拉格光栅作为传感头兼直腔反射镜, 利用π相移光栅进行窄带滤波. 理论分析结果表明激光拍频频率随传感头应变的增加线性减小; 实验结果显示, 当监测频率为1.7483 GHz时, 传感器的灵敏度达到了86.19 kHz/mm, 线性拟合度为0.9973, 最小可分辨位移为10 μm左右, 该系统同时具有空间位置分辨的潜力. 结果表明所提出的新型位移传感方案是可行的, 结构紧凑、简单实用、灵敏度高, 为将来实现高精度、微型化以及分布式传感系统打下基础.
2020, 69 (18): 184301.
doi:10.7498/aps.69.20200381
摘要 +
声空化实验中经常观察到由许多空化气泡组成的各种泡群结构. 本文利用气泡群及群内任一气泡的 Rayleigh-Plesset 方程并结合van der Waals型过程方程, 研究了不同类型气泡组成的混合泡群中的气泡半径、泡内温度和群内压力脉冲变化规律, 得到以下结果: 相同尺寸相同气体气泡和相同尺寸不同气体气泡组成的两种泡群中气泡所含的不同气体对泡内温度有较明显的影响, 但对气泡半径变化和群内压力脉冲峰值的影响较小; 不同尺寸相同气体气泡和不同尺寸不同气体气泡组成的两种混合泡群中, 随着大气泡数的增多, 大小气泡内温度开始快速下降, 之后大泡内温度逐渐趋近于纯大气泡组成泡群的泡内温度, 小泡内温度逐渐趋近于许多大泡辐射作用下的单一小气泡泡内温度; 气泡崩溃时产生的压力脉冲峰值, 先急剧减小到拐点, 之后平稳增加并逐渐趋近于纯氩气大气泡和纯氦气大气泡组成泡群内的压力脉冲峰值; 群内大气泡数占比对泡群空化特性有重要影响, 只有大气泡数占比达到一定值后泡群中才能出现不同尺寸气泡同时崩溃的现象.
编辑推荐
2020, 69 (18): 184302.
doi:10.7498/aps.69.20200804
摘要 +
为了有效改善二维工具头辐射面振幅分布不均匀的问题, 对二维超声塑料焊接系统进行了优化设计研究: 首先, 利用横向位错在大尺寸长条形工具头上构造近周期声子晶体同质位错结, 调节带隙的宽度和位置, 使得二维超声塑料焊接系统的工作频率位于工具头的横向振动的带隙内, 进而有效地控制工具头X方向的横向振动; 其次, 利用近周期声子晶体斜槽结构进一步优化辐射面的振幅分布均匀度, 并分析了斜槽结构参数对超声塑料焊接系统纵向共振频率和振幅分布均匀度的影响规律. 模拟仿真结果表明, 近周期声子晶体同质位错结和斜槽结构能够实现对二维超声塑料焊接系统的优化, 为横向振动抑制理论的进一步研究提供了基础.
2020, 69 (18): 184701.
doi:10.7498/aps.69.20200363
摘要 +
基于理想磁流体动力学方程组, 采用CTU (corner transport upwind) + CT (constrained transport)算法, 数值研究了磁场控制下R22气柱界面Richtmyer-Meshkov不稳定性的演化过程. 结果描述了平面激波冲击气柱界面过程中激波结构和界面不稳定性的发展; 无磁场时, 流场结构与Haas和Sturtevant (Hass J F, Sturtevant B 1987J. Fluid Mech.18141)的实验结果相符; 施加纵向磁场后, 激波结构的演化基本无影响, 但明显抑制了气柱界面的不稳定性. 进一步研究表明, 激波与界面的作用, 使磁感线在界面上发生折射, 改变流场的磁场梯度, 在内外涡量层上形成磁张力. 磁张力的形成, 对界面流体产生一个与速度剪切相反的力矩, 抑制了界面的失稳及主涡的卷起. 另外, 磁张力沿界面分布的不均匀, 改变磁感线在界面上的聚集程度, 放大磁能量, 最终增强磁场对气柱界面不稳定性的抑制作用.
2020, 69 (18): 184702.
doi:10.7498/aps.69.20200562
摘要 +
采用外部高温气体加热的方式研究了超声悬浮甲醇液滴的声致破碎雾化现象, 利用高速摄像手段记录并实验研究了不同直径液滴不同的破碎雾化特性. 结果表明: 超声悬浮液滴在高温气流吹扫后可发生边缘喷射雾化现象. 破碎方式包含边缘溅射、液膜割裂和法向溅射三类. 直径D0较小的液滴直接从赤道面开始边缘溅射直至完全雾化; 等效直径D0> 2.8 mm的液滴, 在产生边缘溅射后, 剩余液核弯曲形成液膜, 其表面产生法拉第波, 使得液膜割裂破碎; 而D0> 3.2 mm的液滴, 在变形过程中逐渐形成“碗状”空腔, 并在其底部的法向方向产生溅射, 同时开始液膜割裂的离散化解体过程并伴随着边缘溅射, 直至完全雾化. 这种声致液滴雾化现象丰富了多物理场耦合作用下的流体理论, 可为相关应用研究提供新思路.
2020, 69 (18): 184703.
doi:10.7498/aps.69.20200546
摘要 +
针对基于声学理论的管道气泡检测技术面临的声波作用下的气泡相互作用机理问题, 本文基于自由气泡Rayleigh-Plesset模型, 通过引入次Bjerknes辐射力, 构建能够考虑管道轴向气泡分布的可压缩性双气泡动力学模型. 利用四阶龙格库塔方法开展数值计算, 对比分析了不同激励声波频率与幅度作用下自由气泡与双气泡模型引起的气泡动力学特征的区别. 同时对比了液体可压缩与不可压缩假设引起的气泡动力幅频响应的区别, 表明可压缩假设下的次Bjerknes辐射力引起气泡发生受迫振动, 不改变气泡的线性共振特征; 而不可压缩假设引起气泡间发生强耦合, 从而改变气泡系统的线性共振特征. 气泡距离直接影响次Bjerknes辐射力大小, 导致气泡动力学趋向于非线性振动, 与线性振动的频谱特征差别明显. 气泡轴向位置的变化引起外界激励声波的变化, 从而改变气泡的初始振动特征. 初始特征的差异与次Bjerknes辐射力发生耦合作用, 影响气泡动力学特征, 甚至发生非线性振动. 研究表明, 小气泡在共振的情况下, 与次Bjerknes辐射力发生耦合作用, 使得双气泡系统更容易趋向于非线性特征; 而大气泡则能够较好地保持线性共振状态.
气体、等离子体和放电物理
2020, 69 (18): 185201.
doi:10.7498/aps.69.20200636
摘要 +
SF6作为气体绝缘介质广泛应用于气体绝缘设备中, 其电弧等离子体得到广泛研究, 但对SF6电弧等离子体时间分辨光谱特性的研究还未见报道. 本文在SF6环境中利用飞秒激光自聚焦产生的光丝引导高压放电, 诱导产生SF6等离子体; 利用光谱系统采集300—820 nm波长范围内的SF6等离子体光谱, 对光谱谱线开展了识别和归属研究, S和F谱线主要分布在300—550 nm和600—800 nm波段, 分析认为S和F原子主要由SF6被高能电子碰撞直接或间接产生, S离子由S原子被高能电子撞击产生. 给出了SF6等离子体的时间分辨光谱, 等离子体光谱强度先增大后减弱, 均由带状光谱和分立光谱叠加而成, 带状光谱主要是由轫致辐射和复合辐射共同作用导致, 基于时间分辨光谱得到了部分S和F的荧光寿命. 给出了电子温度和电子密度随时间的演化规律, 二者演化规律基本相同, 且都随延迟时间呈指数衰减. 最后, 利用Mc Whirter准则得到SF6等离子体处于局部热平衡. 研究结果对于开展SF6分解机理和高压设备运行状态在线监测技术研究具有重要意义.
凝聚物质:结构、力学和热学性质
2020, 69 (18): 186801.
doi:10.7498/aps.69.20200463
摘要 +
操作液滴是液体介质微操作机器人的先决条件, 研究单指微执行器端面冷凝液滴的迁移特性, 对操作液滴的稳定获取具有重要指导意义. 首先分析基于冷凝液滴的微构件柔顺操作原理, 推导作用于微球上的液桥力方程. 建立单指微执行器端面的冷凝液滴生长模型, 包括单液滴生长、液滴合并、温度诱导和边缘滞后, 分析影响端面冷凝液滴迁移的因素. 直径130—400 μm单指微执行器的端面冷凝实验表明, 冷凝液滴经过生长合并后, 在端面形成单个液滴, 温度梯度和边缘效应会影响所形成液滴的稳定性. 在制冷片表面温度–5 ℃, 环境温度24 ℃, 湿度37%的条件下, 直径400 μm的疏水执行器末端最终获取5.5 nL的液滴, 且固着在端面. 相对于未处理执行器, 疏水处理后的微执行器末端的冷凝液滴更稳定. 实验结果验证了理论分析的有效性.
凝聚物质:电子结构、电学、磁学和光学性质
2020, 69 (18): 187701.
doi:10.7498/aps.69.20200544
摘要 +
超声探头是高端医学超声诊疗设备的核心元件, 由弛豫型铁电单晶制备的新型压电器件可显著提高其性能. 由于高阵元密度阵列技术与微机电系统迅速发展, 传统切割填充法刀缝过宽, 难以降低阵元尺寸, 无法提高阵元密度, 更不利于高分辨率及高频率的应用需求. 采用紫外光刻-深反应离子刻蚀工艺的微机械制备方法, 可以降低缝宽、提升阵列密度. 制备了基于新型、高性能弛豫铁电单晶—Mn离子掺杂0.3Pb(In1/2Nb1/2)O3-0.4Pb(Mg1/3Nb2/3)O3-0.3PbTiO3(Mn-PIMNT)的微米尺度压电阵列. 研究了紫外光刻工艺参数、深反应离子刻蚀工艺参数对压电阵列形貌的影响规律, 得到了不同沟道深度与不同压电阵元形状的形成机制以及Mn-PIMNT单晶的刻蚀速率与天线功率、偏置功率及刻蚀气体比例之间的关系规律. 得到压电阵列阵元尺寸小于10 μm, 沟槽深度大于20 μm, 沟槽宽度小于5 μm, 侧壁角度高于87°. 通过压电力显微镜研究了微米尺度压电阵元的铁电畴结构及电场效应调控. 与传统切割填充法相比, 本文的加工方法不存在刀缝过宽, 可确保单晶晶向, 促进了高频率压电单晶复合材料、高密度超声换能器阵列以及新型压电微机械系统的发展.
物理学交叉学科及有关科学技术领域
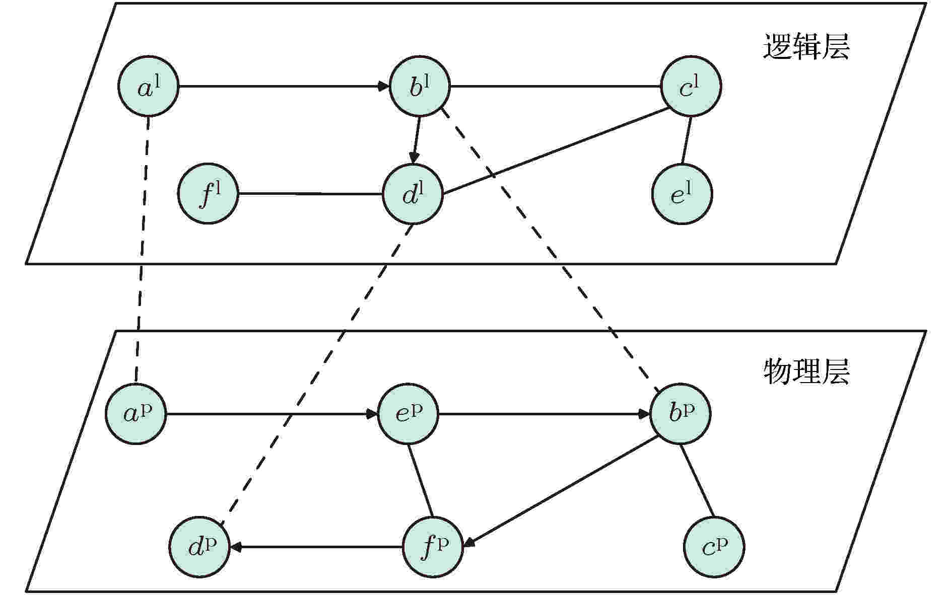
2020, 69 (18): 188901.
doi:10.7498/aps.69.20200181
摘要 +
为了降低网络拥塞, 提升网络传输性能, 对双层网络之间的耦合机理进行研究, 层间关系依据度度相关性分成三种耦合方式: 随机耦合、异配耦合、同配耦合. 在基于最短路径路由策略和基于度的权重路由策略条件下, 分析网络数据包的传输过程, 并研究双层网络的耦合方式及其适合的路由策略对网络传输容量的影响. 采用双层无标度网络进行仿真实验, 分析在路由策略约束下传输容量和耦合方式之间的关系, 依据双层网络之间耦合方式的特点, 找出适合每一种路由策略的最佳耦合方式以提升网络的传输容量. 经过仿真发现, 采用最短路径路由策略时, 异配耦合方式最佳; 采用基于度的静态权重路由策略时, 同配耦合方式最佳. 路由策略在匹配的耦合方式下使得网络流量分配均匀, 有利于网络传输容量的提升. 本研究为实际网络设计和传输性能优化提供了理论基础.
地球物理学、天文学和天体物理学
2020, 69 (18): 189201.
doi:10.7498/aps.69.20200374
摘要 +
利用闪电甚高频干涉仪动态成像结果, 并结合通道底部电流、电场和光学观测资料对一次罕见的、对地转移电荷极性反转两次的双极性人工引发雷电放电特征进行了详细研究, 首次观测到直接导致极性反转的云内击穿放电过程, 探讨了对地转移电荷极性两次反转的物理机理. 结果发现, 此次闪电无回击过程、初始连续电流阶段对地转移电荷极性经历了负-正-负的两次反转, 转移电荷量分别约–40.0 C, +13.3 C和–1.0 C. 负极性初始连续电流衰减过程中, 一支击穿空气的负先导起始于已电离的正先导分支通道上并形成悬浮通道, 水平发展28.816 ms后, 接地主通道上发生负极性击穿连接到了悬浮通道末端正电荷聚集处或双向发展的悬浮通道的正极性端, 随后对地转移电荷极性快速反转为正. 负先导熄灭后, 对地转移电荷极性缓慢反转为负. 击穿空气的负先导连接到接地主通道和持续发展的正先导是此次双极性闪电对地转移电荷极性发生两次反转的重要原因. 而负先导的起始, 与正先导多分支同时发展引起的先导通道和环境电势分布差异密切相关.




