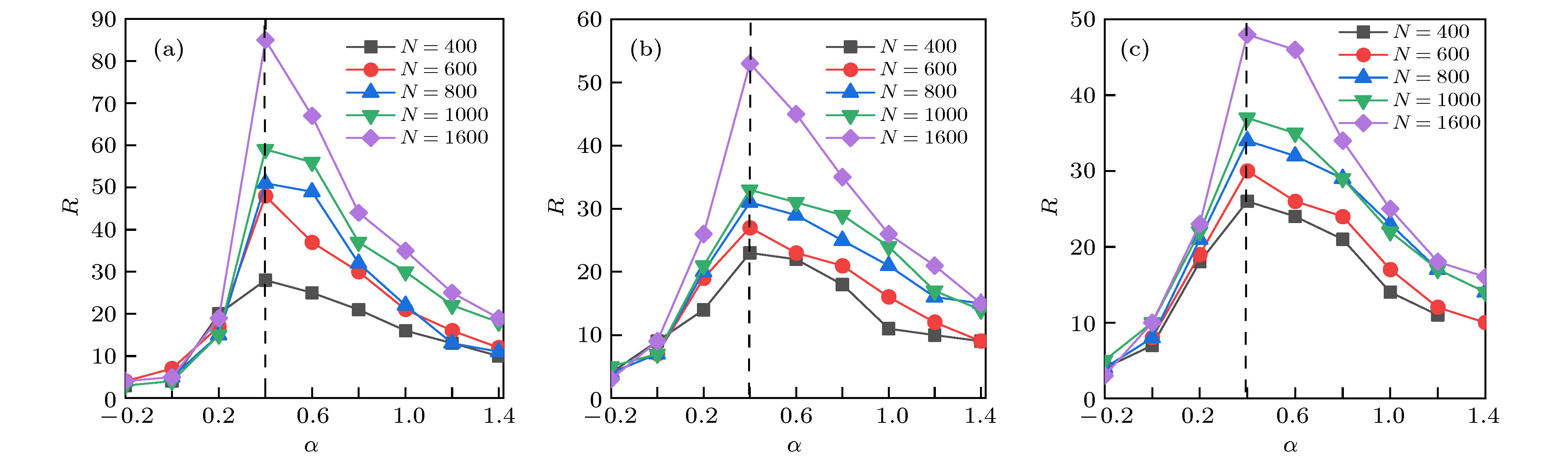
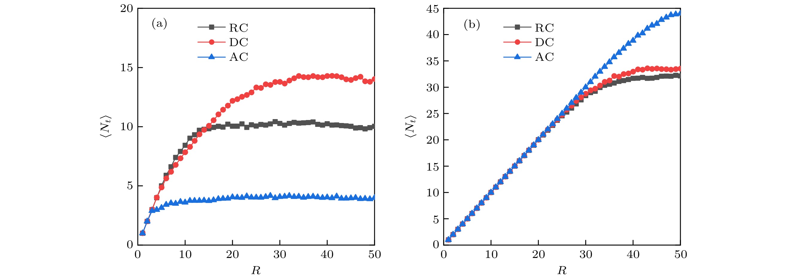
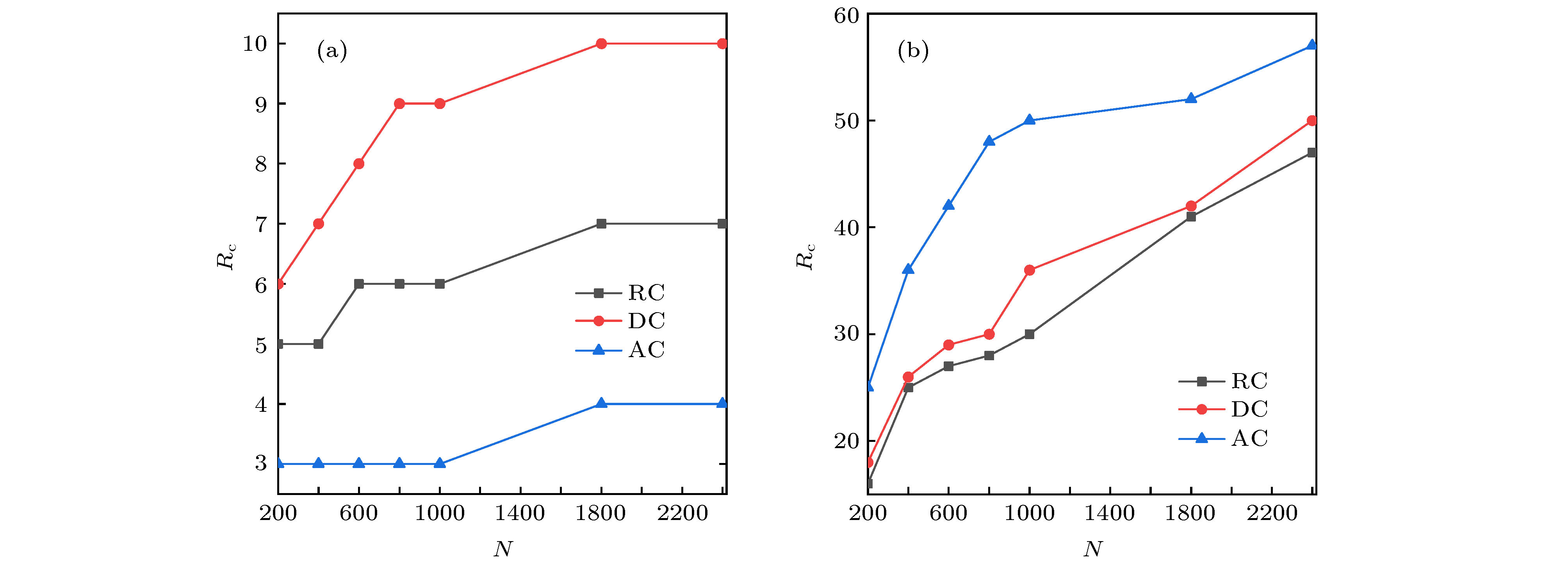
The two-layer network model offers us a new viewpoint to observe the traffic dynamics of multilayer network systems. An efficient coupling mechanism is of great importance for alleviating the traffic congestion on two-layer networks. In order to reduce the network congestion and improve network transmission performance, the coupling mechanism between two layers of network and three coupling methods, which are random coupling, disassortative coupling and assortative coupling, are studied based on degree correlation. The packet transmission process is analyzed with both the shortest path routing strategy and degree-based weight routing strategy. The influences of the coupling mode and its corresponding routing strategy on the traffic capacity of the two-layer network are studied. In this paper, two scale-free networks are used to construct the two-layer network for simulation experiments. The network scale is in a range from 200 to 2400 with the value of average degree being 8. We focus on the traffic dynamics of two-layer network, and analyze the relationship between the traffic capacity and the three coupling modes, which are random coupling, disassortative coupling and assortative coupling, under the constraints of the shortest path routing strategy and the weight-based routing strategy. According to the characteristics of the coupling connection between the two layers of network, the best coupling method which is suitable for a certain routing strategy should be investigated. The suitable coupling connection between the two layers can effectively increase the traffic capacity. Both numerical result and analytical result show that the packet generation rate, average transmission time, and average throughput can be obviously improved under the shortest path routing strategy with the disassortative coupling method. When the degree-based static weight routing strategy is used, the traffic performance parameters such as packet generation rate, average transmission time, and average throughput can reach the optimal values with the assortative coupling method. It makes the traffic flow uniform that the routing strategy is chosen with the most suitable coupling method on the two-layer network, and the network traffic capacity may be effectively enhanced. More generally, the results indicate that the coupling modes can give rise to traffic behavior that relies subtly on the routing strategy on the two-layer network. Our work may shed some light on the design and optimization of some real traffic or communication networks.