-
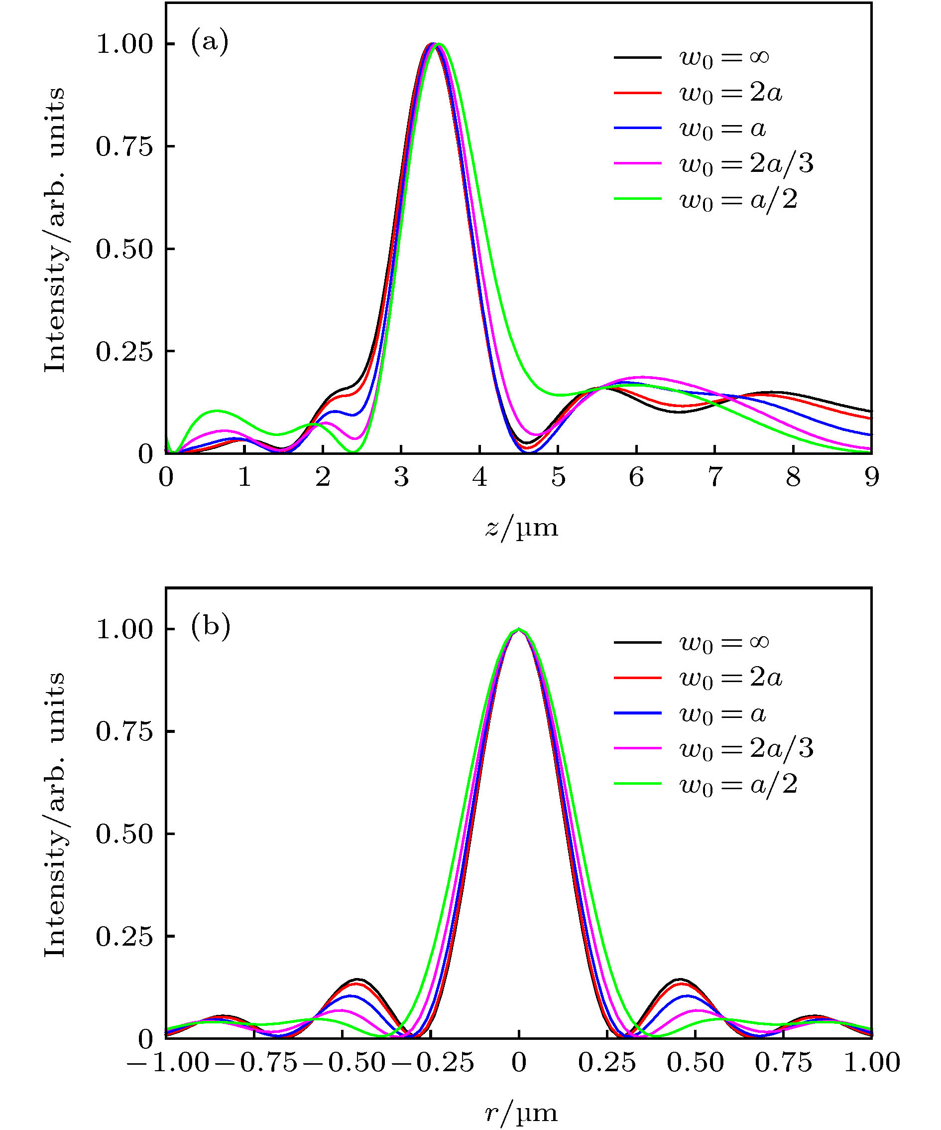
超振荡平面透镜(super-oscillatory lens, SOL)是近几年出现的新型平面光学元件, 基于矢量角谱理论设计了振幅型和相位型SOL, 采用时域有限差分法对衍射聚焦光场进行严格电磁仿真计算, 研究发现: 当照明激光束腰半径 w 0小于SOL半径 a时, 超衍射极限聚焦能力明显下降, 聚焦光斑强度衰减超过50%; 束腰半径 w 0对相位型SOL影响更剧烈, 且会发生显著正向焦移; 当 w 0不小于2 a时可获得接近理想的聚焦特性. 倾斜照明条件下, 大数值孔径振幅型SOL一般允许的倾斜角度小于10°, 而相位型SOL具有宽广的倾角适应性(可超过40°), 聚焦光斑会发生横向展宽, 且强度急剧下降. 大数值孔径SOL对无限远点物成像会产生显著的负畸变和波动变化的场曲, 小数值孔径SOL在宽视场范围内则无畸变. 本文研究结果为SOL在超衍射极限聚焦、超分辨显微成像、飞秒激光直写微纳加工等领域的实际应用提供重要理论支撑.Super-oscillatory lens (SOL), a new type of planar optical element developed in recent years, may play an important role in the integrated optics, microscopy, advanced sensor, and astronomy. Based on the vectorial angular spectrum theory and genetic algorithm, both binary amplitude-type and phase-type SOLs are designed. Various sub-diffraction focusing properties can be realized by optimizing the design procedure. In order to investigate the focusing characteristics of SOLs under different illumination conditions, rigorous electromagnetic simulation calculations of the diffracted focusing light field are implemented by the finite-difference time-domain method. The results show that when the beam waist radius w 0of the illuminating laser is less than the SOL radius a, not only the capability of super-diffraction limit focusing will decrease significantly, but also the intensity of the focal spot will attenuate by more than 50%. Comparing with the amplitude-type SOL, the waist radius w 0has a strong effect on the phase-type SOL and causes a significant focus to shift in the positive direction. However, if w 0is larger than 2 a, the ideal focusing characteristics of SOL can be maintained. Under the condition of oblique illumination, the high numerical aperture amplitude-type SOL generally only allows a small inclination angle of less than 10°, while the phase-type SOL has a wide inclination adaptability (can exceed 40°) regardless of the numerical aperture. For the latter, the focal spot will expand laterally and the intensity will decrease sharply with the increase of inclination angle. As for low numerical aperture phase-type SOL, the focusing characteristics, including focal spot size, focusing intensity and the angular position of the focus, can keep stable within an inclination angle of 18°. For imaging infinitely distant objects, the oblique illumination will produce a fluctuating field curvature and significant negative distortion for high numerical aperture SOLs, while for the low numerical aperture SOLs, the field curvature increases with inclination angle increasing and the distortion disappears almost. The research results of this paper provide an important theoretical basis for practical applications of super-oscillatory lens in the fields of sub-diffraction light focusing, super-resolution microscopic imaging, and micro-nano processing of femtosecond laser direct writing.
[1] [2] [3] [4] [5] [6] [7] [8] [9] [10] [11] [12] [13] [14] [15] [16] [17] [18] [19] [20] [21] [22] [23] [24] [25] -
SOL 类型 ∆r/μm D/μm fsol/μm NA ri/μm ti SOL1 振幅 0.2 16 3.5 0.92 [0.2, 0.4, 1.0, 1.2, 2.0, 2.2, 2.4, 2.6, 3.2,
3.6, 3.8, 4.0, 4.2, 4.6, 4.8, 5.2, 5.4,
6.0, 6.4, 6.8, 7.0, 7.4, 7.6, 8.0][0, 1, 0, 1, 0, 1, 0, 1, 0, 1, 0, 1,
0, 1, 0, 1, 0, 1, 0, 1, 0, 1, 0, 1]SOL2 相位 0.2 16 3.5 0.92 [0.2, 0.6, 1.0, 1.2, 1.6, 1.8, 2.0, 2.4,
3.0, 3.2, 4.8, 5.0, 5.4, 5.8, 6.2,
6.6, 6.8, 7.2, 7.4, 8.0][–1, 1, –1, 1, –1, 1, –1, 1,
–1, 1, –1, 1, –1, 1,
–1, 1, –1, 1, –1, 1]SOL3 相位 0.2 10 2.0 0.93 [0.473, 0.885, 1.458, 1.969, 2.382,
2.842, 3.044, 4.239, 4.745, 5.000][1, j, 1, j, 1, j, 1, j, 1, j] SOL4 相位 0.2 10 9.9 0.45 [0.268, 0.468, 1.165, 1.365, 1.734,
3.189, 3.399, 4.278, 4.792, 5.000][j, 1, j, 1, j, 1, j, 1, j, 1] SOL5 振幅 0.2 10 1.9 0.93 [0.600, 0.899, 1.915, 2.190, 2.440,
3.756, 4.076, 4.357, 4.769, 5.000][0, 1, 0, 1, 0, 1, 0, 1, 0, 1] SOL6 振幅 0.2 10 10.1 0.44 [0.300, 0.506, 1.248, 1.460, 1.660, 2.885,
3.085, 3.335, 3.755, 4.094, 4.294, 5.000][0, 1, 0, 1, 0, 1, 0, 1, 0, 1, 0, 1] -
[1] [2] [3] [4] [5] [6] [7] [8] [9] [10] [11] [12] [13] [14] [15] [16] [17] [18] [19] [20] [21] [22] [23] [24] [25]
计量
- 文章访问数:7060
- PDF下载量:89
- 被引次数:0












下载:











