-
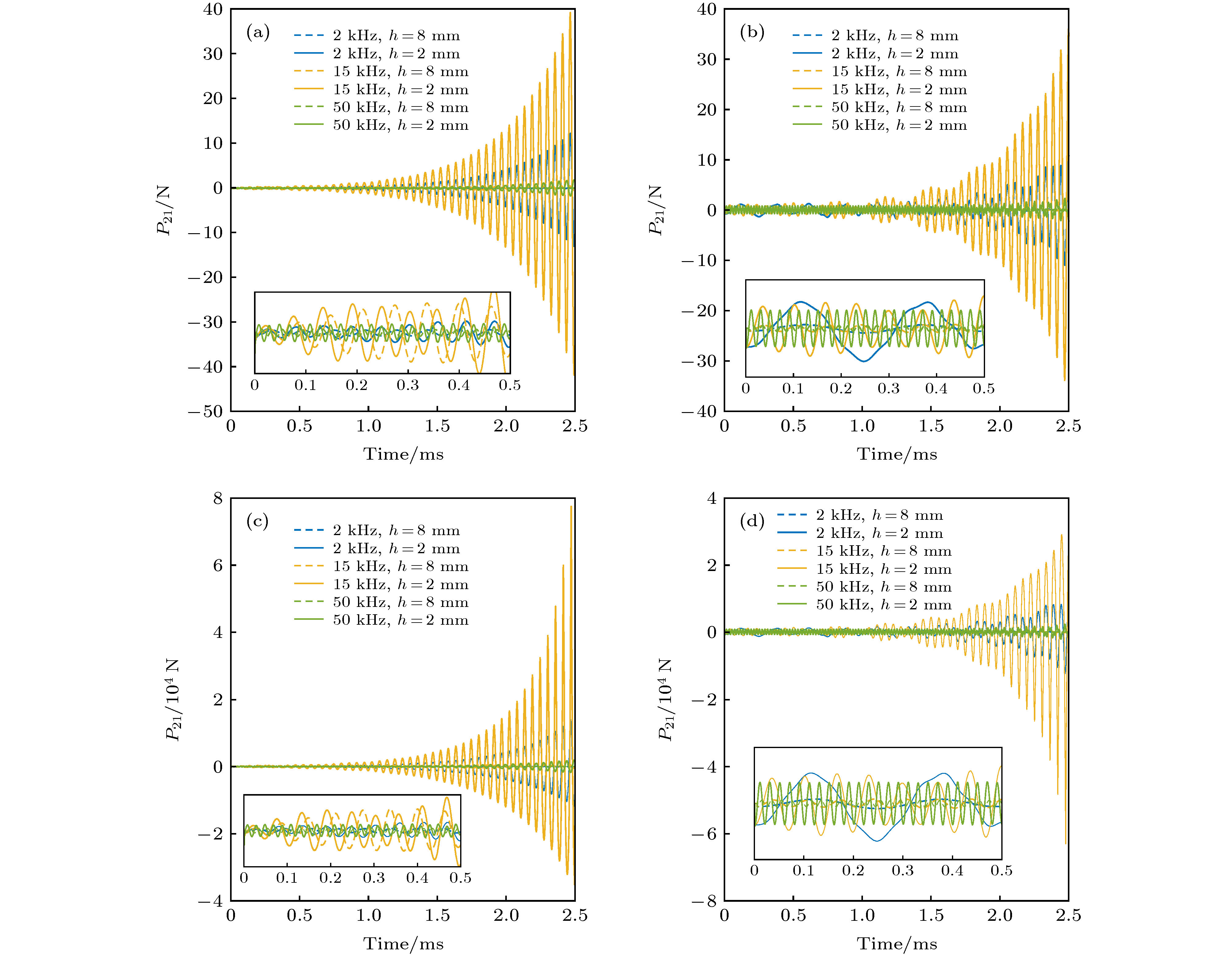
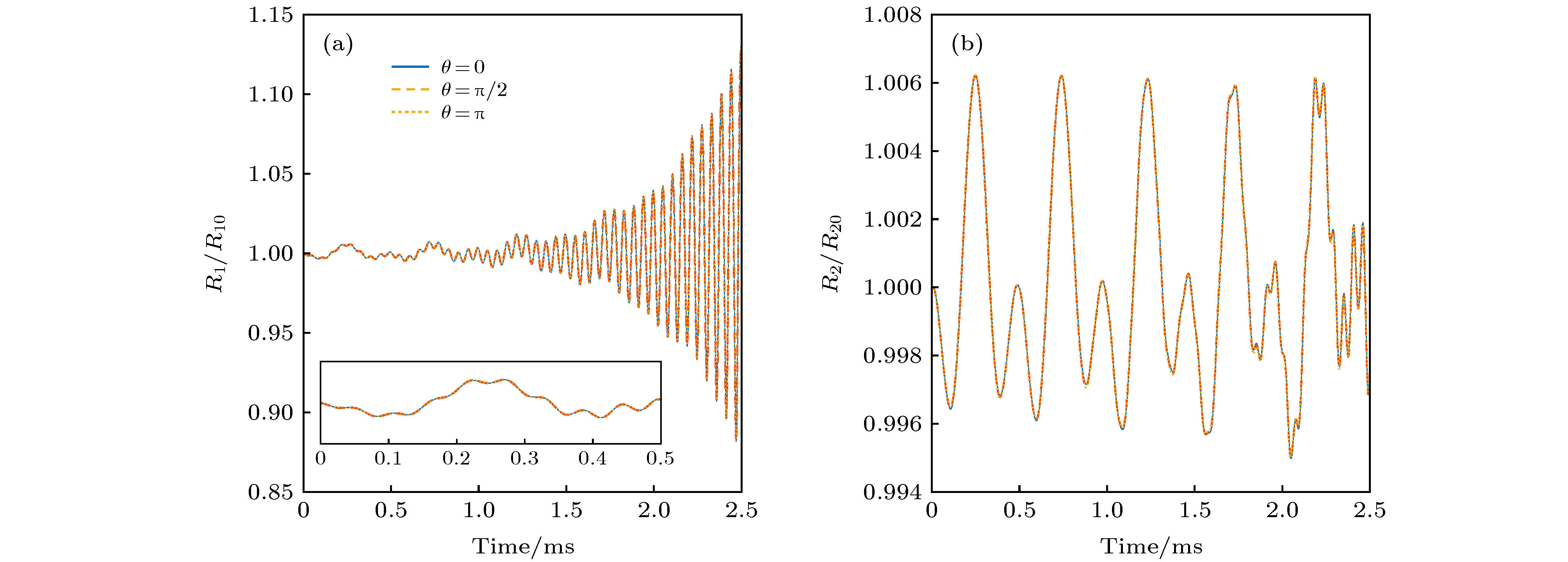
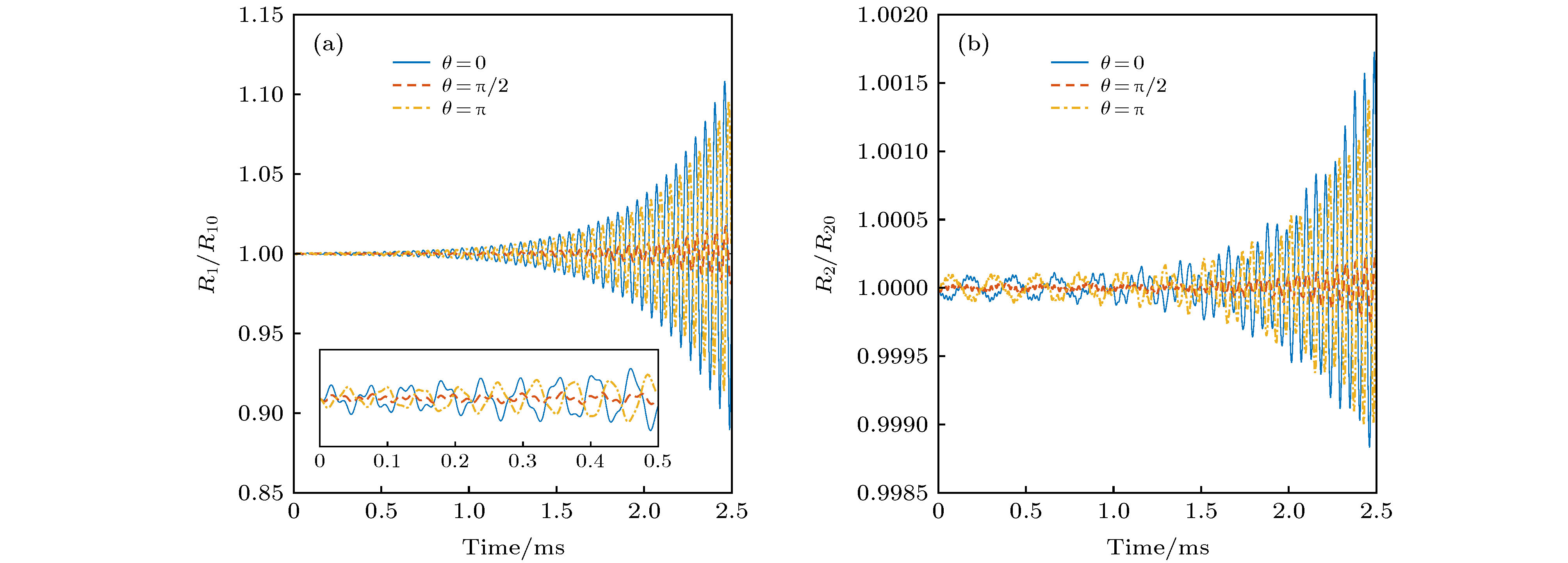
针对基于声学理论的管道气泡检测技术面临的声波作用下的气泡相互作用机理问题, 本文基于自由气泡Rayleigh-Plesset模型, 通过引入次Bjerknes辐射力, 构建能够考虑管道轴向气泡分布的可压缩性双气泡动力学模型. 利用四阶龙格库塔方法开展数值计算, 对比分析了不同激励声波频率与幅度作用下自由气泡与双气泡模型引起的气泡动力学特征的区别. 同时对比了液体可压缩与不可压缩假设引起的气泡动力幅频响应的区别, 表明可压缩假设下的次Bjerknes辐射力引起气泡发生受迫振动, 不改变气泡的线性共振特征; 而不可压缩假设引起气泡间发生强耦合, 从而改变气泡系统的线性共振特征. 气泡距离直接影响次Bjerknes辐射力大小, 导致气泡动力学趋向于非线性振动, 与线性振动的频谱特征差别明显. 气泡轴向位置的变化引起外界激励声波的变化, 从而改变气泡的初始振动特征. 初始特征的差异与次Bjerknes辐射力发生耦合作用, 影响气泡动力学特征, 甚至发生非线性振动. 研究表明, 小气泡在共振的情况下, 与次Bjerknes辐射力发生耦合作用, 使得双气泡系统更容易趋向于非线性特征; 而大气泡则能够较好地保持线性共振状态.
-
关键词:
- 气泡动力学/
- 次Bjerknes力/
- 可压缩流体/
- 气泡检测
Acoustically-excited bubble dynamics is the foundation of pipeline bubble detection based on acoustic technology. Due to the existence of multiple bubbles in pipeline flow, the Bjerknes forces among arbitrary bubbles under acoustic excitation may enforce bubble-bubble interaction and then change the features of bubble dynamics. Based on traditional free bubble’s Rayleigh-Plesset (R-P) model, this paper tries to establish bubble-bubble interaction model in consideration of the second Bjerknes force and bubble distribution in the pipeline axial direction. Meanwhile, the influence of finite wave speed in compressible fluid is considered. The proposed model is numerically calculated by the fourth-order Runge-Kutta method. Firstly, the differences in bubble feature between the free bubble’s R-P model and bubble-bubble interaction model are compared under excitation with different frequencies and amplitudes. Results show that the differences in bubble dynamics are minor when the bubble’s distance is large enough. When the bubble’s distance is fixed, the differences are significant on condition that the frequency of acoustic excitation is nearly the resonant frequency of bubbles. Secondly, through establishing compressible model and incompressible fluid model, we compare the differences between the two models. Numerical calculations show that the second Bjerknes force under the compressible assumption acts as an external force and forces the bubble to vibrate. On the other hand, the second Bjerknes force under the incompressible assumption changes the dynamics of bubble-bubble interaction as well as the resonant features. Finally, we study the effect of bubble-bubble distance and bubble’s axial position on bubble vibration characteristics. The bubble-bubble distance affects the second Bjerknes force and may lead the bubbles to vibrate nonlinearly. The bubble’s axial position changes the phase of external acoustic force and leads to the difference in initial vibration feature. When this difference is coupled with the second Bjerknes force, the bubble-bubble interaction may be changed even into nonlinear vibration, leading the bubble’s oscillation spectrum to differ from linear vibrations significantly. These results demonstrate that the resonant state of a small bubble may be converted into nonlinear vibration state if the second Bjerknes force is present. On the other hand, the resonant state of a large bubble can keep linear vibration when the second Bjerknes force is not obvious.[1] [2] [3] [4] [5] [6] [7] [8] [9] [10] [11] [12] [13] [14] [15] [16] [17] [18] [19] [20] [21] [22] [23] [24] [25] [26] -
[1] [2] [3] [4] [5] [6] [7] [8] [9] [10] [11] [12] [13] [14] [15] [16] [17] [18] [19] [20] [21] [22] [23] [24] [25] [26]
计量
- 文章访问数:6003
- PDF下载量:80
- 被引次数:0












下载:







