-
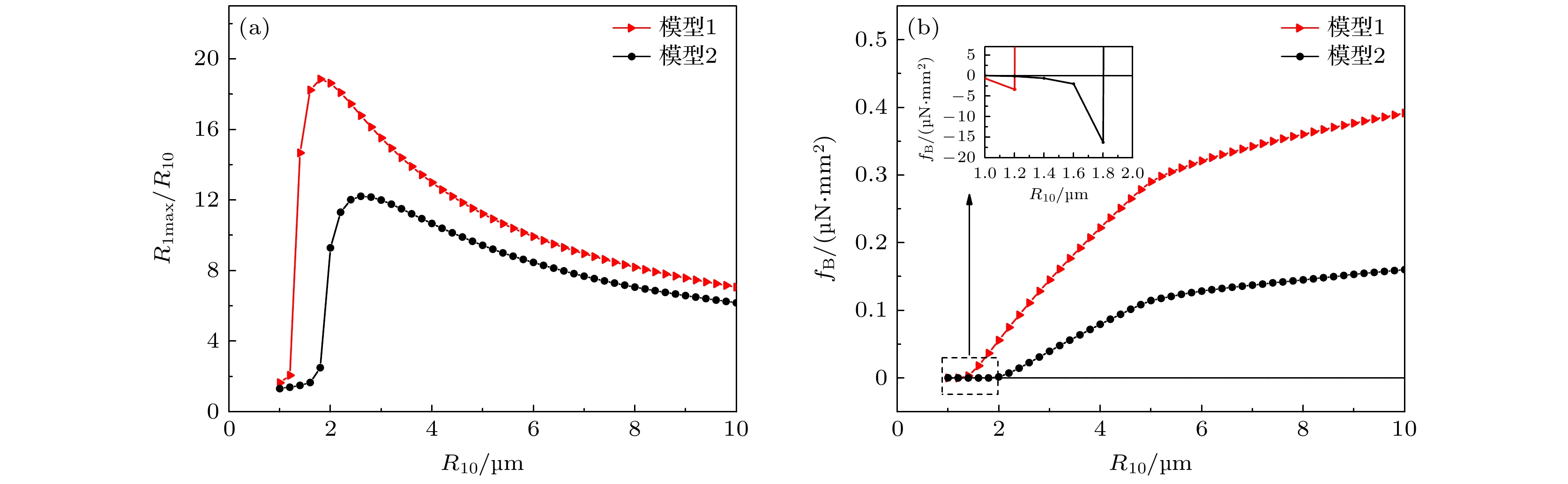
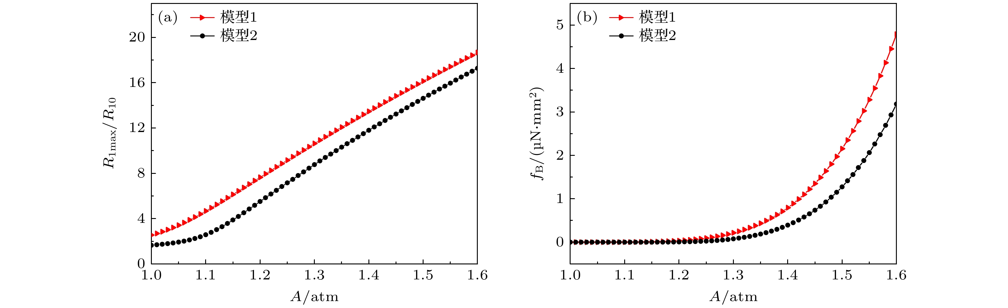
利用修正的Keller-Miksis方程与Noble-Abel-Stiffend-Gas状态方程相结合的模型, 研究了超声作用下具有传质传热及扩散效应的双气泡间的相互作用, 并与Mettin等[Mettin R, Akhatov I, Parlitz U, Ohl C D, Lauterborn W 1997 Phys. Rev. E 562924]给出的没有传质传热及扩散效应的双气泡间的相互作用进行了比较. 结果表明, 具有传质传热及扩散效应的双气泡间的次Bjerknes力和气泡归一化最大半径都大于没有传质传热及扩散效应的双气泡的相应量. 随着其中一个气泡的初始半径的增大和驱动声压的增大, 两种情况给出的次Bjerknes力的差别逐渐增大, 而随着驱动频率的增大, 两种情况给出的次Bjerknes力的差别逐渐减小. 由此可见, 传质传热和扩散效应对空化气泡间相互作用的次Bjerknes力具有重要影响.
-
关键词:
- 空化双泡/
- 次Bjerknes力/
- 传质传热效应/
- 扩散效应
In this paper, the interaction between the two bubbles with the effects of mass transfer, heat transfer and diffusion was investigated under ultrasonic action by using the model combining the modified Keller-Miksis equation with Noble-Abel-Stiffend-Gas equation of state. The maximum normalized radius of cavitation the bubbles and the secondary Bjerknes force (coefficient) of the interaction between the bubbles are calculated respectively, and compared with the maximum normalized radius of the bubbles and the secondary Bjerknes force (coefficient) in the two bubbles system without the effects of mass transfer, heat transfer and diffusion given by Mettin et al [Mettin R, Akhatov I, Parlitz U, Ohl C D, Lauterborn W 1997 Phys. Rev. E 562924]. The results show that the maximum normalized radius of the bubbles and the secondary Bjerknes forces between the bubbles are larger in the two bubbles system with the effects of mass transfer, heat transfer and diffusion than in the two bubbles system without the effects of mass transfer, heat transfer and diffusion. The main reason for this result is that the effects of mass transfer, heat transfer and diffusion can increase the amount of gas contained in the cavitation bubble. With the increase of the initial radius of a certain the bubble in the two bubbles system, the secondary Bjerknes force will increase and the difference between the secondary Bjerknes forces in the two cases will gradually increase. With the increase of the driving sound pressure amplitude, the secondary Bjerknes force will also increase and the difference between the secondary Bjerknes forces in the two cases will also gradually increase. With the increase of the driving frequency, the secondary Bjerknes force will decrease and the difference between the secondary Bjerknes forces in the two cases will also gradually decrease. Therefore, the effects of mass transfer, heat transfer and diffusion have a significant effect on the secondary Bjerknes force of the interaction between cavitation the bubbles, which is an important factor that cannot be ignored. The research results of this article have positive significance for further understanding of the secondary Bjerknes force of the interaction between the two bubbles under ultrasonic action.-
Keywords:
- cavitation two bubbles/
- secondary Bjerknes force/
- mass transfer and heat transfer effect/
- diffusion effect
[1] [2] [3] [4] [5] [6] [7] [8] [9] [10] [11] [12] [13] [14] [15] [16] [17] [18] [19] [20] [21] [22] [23] [24] [25] [26] [27] [28] [29] [30] [31] -
参数 值 单位 液体密度 $ \rho_{0} $ 998 $ \mathrm{kg{\cdot} m^{-3}} $ 黏性系数μ 0.001 $ \mathrm{Pa{\cdot} s} $ 表面张力σ 0.0725 $ \mathrm{N{\cdot} m^{-1}} $ 环境温度 $ T_{\mathrm{0}} $ 300 $ \mathrm{K} $ 液体热容比 $ \gamma_\mathrm{l} $ 1.19 $ - $ 液体热容 $ C_\mathrm{V, l} $ 3610 $ \mathrm{J{\cdot} kg^{-1} {\cdot} K^{-1}} $ 饱和蒸汽压 $ P_\mathrm{v} $ $ 2.3381\times 10^{3} $ $ \mathrm{Pa} $ 液体分子共体积 $ b_\mathrm{l} $ $ 6.7145\times 10^{-4} $ $ \mathrm{m^3{\cdot} kg^{-1}} $ 液体压力常数 $ B_\mathrm{l} $ $ 6.2239\times 10^8 $ $ \mathrm{Pa} $ 气体压力常数 $ B_\mathrm{g} $ 0 $ \mathrm{Pa} $ 气体摩尔质量 $ M_{\mathrm{H_{2}O}} $ 0.018 $ \mathrm{kg{\cdot} mol^{-1}} $ 气体摩尔质量 $ M_{\mathrm{Ar}} $ 0.04 $ \mathrm{kg{\cdot} mol^{-1}} $ 阿伏伽德罗常数 $ N_{\mathrm{A}} $ $ 6.023\times 10^{23} $ $ \mathrm{mol^{-1}} $ 玻尔斯曼常数 $ k_{\mathrm{B}} $ $ 1.38\times 10^{-23} $ $ \mathrm{J{\cdot} K^{-1}} $ 环境压力 $ P_{\mathrm{0}} $ $ 10^{5} $ $ \mathrm{Pa} $ 气泡间距 $d_{ij}$ $ 10^{-3} $ $ \mathrm{m} $ 参数 值 单位 液体密度 $ \rho_{0} $ 998 $ \mathrm{kg{\cdot} m^{-3}} $ 黏性系数μ 0.001 $ \mathrm{Pa{\cdot} s} $ 表面张力σ 0.0725 $ \mathrm{N{\cdot} m^{-1}} $ 环境压力 $ P_{\mathrm{0}} $ $ 1\times 10^{5} $ $ \mathrm{Pa} $ 气体热容比 $ \gamma_\mathrm{g} $ 1.67 $ - $ 液体中的声速 $ C_\mathrm{l} $ 1500 $ \mathrm{m{\cdot} s^{-1}} $ 气泡间距 $d_{ij}$ $ 1\times 10^{-3} $ $ \mathrm{m} $ -
[1] [2] [3] [4] [5] [6] [7] [8] [9] [10] [11] [12] [13] [14] [15] [16] [17] [18] [19] [20] [21] [22] [23] [24] [25] [26] [27] [28] [29] [30] [31]
计量
- 文章访问数:1826
- PDF下载量:49
- 被引次数:0












下载:


