In recent years, low-dimensional nanostructures such as quantum dots (QD) and quantum rings (QR) have been widely used in many fields such as optoelectronics, microelectronics and quantum communication due to their unique electrical, optical and magnetic properties. Owing to the similarity between nanostructures and atomic systems, the flexible modulation of several quantum properties of nanomaterials and the preparation of new optoelectronic devices around the characteristics of these structural systems have become a hot topic of research. Changing the growth process to control and tune the atomic diffusion mechanism in droplets is a key way of preparing complex nanostructures, which is important for the study of semiconductor nanostructure by droplet epitaxy. In the present experiment, the same amount (5 monolayer (5 ML)) of indium is deposited on GaAs (001) at different substrate temperatures (140, 160, 170 and 180 ℃) and different arsenic pressures (1.6, 3.3 and 4.6 ML/s), and the surface morphology evolutions are observed. As the substrate temperature increases, the radius of the disk gradually expands and a pit appears in the center of the diffusion disk. As the arsenic pressure increases, the density of the formed droplets increases, and the width of the diffusion disk formed in the center of the droplets gradually decreases. Our work involving nucleation theory is done at
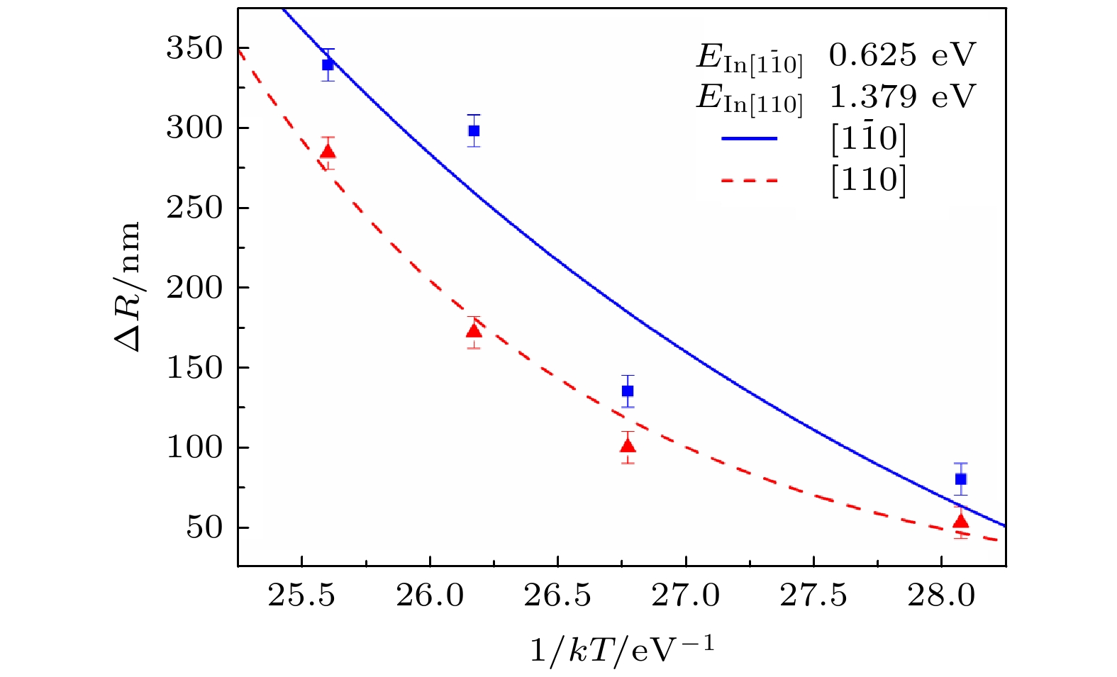
T< 200 ℃ to deactivate many thermal processes. This is a result of the diffusion coefficient being more complexly related to temperature. Based on the classical nucleation diffusion theory, the results of experimental data fitting include that the diffusion activation energies of In atoms on the surface of GaAs (001) are (0.62 ± 0.01) eV in
$ [1\bar 10] $
and (1.37 ± 0.01) eV in [110] respectively, and that the diffusion coefficient
D
0is 1.2 × 10
–2cm
2/s:those results confirm the theory after having been compared with the results obtained by other research groups. The diffusion activation energy of indium atoms and the diffusion mechanism of indium droplets on GaAs (001) obtained from the experiment can provide experimental guidance for modulating the structural property of InAs nanostructures.