-
太赫兹电磁波辐照, 包括其短波段红外波辐照, 因具有无创和非电离特性在生物科学中展现出广泛和重要的应用前景. 细胞膜是生物细胞保持完整性和内稳态的重要生物屏障, 也是太赫兹辐照时电磁场首先作用到的细胞结构, 细胞膜对电磁场的响应是大部分太赫兹生物效应产生的机理. 本文首先论述了太赫兹辐照应用的安全性及其在生命医药、神经调节以及人工智能领域中应用的新前景, 然后从太赫兹电磁辐照下磷脂膜的介电响应特性、细胞膜离子通道蛋白的离子跨膜输运、磷脂膜上大分子及离子的跨膜输运、以及太赫兹辐照下细胞膜生物效应的潜在应用和作用四方面, 对太赫兹电磁辐照下细胞膜生物效应领域的研究发展进行系统论述, 同时介绍了太赫兹电磁辐照时能够开启细胞膜上压控钙离子通道、压控钾离子通道和主动运输的钙离子通道、以及在磷脂膜上产生亲水孔等科学发现. 最后, 总结并展望了太赫兹辐照下细胞膜生物效应研究的努力方向.
-
关键词:
- 红外及太赫兹辐照生物效应/
- 膜离子通道蛋白/
- 电磁场相互作用/
- 物质跨膜输运
Irradiation of terahertz electromagnetic wave including its short-wave band in infrared wave shows broad and important application prospects in biological science due to its noninvasive and nonionizing nature. Cell membrane is an important biological barrier for keeping cell integrity and homeostasis, and it is also the cellular structure that electromagnetic fields act first on in the case of terahertz irradiation. The responses of cell membrane to the electromagnetic fields are the mechanisms for most of the biological effects of terahertz irradiation. First, in this paper are expatiated the application safety of terahertz irradiation and its new application prospects in life medicine, neural regulation and artificial intelligence. Then, systematically described are the researches and developments in the biological effects of cell membrane under terahertz electromagnetic irradiation from the following four aspects: the dielectric response characteristics of phospholipid membrane to terahertz electromagnetic irradiation, the transmembrane transport of ions through membrane ion channel proteins under the irradiation, the transmembrane transport of macromolecules and ions through phospholipid membrane under the irradiation, and the potential applications and role of biological effects of cell membrane under the irradiation. Meanwhile, introduced in this paper are the scientific discoveries that terahertz electromagnetic irradiation is able to activate voltage-gated calcium channels, voltage-gated potassium channels and active transport calcium channels in cell membrane and to create hydrophilic pores on the phospholipid membrane of cell membrane. Finally, the directions of future efforts to study the biological effects of cell membrane under terahertz irradiation are presented.-
Keywords:
- biological effects of infrared and terahertz irradiation/
- membrane ion channel protein/
- electromagnetic field interaction/
- substance transmembrane transport
[1] [2] [3] [4] [5] [6] [7] [8] [9] [10] [11] [12] [13] [14] [15] [16] [17] [18] [19] [20] [21] [22] [23] [24] [25] [26] [27] [28] [29] [30] [31] [32] [33] [34] [35] [36] [37] [38] [39] [40] [41] [42] [43] [44] [45] [46] [47] [48] [49] [50] [51] [52] [53] [54] [55] [56] [57] [58] [59] [60] [61] [62] [63] [64] [65] [66] [67] [68] [69] [70] -
光源类型 光源波段 光源功率及方式
(脉冲/连续)光源极化情况 实验目的 实验载体 实验结果 参考
文献光导天线 0.1—3 mm
(0.1—3 THz)平均功率密度约
60 μW/cm2, /(辐照
时间60 min)— 研究太赫兹
辐照对精子
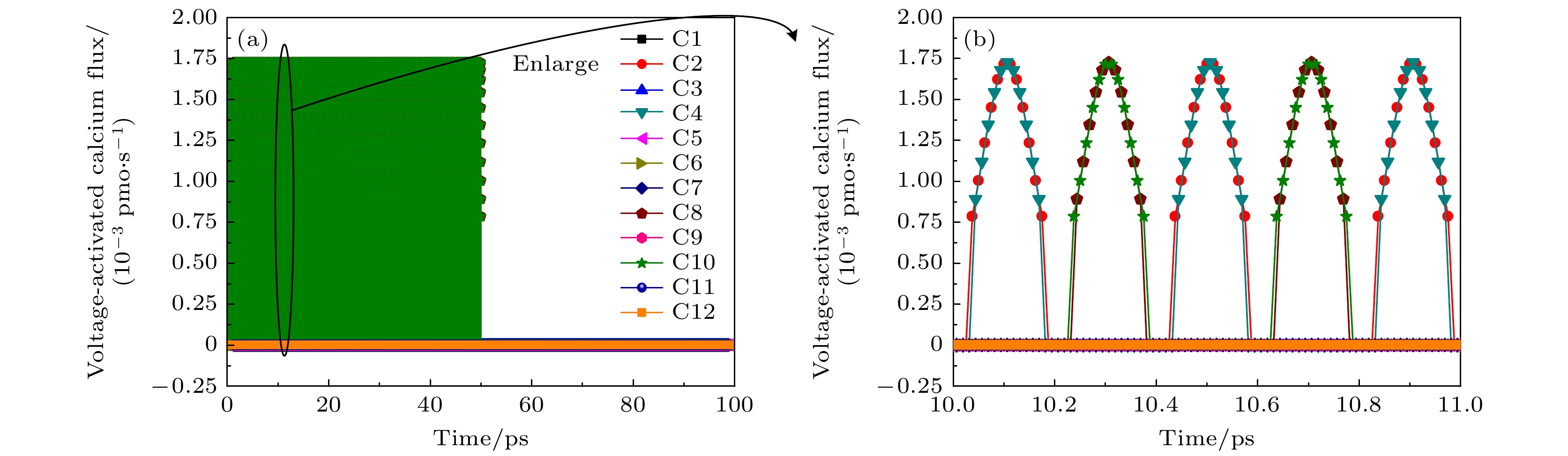
的影响精子细胞 太赫兹辐照增强精子活力(相比对照组增大21%)、增加细胞内钙离子浓度(钙离子标记物的荧光强度相比对照组增加21%); 当去掉细胞外钙离子或阻断细胞膜压控钙离子通道时, 该效应的结果与对照组相比不具有统计显著性 [15] 量子级联激光器 5—11 μm
(27—60 THz)距离激光器光源
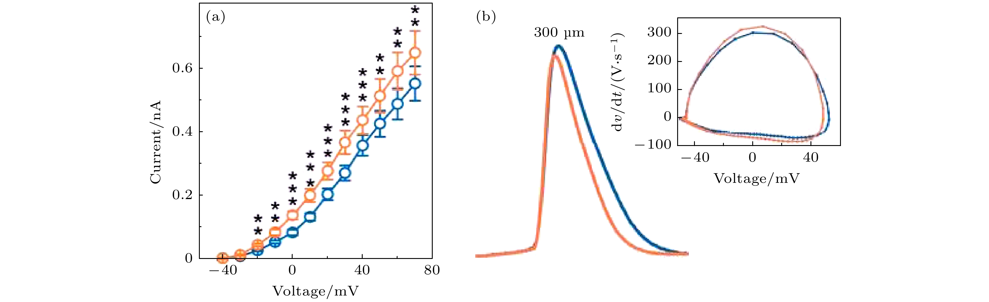
300 μm处功率密度为0.003 μW/μm2, 脉冲(100—500 ns脉宽, 10—100 kHz 重复频率, 辐照时间10—200 s)— 研究特定波长的中红外波能否对离子通道活动、神经信号和运动感觉行为产生非热的调节效应 小鼠前额叶皮层切片中锥体细胞, 斑马鱼幼体 5.6 μm波长(53.53 THz)电磁波辐照期间能够非热地增大压控钾离子通道的钾离子流(电流-电压曲线斜率相比对照组增大9%)、使锥体细胞的动作电位波形变窄(相比对照组减小21%), 当停止辐照时调节效应消失, 再次辐照时调节效应再次出现. 对于紫外光刺激引起的斑马鱼C状弯曲的惊跳反应, 5.6 μm波长辐照抑制了弱紫外光刺激下惊跳反应、而增强了强紫外光刺激下的惊跳反应(惊跳反应中鱼尾部的角度-紫外光强度曲线斜率相比对照组增大109%, 尾部的角速度-紫外光强度曲线斜率相比对照组增大116%) [19] 自由电子激光器 130和150 μm
(2.3 和2.0 THz)平均功率密度
0.5—20 mW/cm2, 脉
冲(30—100 ps脉宽, 4.6—11.2 MHz重复频率, 2.3 THz时辐照时间0.6 min, 2.0 THz时辐照60 min)— 研究太赫兹辐照能否引起细胞膜完整性、屏障特性功能的改变 离体培养的静水椎实螺神经细胞 2.3 THz辐照能够引起细胞膜可逆的穿孔(相比对照组增大87%), 将细胞外染料分子导入细胞内, 引起细胞膜屏障特性及完整性的改变; 2.0 THz没有引起细胞膜穿孔 [41,60] 返波管 0.9—1.7 mm
(0.18—0.33 THz)3 mW/cm2, /(辐照时间180 min) — 研究太赫兹辐照对血细胞的影响 红细胞 太赫兹辐照引起红细胞渗透压的减小, 血红蛋白大分子从红细胞内释放进入细胞外溶液环境 [41] 自由电子激光器 130 μm
(2.3 THz)平均功率密度
0.5—20 mW/cm2, 脉冲(30—100 ps脉宽, 4.6—11.2 MHz重复频率, 辐照时间30 s)— 检测2.3 THz辐照下细胞膜穿孔能否由膜上激活的氧化代谢物导致 离体培养的静水椎实螺神经细胞 添加抗氧化剂后细胞膜穿孔的效应减弱(相比对照组减小93%), 抗氧化剂能够作为细胞膜通透性改变的调节因子, 保护细胞不受这一过程的不利效应的影响 [60] -
[1] [2] [3] [4] [5] [6] [7] [8] [9] [10] [11] [12] [13] [14] [15] [16] [17] [18] [19] [20] [21] [22] [23] [24] [25] [26] [27] [28] [29] [30] [31] [32] [33] [34] [35] [36] [37] [38] [39] [40] [41] [42] [43] [44] [45] [46] [47] [48] [49] [50] [51] [52] [53] [54] [55] [56] [57] [58] [59] [60] [61] [62] [63] [64] [65] [66] [67] [68] [69] [70]
计量
- 文章访问数:6162
- PDF下载量:251
- 被引次数:0












下载:






