-
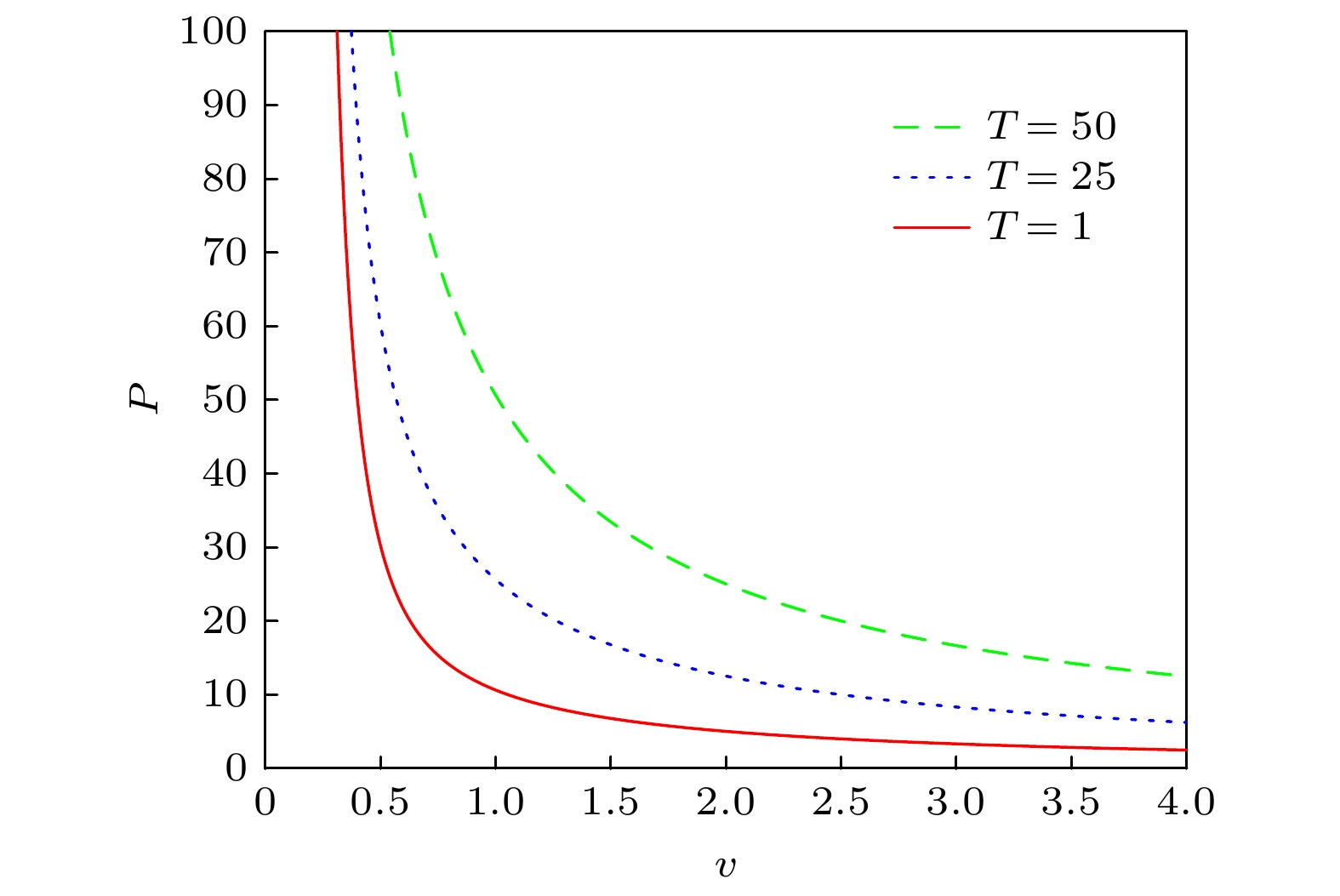
The thermodynamic functions of toroidal black holes are investigated in this paper by taking the cosmological constant as a dynamic variable equivalent to the pressure. The equation of state and the Smarr relation of a toroidal black hole are given. Then, the Gibbs function is obtained by calculating the Euclidian action. Further we study other thermodynamic functions of the toroidal black hole, such as free energy, internal energy, and thermodynamic enthalpy. The heat capacity of the toroidal black hole at constant pressure and constant volume is obtained. The results show that toroidal black holes have no van der Waals type phase transition. Toroidal black hole is a stable thermodynamic system because its heat capacity at constant pressure is greater than zero and its heat capacity at constant volume is equal to zero.
[1] [2] [3] [4] [5] [6] [7] [8] [9] [10] [11] [12] [13] [14] [15] [16] [17] [18] [19] -
[1] [2] [3] [4] [5] [6] [7] [8] [9] [10] [11] [12] [13] [14] [15] [16] [17] [18] [19]
计量
- 文章访问数:3278
- PDF下载量:71
- 被引次数:0












下载:
