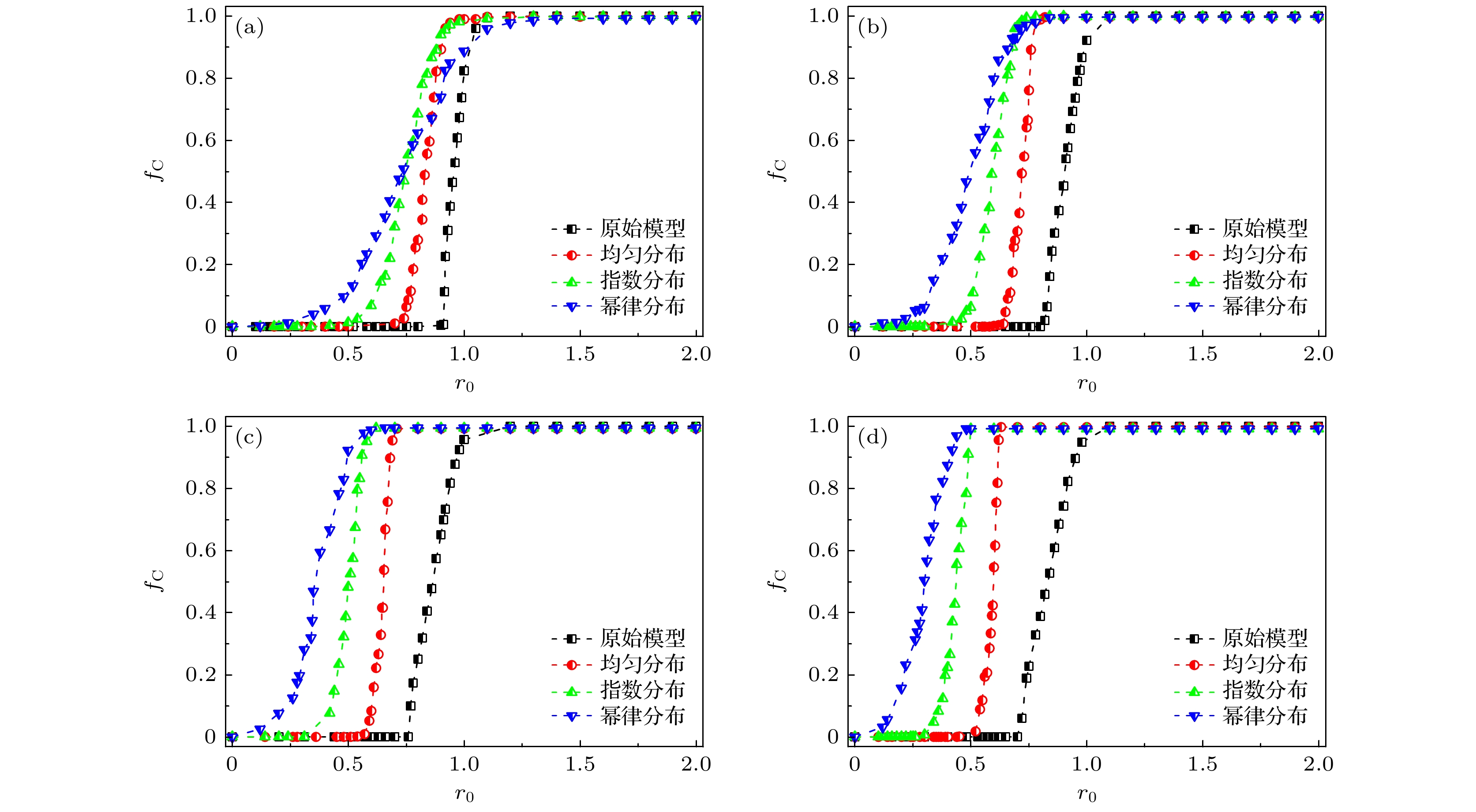
The spatial structure and social diversity playing a nontrivial role in the emergence and maintenance of cooperation among selfish individuals have been verified. Their effects on the evolution of cooperation have attracted great attention in recent years. Most of previous evolutionary game dynamics is based on pairwise interactions. However, the interactions often take place within groups of people in many real situations and cannot be described simply by dyads. The dynamics of evolutionary games in systems with higher-order interactions has not yet been explored as deserved. In this paper, we introduce heterogeneous multiplication factors into the spatial public goods game to investigate the cooperative behaviors on the hypergraphs. In addition to the original model in which all groups have the same multiplication factor, three types of heterogeneous multiplication factor distributions including uniform, exponential and power-law distributions are considered. The numerical simulation results show that the increase of the order
gof the uniform random hypergraphs is conducive to the emergence and prosperity of the individuals' cooperative behavior no matter what types these distributions belong to. Furthermore, compared with the results of the original spatial public goods games on hypergraphs, the heterogeneous multiplication factors following three different distributions can remarkably promote the evolution of cooperation. In particular, for most of ranges of the average rescaling multiplication factor
$r_0$
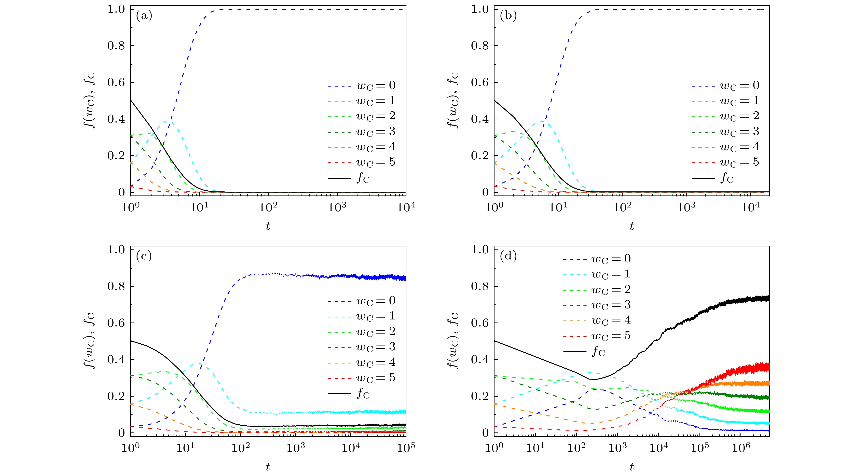
, the highest cooperation level can be obtained under the power-law distribution, while the uniform distribution leads to the lowest cooperation level. We provide an explanation through investigating the number of cooperators in each group. In addition, to probe into the essence that influences the survival of cooperative behaviors, we study the time series of the fraction of groups with different numbers of cooperators. Besides, we also investigate the influence of the number of hyperlinks on cooperation evolution. We find that the results are robust against the number of hyperlinks
L, and the emergence of cooperative behaviors in public goods games on hypergraphs is hindered with the value of
Lincreasing. To some extent, these results are helpful in the better understanding of the evolutionary dynamics of the spatial public goods games on hypergraphs with social diversity.