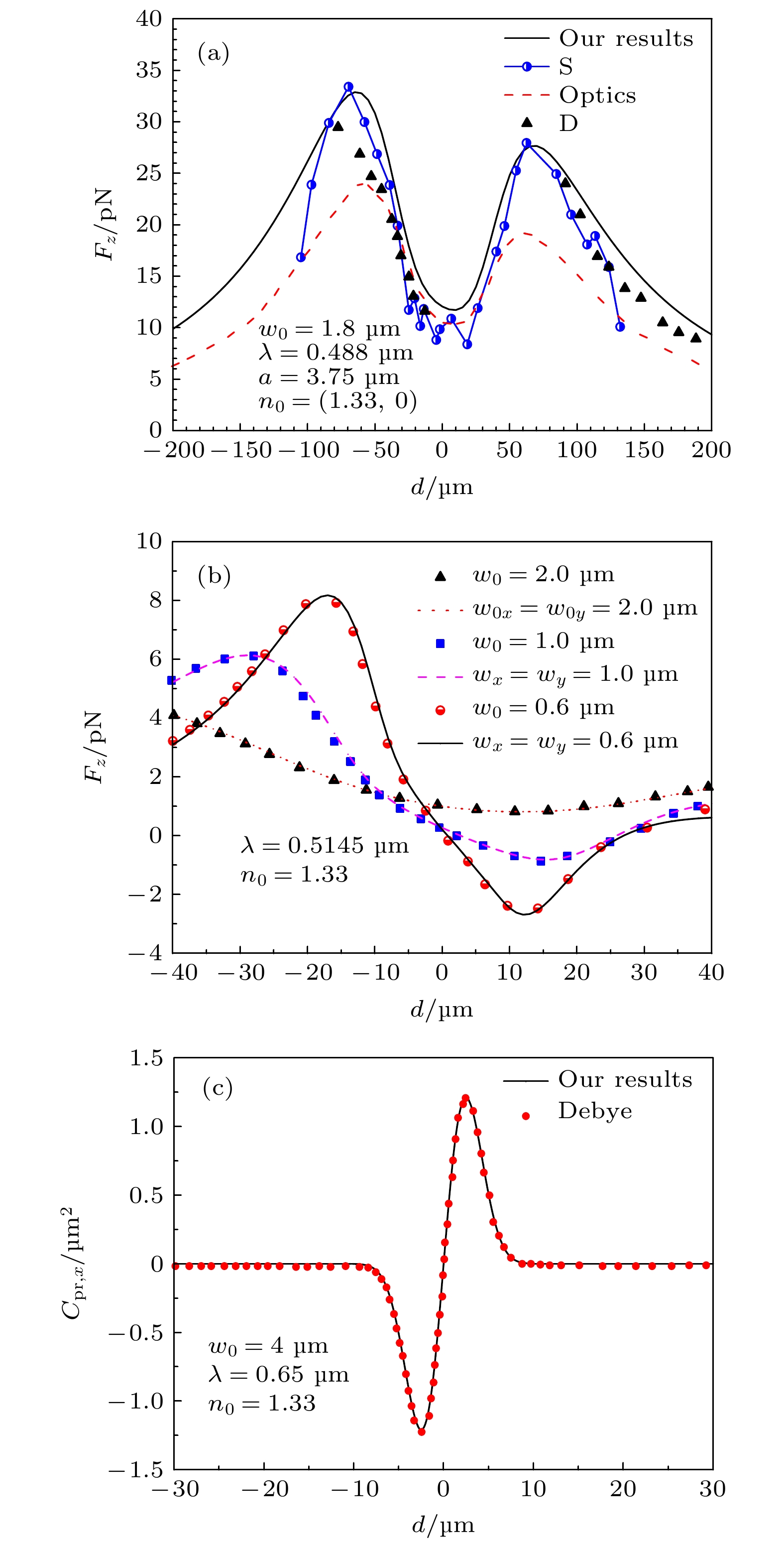
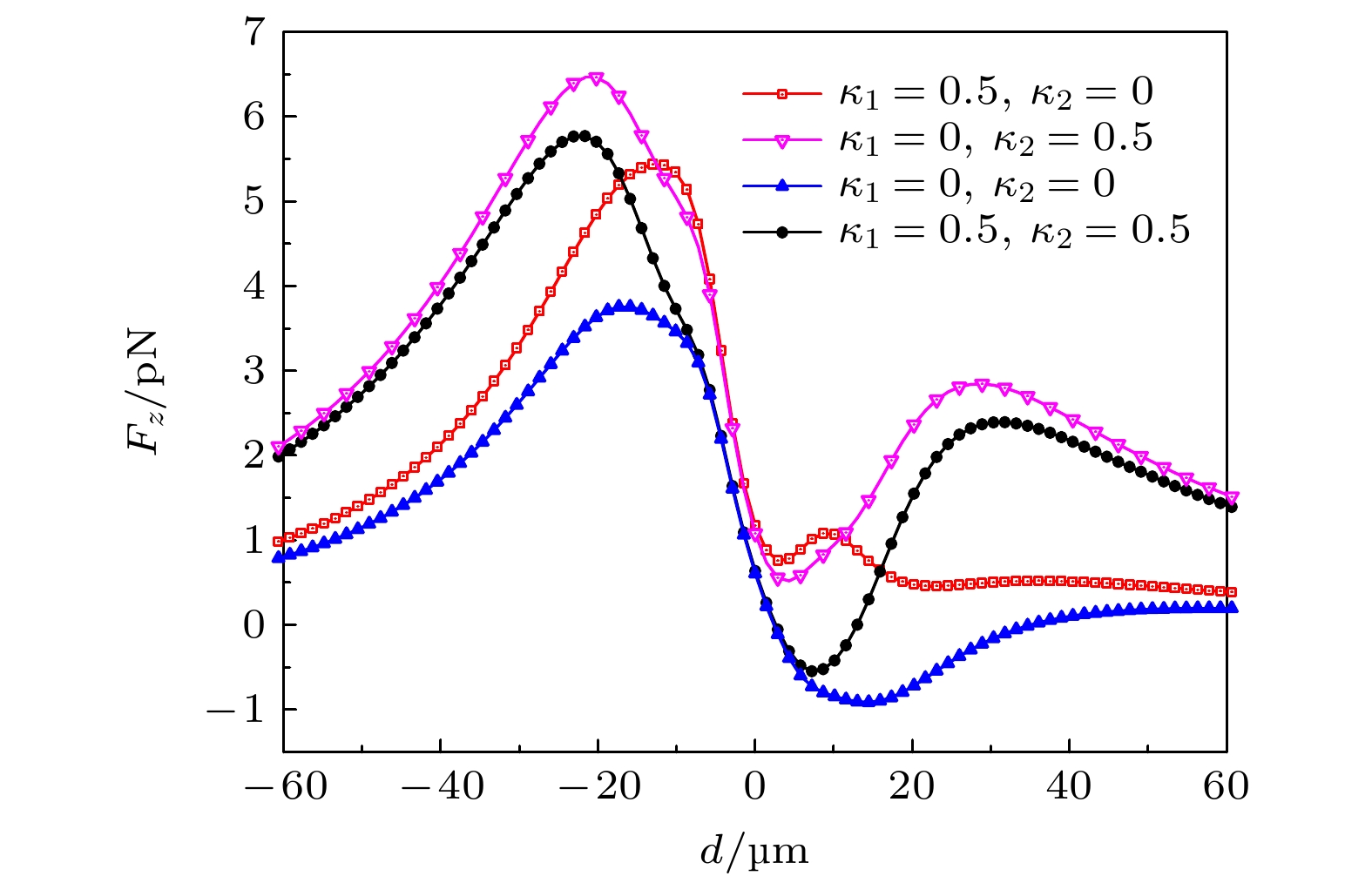
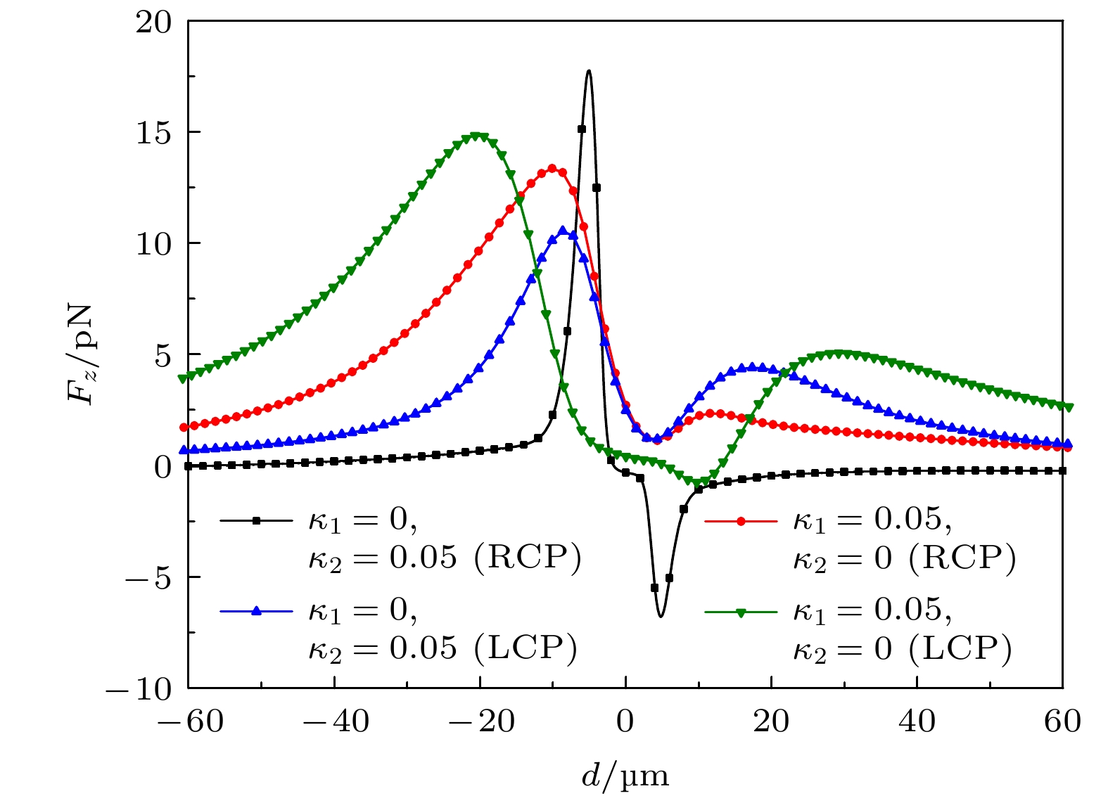
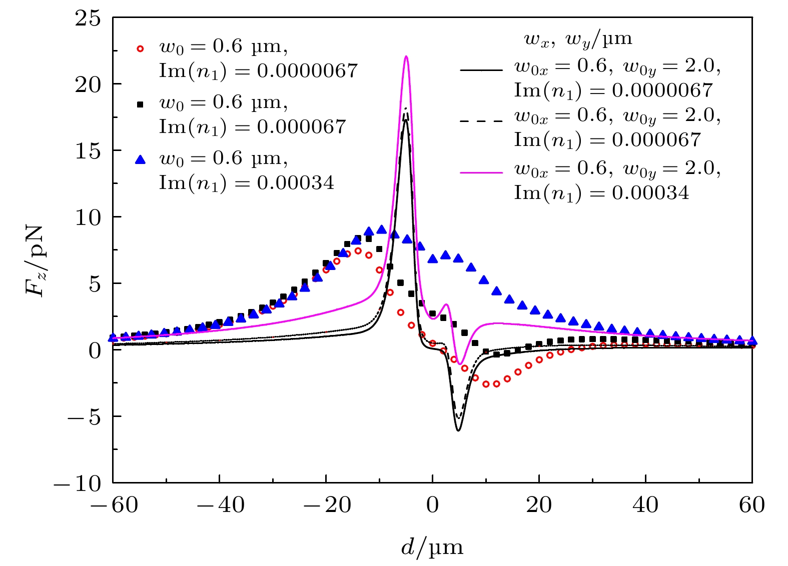
Theoretical study on optical trapping of multi-layered chiral sphere has attracted more and more attention for its important applications in many frontier scientific fields such as chemical engineering, biomedicine, optical tweezers, micro/nano lithography etc. In order to trap and manipulate chiral multi-layered particles efficiently, the present paper aims at developing the theoretical research of trapping force (TF) exerted on a multi-layered chiral sphere induced by laser sheet which might have great potential to improve the light performance in optical trapping as well as capture, suspension, and high-precision delivery of chiral cells. Here, based on the Generalized Lorenz Mie theory and the completeness of spherical vector wave functions (SVWFs), the electromagnetic field of incident laser sheet are expanded in terms of SVWFs. Accordingly, by introducing the beam scattering theory and the conservation law of electromagnetic momentum (EM), the analysis of TF exerted on multi-layered chiral sphere can be analytically expressed in terms of the incident and scattering coefficients. Taking the chiral cell as an example, the TF induced by laser sheet is simulated numerically. Numerical effects of the varying chirality, polarization states, beam waist width, inner material loss and outmost size on the TF induced by laser sheet are analyzed and compared with those by circular Gaussian beam incidence in detail. It is found that the introduction of chirality parameter may reduce the axial TF exerted on chiral multi-layered cell. Thus, it is more difficult to trap and manipulate stratified chiral cells than to trap general isotropic cells. Also it is shown that the TF of chiral cells can be significantly discriminatory in nature, depending upon both the handedness of the interacting particles and the polarization of the incident light. Thus, an appropriately polarized beam should be considered in trapping chiral cells. For chiral multi-layered cells with small loss in the inner layer, when the inner refractive indices are less than the outmost refractive index, the TF of multi-layered chiral cell becomes stronger with the outmost radius decreasing. Conversely, for the inner refractive indices are greater than the outer refractive index, TF becomes weaker as the outmost radius decreases. Besides, compared with the traditional circular Gaussian beam, the strong convergence of elliptical Gaussian beam can be easier to achieve three-dimensional capture of stratified chiral cells, which may provide a recipe to understand the light interaction with more complex chiral cells with the aid of the analytical approach and could be a promising avenue for the design of optical trapping systems.