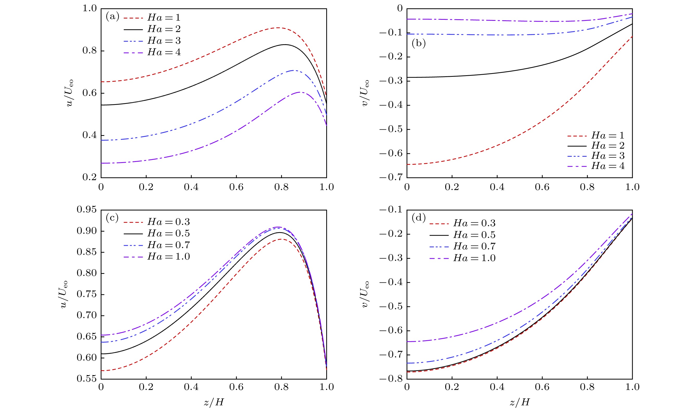
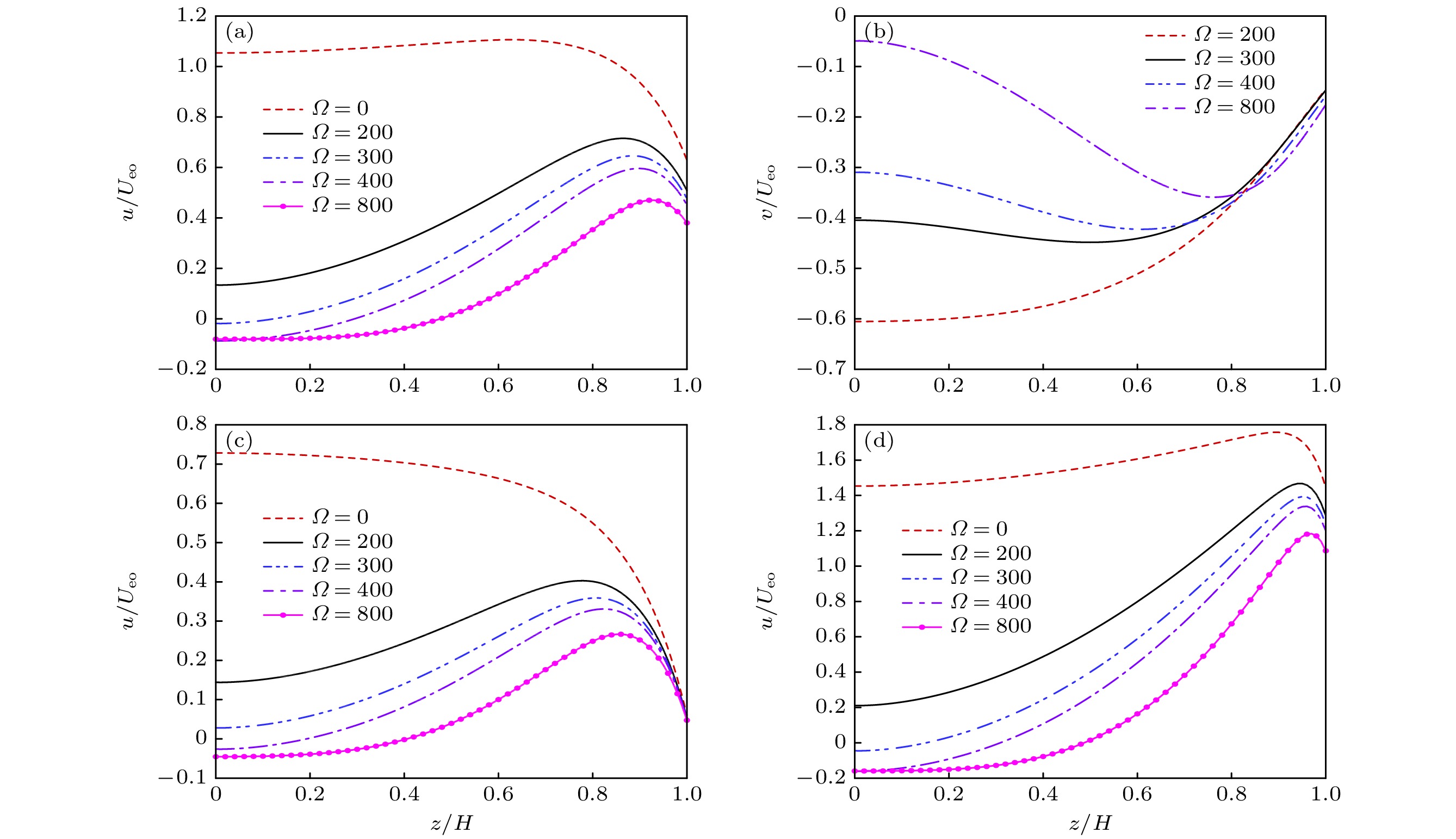
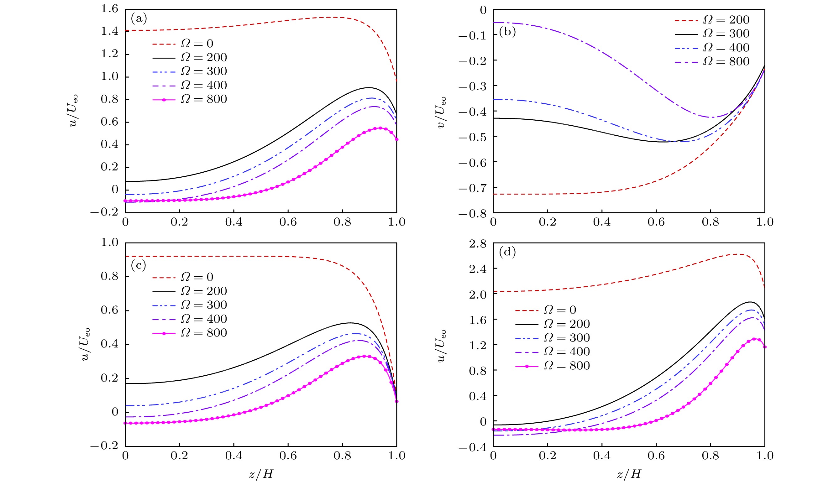
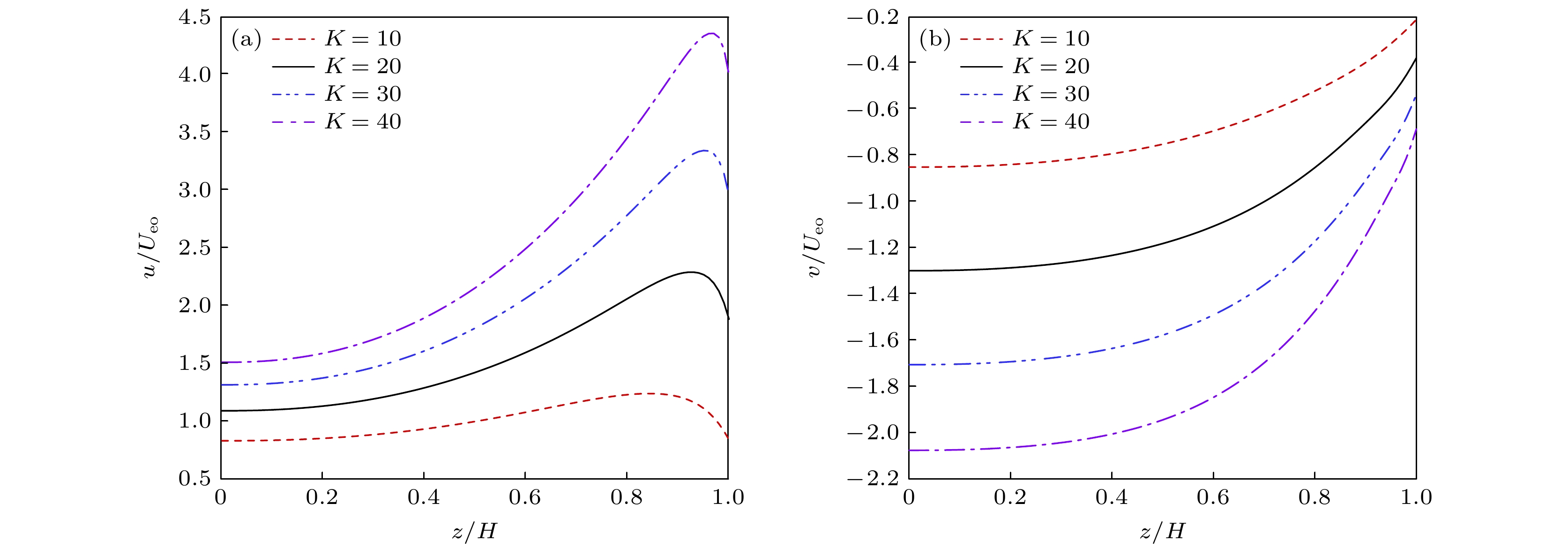
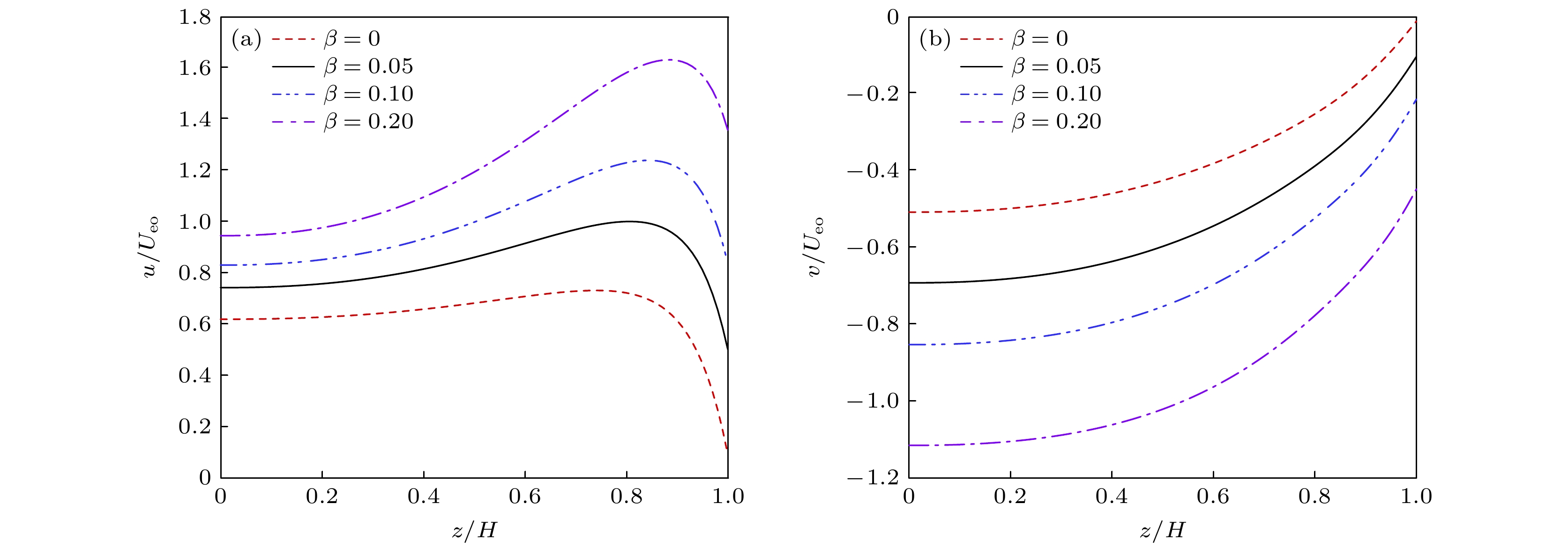
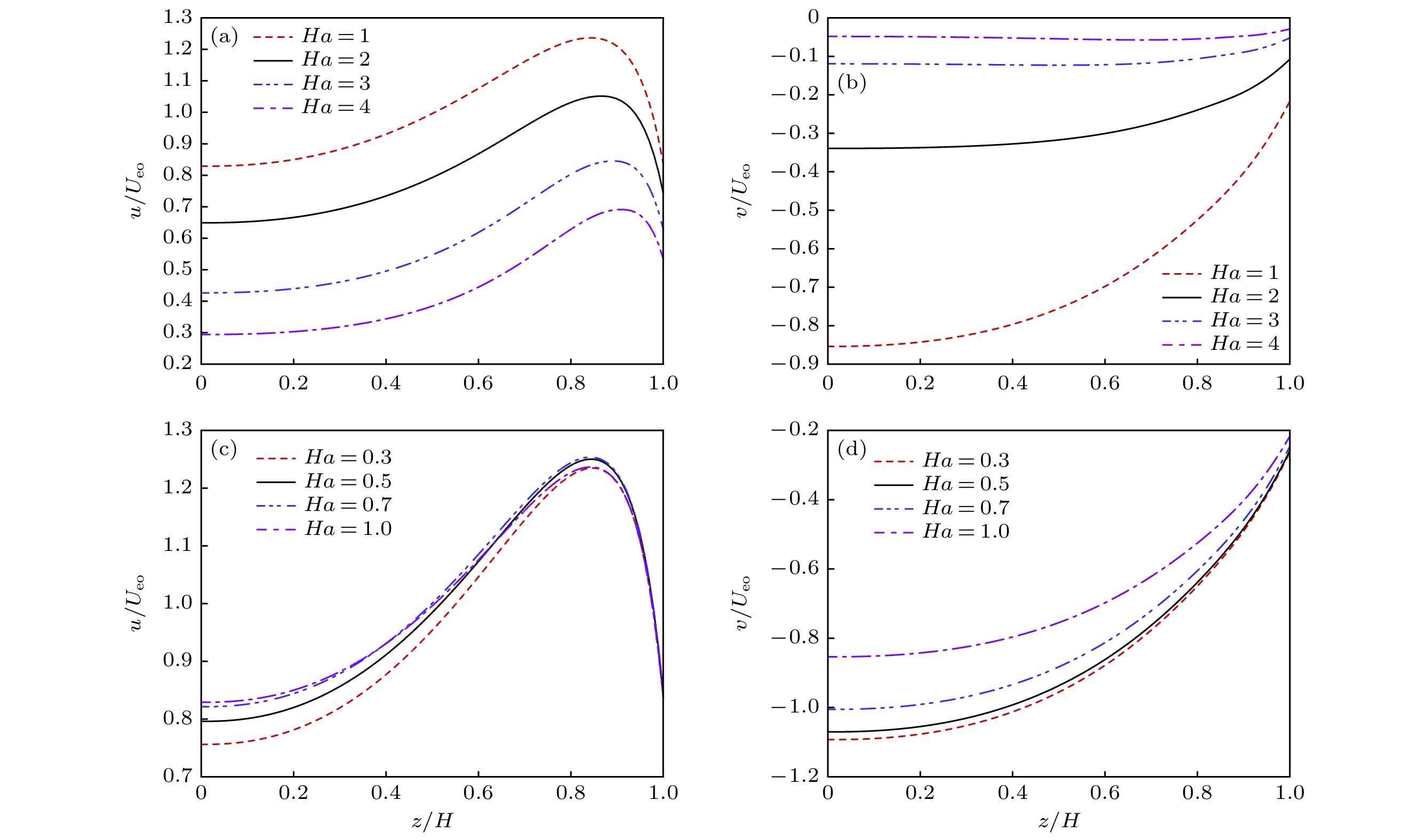
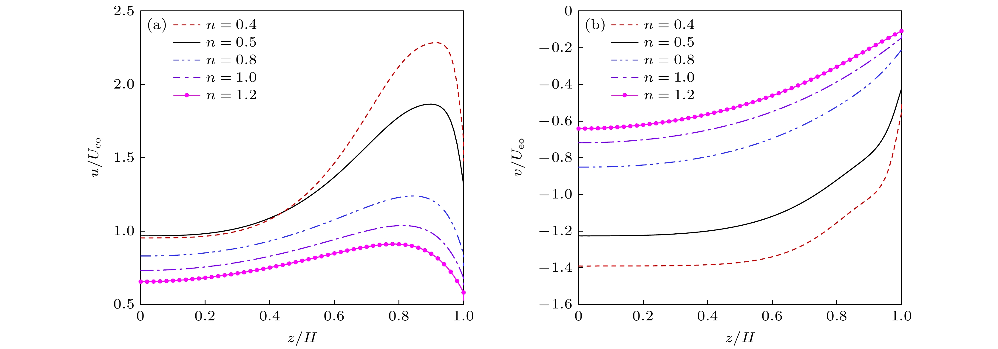
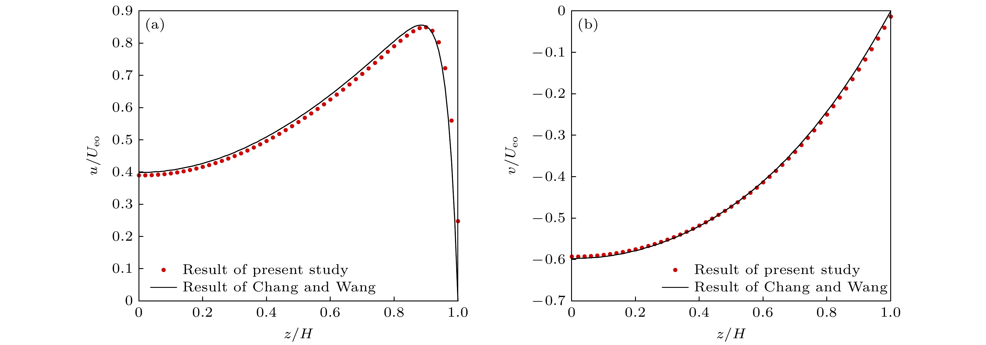
\begin{document}$n = 1$\end{document}时得到的流体为牛顿流体, 将本文的分析结果与Debye–Hückel 线性近似所得解析近似解作比较, 证明本文数值方法的可行性. 除此之外, 还详细讨论行为指数n、哈特曼数Ha、旋转角速度\begin{document}$\varOmega$\end{document}、电动宽度K及滑移参数\begin{document}$\beta $\end{document}对速度分布的影响, 得到当哈特曼数Ha >1时, 速度随着哈特曼数 Ha 的增加而减小; 但当哈特曼数Ha <1时, x方向速度 u 的大小随着 Ha 的增加而增加."> - 必威体育下载

搜索

x

留言板

姓名
邮箱
手机号码
标题
留言内容
验证码

downloadPDF
引用本文:
Citation:

    张天鸽, 任美蓉, 崔继峰, 陈小刚, 王怡丹

    Rotational electroosmotic slip flow of power-law fluid at high zeta potential in variable-section microchannel

    Zhang Tian-Ge, Ren Mei-Rong, Cui Ji-Feng, Chen Xiao-Gang, Wang Yi-Dan
    PDF
    HTML
    导出引用
    计量
    • 文章访问数:2963
    • PDF下载量:45
    • 被引次数:0
    出版历程
    • 收稿日期:2021-12-16
    • 修回日期:2022-03-03
    • 上网日期:2022-06-29
    • 刊出日期:2022-07-05

      返回文章
      返回