-
本文创建一种全新的数值计算方法—有限线法, 并将其用于求解流体-固体一体化耦合传热分析. 常用的有限元法是基于体单元的离散方法, 有限容积法是在控制体面上运算的方法, 边界元法是在边界面上离散的方法, 无网格法等是由计算点周围的散点构建计算格式的方法. 本文提出的有限线法是一种基于有限条线段离散的方法, 在每个点只需要两条或三条直线或曲线构成的线系, 则可建立任意高阶的算法格式. 创新性思想是: 通过采用沿线段求方向导数的技术, 由一维拉格朗日插值公式, 建立二维和三维问题的任意高阶线系的空间导数, 并以此直接由问题的控制偏微分方程与边界条件建立离散的系统方程组. 有限线法理论简单、通用性强, 能以统一的格式求解固体与流体力学等偏微分方程边值问题. 在流体方程中, 扩散项采用中心线系保证高精度计算, 而对流项则采用迎风线系体现其方向性特征. 本文将给出有限线法求解流固耦合传热问题的几个算例分析, 验证其正确性与有效性.In this paper, a completely new numerical method, called finite line method, is proposed and is used to solve fluid-solid coupled heat transfer problems. The extensively used finite element method is a method based on volume discretization; the finite volume method is a method operated on the surface of the control volume; the boundary element method is the one based on boundary surface discretization; the meshless method is the one constructing the computational algorithm using surrounding scatter points at a collocation point. The method proposed in the work is based on the use of finite number of lines, in which an arbitrarily high-order computational scheme can be established by using only two or three straight or curved lines at each point. The creative idea of the method is that by using a directional derivative technique along a line, high-order two- and three-dimensional spatial partial derivatives with respective to the global coordinates can be derived from the Lagrange polynomial interpolation formulation, based on which the discretized system of equations can be directly formed by the problem-governing partial differential equation and relevant boundary conditions. The proposed finite line method is very simple in theory and robust in universality, by using which the boundary value problems of partial differential equations in solid and fluid mechanics problems can be solved in a unified way. In solving fluid mechanics problems, the diffusion term is simulated by using the central line set to maintain a high efficiency, and the convection term is computed by using an upwind line set to embody its directional characteristic. A few of numerical examples will be given in this paper for fluid-solid coupled heat transfer problems for verifying the correctness and efficiency of the proposed method.
[1] [2] [3] [4] [5] [6] [7] [8] [9] [10] [11] [12] [13] [14] [15] [16] [17] [18] [19] [20] [21] [22] [23] [24] [25] [26] [27] [28] -
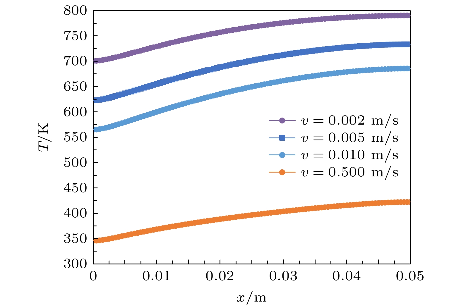
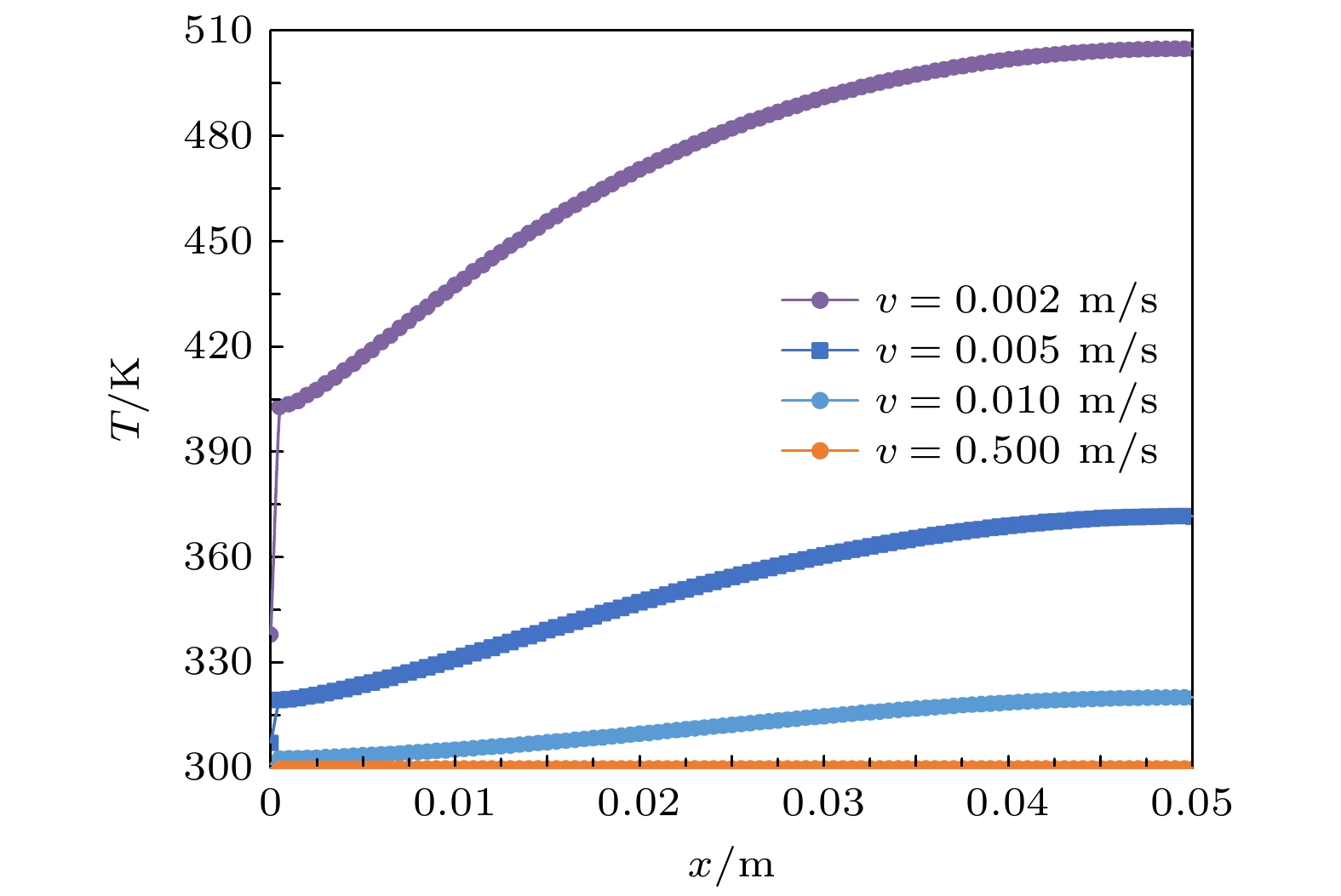
$ {\varOmega _1} $ $ {\varOmega _2} $ $ {\varOmega _3} $ $ {\varOmega _4} $ $ {\varOmega _5} $ $ {\varOmega _6} $ $ {\varOmega _7} $ λ 100 0.6 200 0.6 200 0.6 10 $ {T_{{\text{in}}}} $ — 300 — 500 — 300 — v — 0.1 — 0.5 — 1.0 — $ {\varOmega _1} $ $ {\varOmega _2} $ $ {\varOmega _3} $ $ {\varOmega _4} $ $ {\varOmega _5} $ $ {\varOmega _6} $ λ 10 20 200 0.6 0.6 0.6 $ {T_{{\text{in}}}} $ — — — 300 350 300 v — — — 0.2 0.5 0.2 FLM FLM_fine FLUENT FLUENT_fine COMSOL 总节点数 172789 582799 599519 4298589 570751 计算时间/s 38 135 115 910 585 -
[1] [2] [3] [4] [5] [6] [7] [8] [9] [10] [11] [12] [13] [14] [15] [16] [17] [18] [19] [20] [21] [22] [23] [24] [25] [26] [27] [28]
计量
- 文章访问数:4577
- PDF下载量:83
- 被引次数:0












下载:























