-
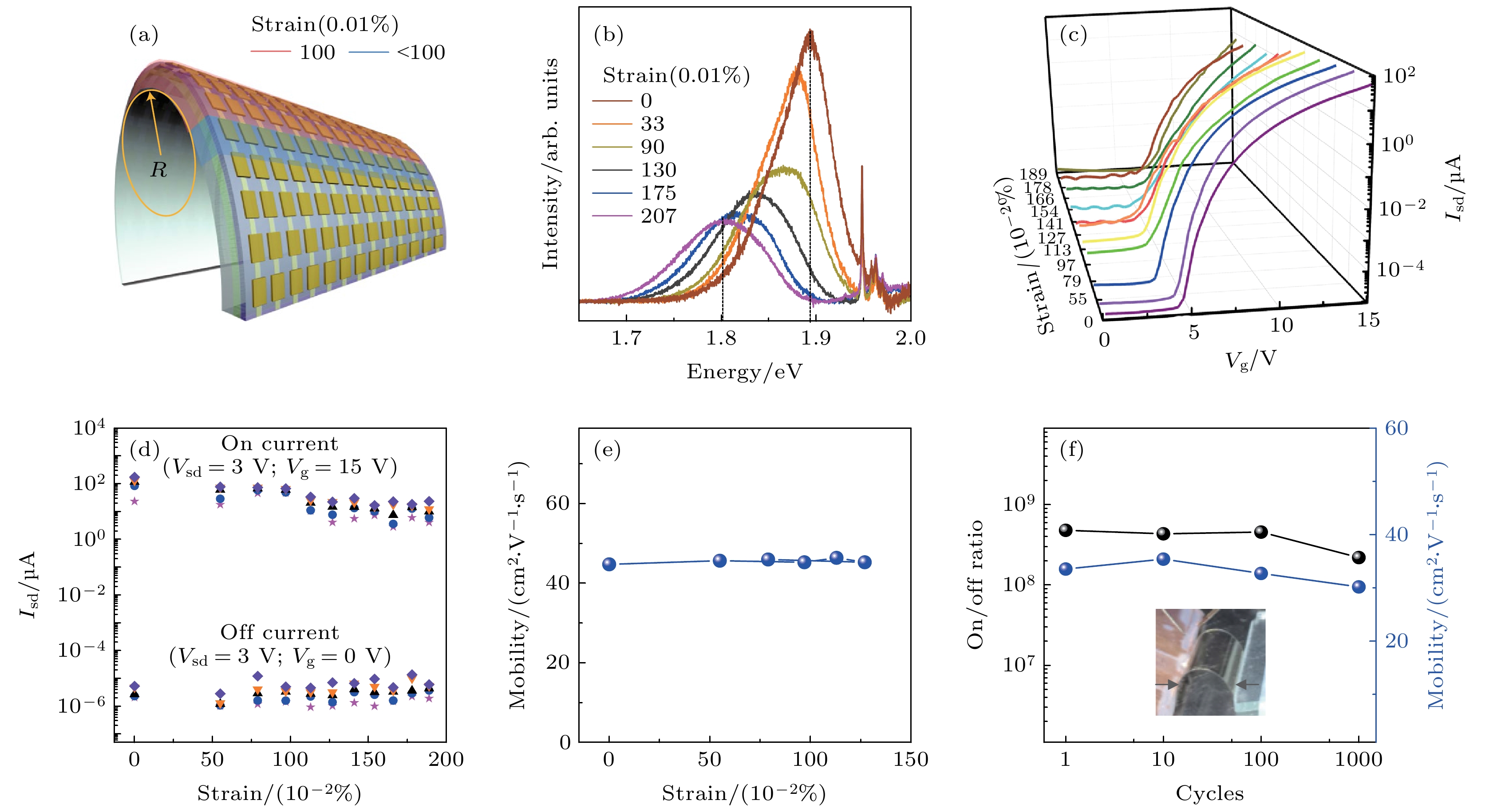
二硫化钼(MoS 2)作为一种新兴的二维半导体材料, 它具有天然原子级的厚度以及优异的光电特性和机械性能, 在未来超大规模集成电路中具有巨大的应用潜力. 本文综述了我们课题组在过去几年中在单层MoS 2薄膜研究方面所取得的进展, 具体包括: 在MoS 2薄膜制备方面, 通过氧辅助气相沉积方法, 实现了大尺寸MoS 2单晶的可控生长; 通过独特的多源立式生长方法, 实现了4 in晶圆级大晶粒高定向的单层MoS 2薄膜的外延生长, 样品显示出极高的光学和电学质量, 是目前国际上报道的质量最好的晶圆级MoS 2样品; 通过调节MoS 2薄膜的氧掺杂浓度, 可以实现对其电学和光学特性的有效调控. 在MoS 2薄膜器件与应用方面, 利用制备的高质量单层MoS 2薄膜, 实现了高性能柔性晶体管的集成, 这种大面积柔性逻辑和存储器件显示出优异的电学性能; 在集成多层场效应晶体管的基础上, 设计, 加工了垂直集成的多层全二维材料的多功能器件, 充分发挥器件的组合性能, 实现了“感-存-算”的一体化; 制备了全二维材料浮栅存储器, 实现了功耗低, 可靠性好, 且高度对称和线性度可调的突触权重输出的人工突触器件; 通过引入结构域边界提高MoS 2基地面的电催化析氢反应(HER)催化活性等. 我们在MoS 2薄膜的制备以及器件特性方面所取得的进展对于MoS 2的基础和应用研究均具有指导意义.Monolayer molybdenum disulfide (MoS 2) is an emerging two-dimensional (2D) semiconductor material.The MoS 2film has a natural atomic-level thickness, excellent optoelectronic and mechanical properties, and it also has the potential applications in very large-scale integration technology in the future. In this article we summarize the research progress made by our group in the studying of monolayer MoS 2films in the past few years. The controlled growth of large-size MoS 2single crystals is achieved by oxygen-assisted chemical vapor deposition method. By a unique facile multisource CVD growth method, the highly oriented and large domain size ML MoS 2films are epitaxially grown on a 4-inch wafer scale. Almost only 0° and 60° oriented domains are present in films, and the average size of MoS 2grains ranges from 100 μm to 180 μm . The samples exhibit their best optical and electrical quality ever obtained, as evidenced from their wafer-scale homogeneity, nearly perfect lattice structure, average room-temperature device mobility of ~70 cm 2·V –1·s –1and high on/off ratio of ~10 9on SiO 2substrates. By adjusting the oxygen doping concentration in the MoS 2film through using an effective CVD technique, electrical and optical properties can be well modified, thereby greatly improving the carrier mobilities and controllable n-type electronic doping effects resulting from optimized oxygen doping levels of MoS 2–xO x. In terms of MoS 2thin film devices and applications, the 4-inch wafer-scale high-quality MoS 2monolayers are used to fabricate the transparent MoS 2-based transistors and logic circuits on flexible substrates. This large-area flexible FET device shows excellent electrical performance with a high device density (1,518 transistors per cm 2) and yield (97%), and exhibits a high on/off ratio (10 10), current density (~35 μA·μm –1), mobility (~55 cm 2·V –1·s –1) and flexibility. Based on the vertically integrated multilayer device via a layer-by-layer stacking process, an individual layer of all-2D multifunctional FET is successfully achieved with nearly multiplied on-current density, equivalent device mobility, and persevered on/off ratio and subthreshold swing (SS) of the individual layer, the combined performance of the device is fully utilized, and the integration of “sensing-storing-computing” is realized. A two-terminal floating-gate memory (2TFGM) based artificial synapse built from all-2D van der Waals materials is prepared, the 2TFGM synaptic device exhibits excellent linear and symmetric weight update characteristics with high reliability and tunability. A large number of states of up to ≈3000, high switching speed of 40 ns and low energy consumption of 18 fJ for a single pulse are demonstrated experimentally. The introduction of structural domain boundaries in the basal plane of monolayer MoS 2can greatly enhance its hydrogen evolution reaction performance by serving as active sites. The progress we have made in the preparation of monolayer MoS 2films and the research on device characteristics is of guiding significance for the basic and application research of MoS 2, and also is universal and instructive for other 2D transition metal dichalcogenides.
-
Keywords:
- monolayer molybdenum disulfide/
- chemical vapor deposition/
- growth control/
- field-effect transistors.
[1] [2] [3] [4] [5] [6] [7] [8] [9] [10] [11] [12] [13] [14] [15] [16] [17] [18] [19] [20] [21] [22] [23] [24] [25] [26] [27] [28] [29] [30] [31] [32] [33] [34] [35] [36] [37] [38] [39] [40] [41] [42] [43] [44] [45] [46] [47] [48] [49] [50] [51] [52] [53] [54] [55] [56] [57] [58] [59] [60] [61] [62] [63] [64] [65] [66] [67] [68] [69] [70] [71] [72] [73] [74] [75] [76] [77] [78] [79] [80] -
[1] [2] [3] [4] [5] [6] [7] [8] [9] [10] [11] [12] [13] [14] [15] [16] [17] [18] [19] [20] [21] [22] [23] [24] [25] [26] [27] [28] [29] [30] [31] [32] [33] [34] [35] [36] [37] [38] [39] [40] [41] [42] [43] [44] [45] [46] [47] [48] [49] [50] [51] [52] [53] [54] [55] [56] [57] [58] [59] [60] [61] [62] [63] [64] [65] [66] [67] [68] [69] [70] [71] [72] [73] [74] [75] [76] [77] [78] [79] [80]
计量
- 文章访问数:15030
- PDF下载量:760
- 被引次数:0












下载:


















