-
火星大气富含CO 2(~95%), 对其原位利用具有重要的科学和经济价值. 高压放电转化CO 2具有绿色环保、可控程度高、使用寿命长等优势, 在火星CO 2资源原位转化利用方面具有应用潜力. 本文模拟火星低气压条件下CO 2氛围, 针对kHz交流电压驱动两种典型电极结构(有/无阻挡介质)的放电特性开展对比实验研究, 并辅以数值仿真分析两种电极结构下CO 2放电产物及其转化途径. 结果表明, 引入阻挡介质后, 由于介质表面累积电荷和空间电荷畸变电场导致放电从半周期单次放电转变为多脉冲放电, 不同放电脉冲对应的放电通道随机产生. 主要放电产物中, CO依赖阴极位降区边界处电子与CO 2附着分解反应产生, O 2大部分产生于瞬时阳极表面或瞬时阳极侧介质表面电子与CO
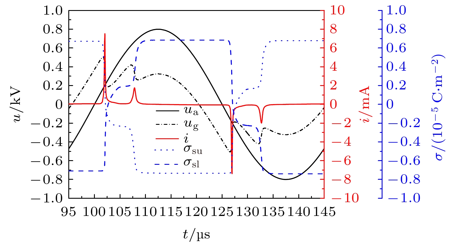
${}^+_2 $ 复合分解反应. 进一步发现, 介质引入不改变二者产生位置和主导反应路径, 但会降低阴极位降区边界处电子密度和电子温度, 使CO产量有所减少; 并降低放电功率, 使到达瞬时阳极表面和瞬时阳极侧介质表面的CO${}^+_2 $ 产额不足, 生成O 2减少.The low-pressure atmosphere rich in CO 2(~95%) on Mars makes the in-situresource utilization of Martian CO 2and the improvement of oxidation attract widespread attention. It contributes to constructing the Mars base which will support the deep space exploration. Conversion of CO 2based on high voltage discharge has the advantages of environmental friendliness, high efficiency and long service life. It has application potential in the in-situconversion and utilization of Martian CO 2resources. We simulate the CO 2atmosphere of Mars where the pressure is fixed at 1 kPa and the temperature is maintained at room temperature. A comparative study is carried out on the discharge characteristics of two typical electrode structures (with/without barrier dielectric) driven by 20 kHz AC voltage. Combined with numerical simulations, the CO 2discharge characteristics, products and their conversion pathways are analyzed. The results show that the discharge mode changes from single discharge during each half cycle into multi discharge pulses after adding the barrier dielectric. Each discharge pulse of the multi pulses corresponds to a random discharge channel, which is induced by the distorted electric field of accumulated charge on the dielectric surface and the space charge. The accumulated charge on the dielectric surface promotes the primary discharge and inhibits the secondary discharge. Space charge will be conducive to the occurrence of secondary discharge. The main products in discharge process include${\rm{CO}}^+_2 $ , CO, O 2, C, and O. Among the products, CO is produced mainly by the attachment decomposition reaction between energetic electrons and CO 2at the boundary of cathode falling zone, and the contribution rate of the reaction can reach about 95%. The O 2is generated mainly by the compound decomposition reaction between electrons and${\rm{CO}}^+_2 $ near the instantaneous anode surface or instantaneous anode side dielectric surface, and the contribution rate of the reaction can reach about 98%. It is further found that the dielectric does not change the generation position nor dominant reaction pathway of the two main products, but will reduce the electron density from 5.6×10 16m −3to 0.9×10 16m −3and electron temperature from 17.2 eV to 11.7 eV at the boundary of the cathode falling region, resulting in the reduction of CO production. At the same time, the deposited power is reduced, resulting in insufficient$ {\rm{CO}}^+_2 $ yield near the instantaneous anode surface and instantaneous anode side dielectric surface and further the decrease of O 2generation.[1] [2] [3] [4] [5] [6] [7] [8] [9] [10] [11] [12] [13] [14] [15] [16] [17] [18] [19] [20] [21] [22] [23] [24] [25] [26] [27] [28] [29] [30] [31] [32] [33] [34] [35] [36] [37] [38] [39] [40] [41] [42] [43] [44] [45] [46] [47] [48] -
中性粒子 CO2, CO, O, C, O2 离子 CO${}^+_2 $, O–, O${}^+_2 $, O${}^-_2 $, CO${}^-_3 $ 激发态粒子 CO2e, CO2v1, CO2v2, CO2v3, CO2v4 基态 模型中的符号 对应振动态 CO2 CO2v1 (010) CO2v2 (100), (020) CO2v3 (001) CO2v4 (n00), (0n0) 放电参数和产物 裸电极 DBD 功率/W 1.0 0.06 电子密度/m–3 1.1 × 1016 3.6 × 1015 振动态密度和/m–3 1.0 × 1021 3.1 × 1019 CO密度/m–3 2.2 × 1017 7.0 × 1015 O2密度/m–3 8.8 × 1016 2.7 × 1015 O密度/m–3 4.2 × 1016 1.5 × 1015 C密度/m–3 3.5 × 1015 6.3 × 1014 序号 反应 速率系数 参考文献 E22 e + CO${}_2^+ $ → CO + O 2.0 × 10–11Te–0.5/Tg [35] E23 e + CO${}_2^+ $ → C + O2 3.94 × 10–13Te–0.4 [36] E24 e + O${}_2^+ $ → O + O 6.0 × 10–13Te–0.5Tg–0.5 [35] E25 e + O2+ M → M + O${}_2^- $ 3.0 × 10–42(M = CO2) [37] 2.0 × 10–42(M = CO, O2) E26 e + O + M → M + O– 1.0 × 10–43 [37] E27 e + O${}_2^+ $ + M → M + O2 1.0 × 10–38 [31,38] 序号 反应 速率系数 参考文献 I1 O–+ CO2+M→ CO${}_3^- $ +M 9.0 × 10–41(M= CO2) [35,39] 3.0 × 10–40(M= CO, O2) I2 O–+ CO → CO2+ e 5.5 × 10–16 [36] I3 CO${}_3^- $ + CO → CO2+ CO2+ e 5.0 × 10–19 [35] I4 O–+M→ O +M+ e 4.0 × 10–18 [39] I5 O–+ O → O2+ e 2.3 × 10–16 [40] I6 O${}_2^- $ + CO${}_2^+ $ → CO + O2+ O 6.0 × 10–13 [35] I7 O + CO${}_2^+ $ → CO + O${}_2^+ $ 1.64 × 10–16 [31,41] I8 O2+ CO${}_2^+ $ → CO2+ O${}_2^+ $ 5.3 × 10–17 [31,41] I9 CO${}_3^- $ + CO${}_2^+ $ → CO2+ CO2+ O 5.0 × 10–13 [35] I10 CO${}_3^- $ + O${}_2^+ $ → CO2+ O2+ O 3.0 × 10–13 [35] I11 CO${}_3^- $ + O → CO2+ O${}_2^- $ 8.0 × 10–17 [35] I12 O${}_2^- $ + O${}_2^+ $ → O2+ O2 2.0 × 10–13 [40] I13 O${}_2^- $ + O${}_2^+ $ → O + O + O2 4.2 × 10–13 [35] I14 O${}_2^- $ + O${}_2^+ $ +M→ O2+ O2+M 2.0 × 10–37 [38] I15 O–+ O${}_2^+ $ → O + O2 1.0 × 10–13 [35] I16 O–+ O${}_2^+ $ → O + O + O 2.6 × 10–14 [40] I17 O${}_2^- $ + O → O–+ O2 3.3 × 10–16 [38] I18 O${}_2^- $ + O2→ O2+ O2+e 2.18 × 10–24 [38] I19 O${}_2^- $ +M→ O2+M+e 2.7 × 10–16(Tg/300)0.5exp(–5590/Tg) [36] 序号 反应 速率系数 α 参考文献 N1 CO2+M→ CO + O +M 3.91 × 10–16exp(–49430/Tg) 0.8 [31] N2 CO2+ O → CO + O2 2.8 × 10–17exp(–26500/Tg) 0.5 [31,36] N3 CO2+ C→ CO + CO 1.0 × 10–21 — [39] N4 O + CO +M→ CO2+M 1.6 × 10–45exp(–1510/Tg) (M=CO2) [37] 8.2 × 10–46exp(–1510/Tg) (M=CO, O2) N5 O + C +M→ CO +M 2.14 × 10–41(Tg/300)–3.08exp(–2114/Tg) [36] N6 O + O +M→ O2+M 1.27 × 10–44(Tg/300)–1exp(–170/Tg) [42] N7 O2+ CO → CO2+ O 4.2 × 10–18exp(–24000/Tg) [36] N8 O2+ C → CO + O 3.0 × 10–17 [37] 序号 反应 速率系数 参考文献 V1 CO2v1 + CO2→ CO2+ CO2 7.14 × 10–14exp(–177Tg–1/3+451Tg–2/3) [43] V2 CO2v1 + CO → CO + CO2 0.7 × 7.14 × 10–14exp(–177Tg–1/3+451Tg–2/3) [43] V3 CO2v1 + O2→ O2+ CO2 0.7 × 7.14 × 10–14exp(–177Tg–1/3+451Tg–2/3) [43] V4 CO2v2 + CO2→ CO2+ CO2 1.071 × 10–15exp(–137Tg–1/3) [43] V5 CO2v2 + CO → CO + CO2 3.1 × 1.071 × 10–15exp(–137Tg–1/3) [43] V6 CO2v2 + O2→ O2+ CO2 3.1 × 1.071 × 10–15exp(–137Tg–1/3) [43] V7 CO2v2 + CO2→ CO2+ CO2v1 1.942 × 10–13exp(–177Tg–1/3+451Tg–2/3) [43] V8 CO2v2 + CO → CO + CO2v1 0.7 × 1.942 × 10–13exp(–177Tg–1/3+451Tg–2/3) [43] V9 CO2v2 + O2→ O2+ CO2v1 0.7 × 1.942 × 10–13exp(–177Tg–1/3+451Tg–2/3) [43] V10 CO2v3 + CO2→ CO2+ CO2v2 8.57 × 10–7exp(–404Tg–1/3+1096Tg–2/3) [43] V11 CO2v3 + CO → CO + CO2v2 0.3 × 8.57 × 10–7exp(–404Tg–1/3+1096Tg–2/3) [43] V12 CO2v3 + O2→ O2+ CO2v2 0.4 × 8.57 × 10–7exp(–404Tg–1/3+1096Tg–2/3) [43] V13 CO2v3 + CO2→ CO2+ CO2v4 1.431 × 10–11exp(–252Tg–1/3+685Tg–2/3) [43] V14 CO2v3 + CO → CO + CO2v4 0.3 × 1.431 × 10–11exp(–252Tg–1/3+685Tg–2/3) [43] V15 CO2v3 + O2→ O2+ CO2v4 0.4 × 1.431 × 10–11exp(–252Tg–1/3+685Tg–2/3) [43] V16 CO2v3 + CO2→ CO2v1 + CO2v2 1.06 × 10–11exp(–242Tg–1/3+633Tg–2/3) [43] V17 CO2v3 + CO2→ CO2+ CO2v1 4.25 × 10–7exp(–407Tg–1/3+824Tg–2/3) [43] V18 CO2v3 + CO → CO + CO2v1 0.3 × 4.25 × 10–7exp(–407Tg–1/3+824Tg–2/3) [43] V19 CO2v3 + O2→ O2+ CO2v1 0.4 × 4.25 × 10–7exp(–407Tg–1/3+824Tg–2/3) [43] V20 CO2v4 + CO2→ CO2+ CO2v2 2.897 × 10–13exp(–177Tg–1/3+451Tg–2/3) [43] V21 CO2v4 + CO → CO + CO2v2 0.7 × 2.897 × 10–13exp(–177Tg–1/3+451Tg–2/3) [43] V22 CO2v4 + O2→ O2+ CO2v2 0.7 × 2.897 × 10–13exp(–177Tg–1/3+451Tg–2/3) [43] V23 CO2v4 + CO2→ CO2+ CO2v1 1.071 × 10–15exp(–137Tg–1/3) [43] V24 CO2v4 + CO → CO + CO2v1 3.1 × 1.071 × 10–15exp(–137Tg–1/3) [43] V25 CO2v4 + O2→ O2+ CO2v1 3.1 × 1.071 × 10–15exp(–137Tg–1/3) [43] 序号 反应 速率系数 参考文献 E1 e + CO2→ e + CO2 f(σ) [32] E2 e + CO2vi→ e + CO2vi f(σ) [32] E3 e + CO2→ 2e + CO${}_2^+ $ f(σ) [32] E4 e + CO2vi→ 2e + CO${}_2^+ $ f(σ) [32] E5 e + CO2→ e + CO2e f(σ) [32] E6 e + CO2vi→ e + CO2e f(σ) [32] E7 e + CO2→ e + O + CO f(σ) [32] E8 e + CO2vi→ e + O + CO f(σ) [32] E9 e + CO2→ O–+ CO f(σ) [32] E10 e + CO2vi→ O–+ CO f(σ) [32] E11 e + CO2→ e + CO2v1 f(σ) [32] E12 e + CO2→ e + CO2v2 f(σ) [32] E13 e + CO2→ e + CO2v3 f(σ) [32] E14 e + CO2→ e + CO2v4 f(σ) [32] E15 e + CO → e + CO f(σ) [33] E16 e + CO → e + C + O f(σ) [33] E17 e + CO → C + O– f(σ) [33] E18 e + O2→ e + O2 f(σ) [34] E19 e + O2→ e + O + O f(σ) [34] E20 e + O2→ O + O– f(σ) [34] E21 e + O2→ 2e + O${}_2^+ $ f(σ) [34] 波长/nm 振动能级(ν'→ν'') Δν 200.5 1→8 7 208.9 5→12 7 221.6 3→12 9 224.7 8→16 8 228.6 6→15 9 235.6 5→15 10 波长/nm 振动能级(ν'→ν'') Δν 244.5 1→3 2 247.4 2→4 2 253.0 4→6 2 257.7 1→4 3 波长/nm 振动能级(ν'→ν'') Δν 283 0→0 0 297 0→1 1 313 0→2 2 波长/nm 振动能级(ν'→ν'') Δν 451 0→0 0 483 0→1 1 520 0→2 2 561 0→3 3 608 0→4 4 -
[1] [2] [3] [4] [5] [6] [7] [8] [9] [10] [11] [12] [13] [14] [15] [16] [17] [18] [19] [20] [21] [22] [23] [24] [25] [26] [27] [28] [29] [30] [31] [32] [33] [34] [35] [36] [37] [38] [39] [40] [41] [42] [43] [44] [45] [46] [47] [48]
计量
- 文章访问数:5423
- PDF下载量:86
- 被引次数:0












下载:













