-
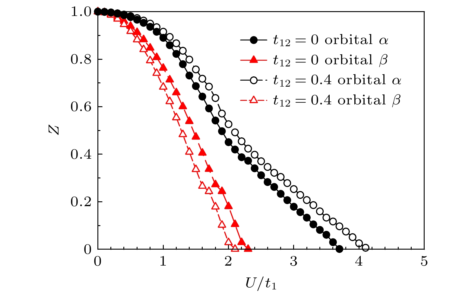
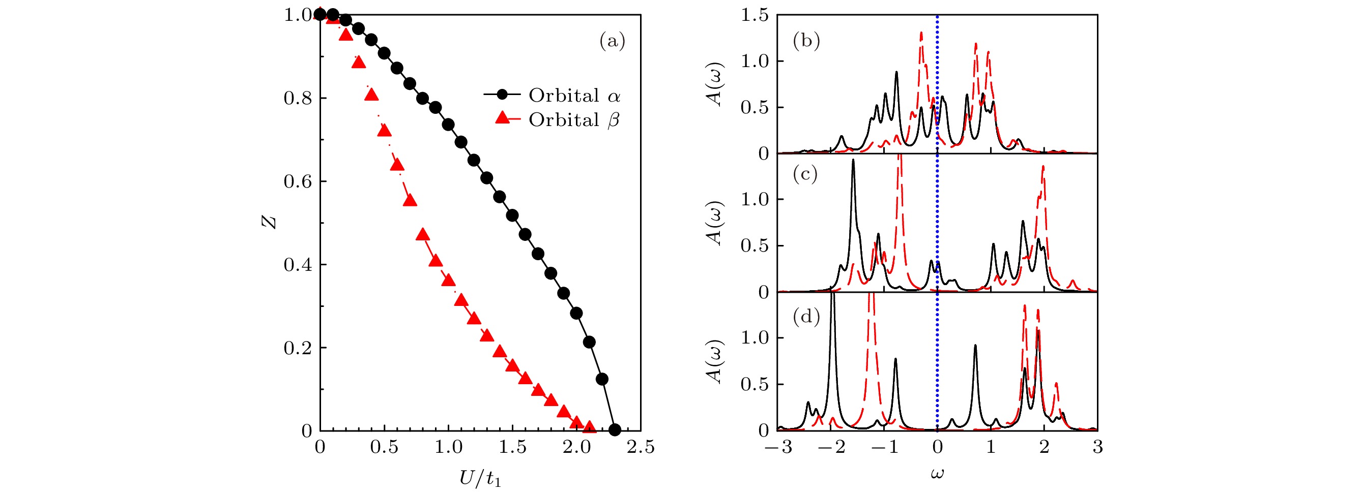
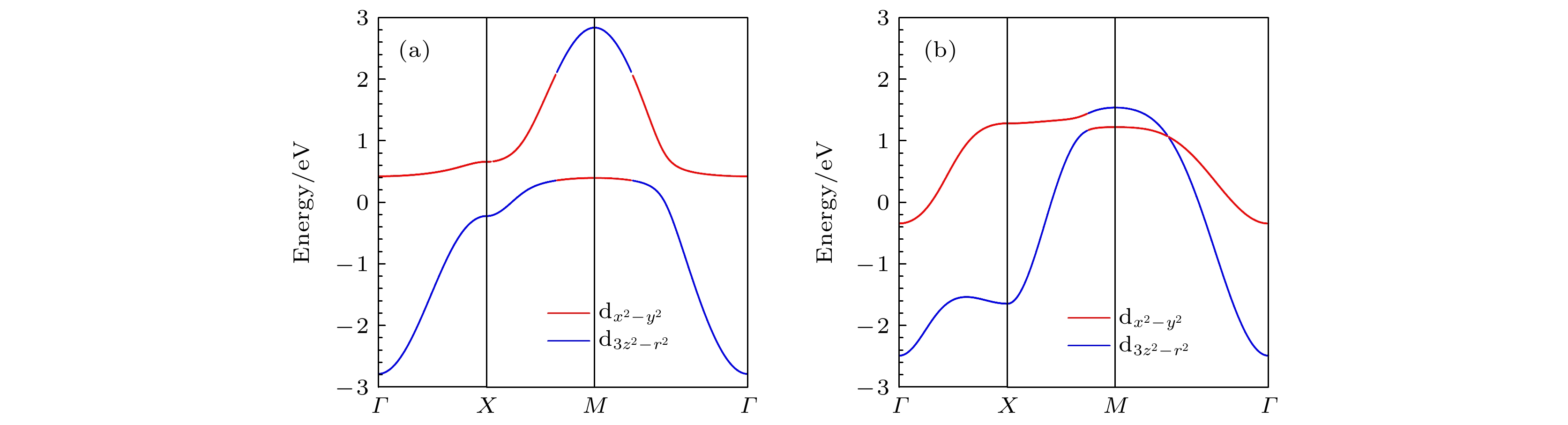
基于以Lanczos方法为杂质求解器的动力学平均场理论, 研究了非局域轨道间跃迁对于双轨道强关联体系中轨道选择Mott相变的影响. 计算了轨道间跃迁系数不同的双轨道Hubbard模型的准粒子权重和态密度, 并构建了它们在相互作用强度 U和轨道带宽比 t 2/ t 1影响下的相图. 通过正则变换引入两个有效的退耦和轨道, 在一定条件下轨道间跃迁会有利于轨道选择Mott相变的发生. 还比较了Bethe晶格和正方晶格的相图, 虽然基于两种不同晶格能带结构得到的轨道选择Mott相变的相变点存在一定的差异, 但其中关于轨道选择Mott相变的基本物理图像具有一致性. 并将方法拓展到半满的Ba 2CuO 4–δ材料的研究中, 与根据密度泛函理论得到的能带对比, 我们发现各向同性的轨道间跃迁对能带结构影响较大, 进一步采用动量空间各向异性的非局域轨道间跃迁项, 得到了材料的相图, 在半满条件下Ba 2CuO 4–δ应为轨道选择Mott材料.
-
关键词:
- 动力学平均场理论/
- Mott相变/
- 双轨道Hubbard模型
The effect of interorbital hopping on orbital selective Mottness in a two-band correlation system is investigated by using the dynamical mean-field theory with the Lanczos method as impurity solver. The phase diagrams of the two-orbital Hubbard model with non-local interorbital hopping ( t 12) , where the orbital selective Mott phases (OSMP) region is expanded by the increasing of the interorbital hopping. We compare the results obtained by self-consistent relations of Bethe lattice and squate lattice based on DMFT procedure, and the general OSMP physics of Bethe lattice is consistent with that of the square lattice while the critical points of two kinds of lattices are different. We extend the method to the study of half-filled Ba 2CuO 4–δmaterials. By comparing with the band structure obtained from the density functional theory (DFT), it is found that the isotropic inter-orbital hopping has a great influence on the bandstructure. The DFT bandstructure in DMFT is considered, and the phase diagram of the material is obtained. The half-filled Ba 2CuO 4–δshould be orbital-selective Mott compound according to our results.[1] [2] [3] [4] [5] [6] [7] [8] [9] [10] [11] [12] [13] [14] [15] [16] [17] [18] [19] [20] [21] [22] [23] [24] [25] [26] [27] [28] [29] [30] [31] [32] [33] [34] [35] [36] [37] [38] [39] [40] [41] [42] [43] [44] [45] [46] [47] -
on-site energy (ε) 1sthopping (t) 2ndhopping ($t^\prime$) 3rdhopping ($t^{\prime\prime}$) Orbital ${\rm{d}}_{x^2-y^2}$ –0.222 0.504 –0.067 0.130 Orbital ${\rm{d}}_{3 z^2-r^2}$ 0.661 0.196 0.026 0.029 inter-orbital 0 –0.302 0 –0.051 -
[1] [2] [3] [4] [5] [6] [7] [8] [9] [10] [11] [12] [13] [14] [15] [16] [17] [18] [19] [20] [21] [22] [23] [24] [25] [26] [27] [28] [29] [30] [31] [32] [33] [34] [35] [36] [37] [38] [39] [40] [41] [42] [43] [44] [45] [46] [47]
计量
- 文章访问数:5573
- PDF下载量:214
- 被引次数:0












下载:






