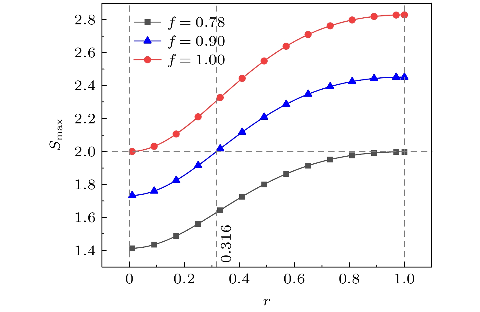
Quantum nonlocal correlation is one of the important features that distinguish the quantum theory from classical theory. As a typical quantum mixed state, the study of quantum nonlocal correlation based on the “X” state is of great importance for the verification of the correctness of quantum theory and the application of quantum information theory. In this work, with the traditional Clauser-Horne-Shimony-Holt (CHSH) inequality testing for quantum nonlocal correlations, we propose a strategy for testing the quantum nonlocal correlations based on the geometric interpretation of the “X” state. By using the geometric interpretation of the “X” state, which is described by the transform of Bloch sphere, it is possible to investigate the optimal selection of measurement settings. The maximum value of CHSH inequalities can also obtained from the physical images. Finally, the range of parameters for a successful quantum nonlocal correlation testing based on the CHSH inequality for the “X” state is studied. The results show that when
$f = 1$
, the “X” state will be reduced to a normal pure entangled state, and the quantum nonlocal correlation testing results are in full agreement with the traditional ones. This result proves the correctness of the geometric interpretation strategy proposed in this work. When
$f \lt 1$
, only some of the “X” states can be used for e successfully testing the quantum nonlocal correlations. It is also found that the range of fidelity values that can successfully test the quantum nonlocal correlations will be further increased by increasing the values of
r. In particular, when
r= 1, the range of fidelity value will reach a largest one (e.g.
$f \gt 0.781$
). The results in this work can provide the reference for experimentally testing the quantum nonlocal correlation by using the “X” state.