-
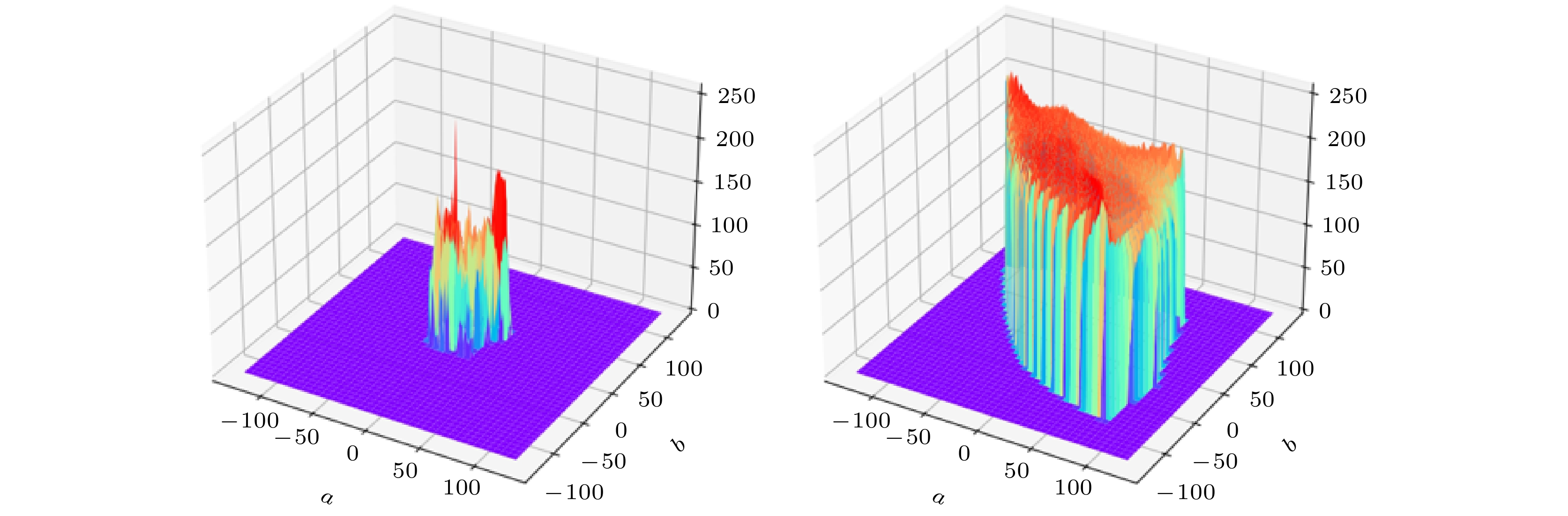
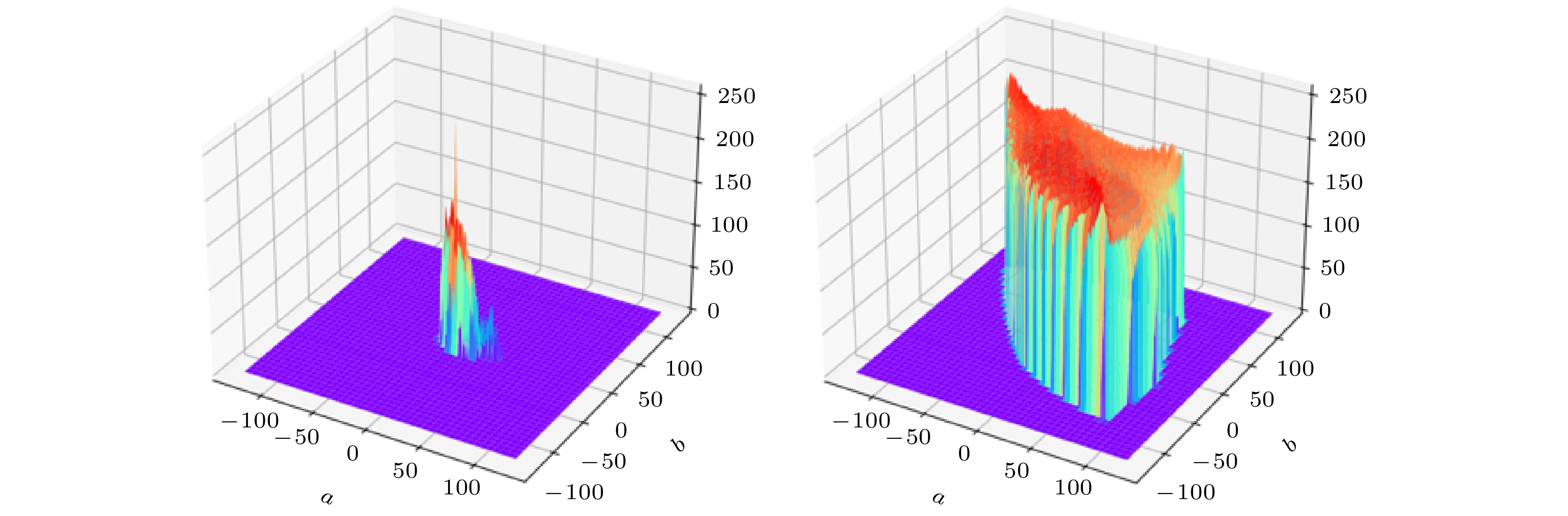
随着互联网的发展, 人们对于信息安全的需求日益增加, 而经典的加密技术存在着密钥空间小、易破解的缺陷, 图像加密技术在保护图像信息安全和隐私内容等方面的问题亟待解决. 量子随机行走作为一种新型量子密钥生成器, 其密钥空间大, 与经典随机行走相比计算速度与安全性有着明显的提高. 本文提出一种基于量子随机行走并涉及Lorenz和Rossler 多维混沌的三维图像加密算法. 首先应用高斯金字塔对图像进行处理然后按照一定比例将处理后的图像切割成4份; 其次使用量子随机行走生成的随机序列与多维混沌中的Lorenz 混沌系统生成的随机序列对分成的若干块子图像进行汉明距离计算然后进行合成, 并且对图像RGB 三通道之间进行欧氏距离计算; 最后将汉明距离与欧式距离取余得到的序列值作为初始值输入多维混沌中的Rossler系统, 生成随机序列作为密钥对图像的RGB 通道进行异或操作得到加密后的图像, 对应解密方案为加密过程逆过程. 此外, 本文采用基于离散余弦变换和奇异值分解的盲水印嵌入算法将水印信息嵌入到加密后的图像中, 实现接收方可以通过提取水印, 根据水印信息的完整性来判断传输过程中图像是否遭受到攻击破坏, 如无遭受恶意攻击, 则对图像进行解密操作. 这一操作完善了对图像信息安全的保护. 实验结果表明加密后图像的峰值信噪比稳定在7—9之间加密效果较好, 灰度差评分接近1, 加密图像的相关性均匀分布, 其相关性系数接近0, 密钥空间2 128且加密后的直方图分布均匀, 具有较高的抵御统计分析攻击的能力.With the development of computer network technology, people’s requirements for information security is increasing day by day. However, the classical encryption technology has the defects of small key space and easy crack. The problems of image encryption technology in protecting image information security and private content need solving urgently. As a new type of quantum key generator, quantum random walk has a large key space. Compared with the classical random walk, the computing speed and security are significantly improved. This paper presents a three-dimensional image encryption algorithm that is based on quantum random walk and involves Lorenz and Rossler multidimensional chaos. Firstly, Gaussian pyramid is used to segment the image. Secondly, the Hamming distances of several sub images are calculated by using the random sequence generated by quantum random walk and the random sequence generated by Lorenz chaotic system in multi-dimensional chaos, and then synthesized, and the Euclidean distances between the three RGB channels of the image are calculated. Finally, the sequence value obtained from the remainder of Hamming distance and Euclidean distance, as an initial value is input into the Rossler system in multi-dimensional chaos to generate a random sequence which is used as the key to XOR the RGB channel of the image so as to create an encrypted image. The corresponding decryption scheme is the inverse process of the encryption process. In addition, in terms of transmission security, this paper uses a blind watermark embedding algorithm based on DCT and SVD to embed the watermark information into the encrypted image, so that the receiver can extract the watermark and judge whether the image is damaged by the attack in the transmission process according to the integrity of the watermark information. If it is not attacked maliciously, the image will be decrypted. This operation further improves the protection of image information security.The experimental results show that the peak signal-to-noise ratio of the encrypted image is stable between 7 and 9 and the encryption effect is good, the GVD score is close to 1, the correlation of the encrypted image is uniformly distributed, and the correlation coefficient is close to 0, and the key space is 2 128in size and the encrypted histogram is evenly distributed, showing a high ability to resist statistical analysis attacks.
-
Keywords:
- quantum walk/
- chaotic model/
- image encryption/
- blind watermarking
[1] [2] [3] [4] [5] [6] [7] [8] [9] [10] [11] [12] [13] [14] [15] [16] [17] [18] [19] [20] [21] [22] [23] [24] [25] [26] [27] [28] [29] [30] [31] [32] [33] [34] [35] [36] -
图像 通道 Horizontal Vertical Diagonal 图像1 R 0.9985 0.9990 0.9976 G 0.9980 0.9988 0.9973 B 0.9980 0.9991 0.9975 加密图像1 R –0.0136 –0.0325 –0.0304 G 0.0304 0.0014 0.0251 B –0.0234 0.0221 0.0051 图像 通道 Horizontal Vertical Diagonal 图像2 R 0.9910 0.9858 0.9752 G 0.9954 0.9941 0.9883 B 0.9969 0.9962 0.9930 加密图像2 R –0.0136 –0.0325 –0.0304 G 0.0304 0.0014 0.0251 B –0.0234 0.0221 0.0051 图像 通道 Horizontal Vertical Diagonal 图像3 R 0.9293 0.9631 0.8961 G 0.9077 0.9522 0.8648 B 0.9011 0.9379 0.8484 加密图像3 R –0.0069 –0.0081 –0.0218 G –0.0070 0.0065 –0.0245 B –0.0117 0.0249 –0.0134 图像 通道 Horizontal Vertical Diagonal 图像4 R 0.9568 0.9750 0.9379 G 0.9449 0.9665 0.9170 B 0.9540 0.9746 0.9346 加密图像4 R –0.0162 –0.0055 0.0147 G 0.0006 0.0003 –0.0060 B 0.0207 –0.0291 0.0017 GVD 原始-加密
图像1原始-加密
图像2原始-加密
图像3原始-加密
图像4R 0.9993 0.995 0.9755 0.9809 G 0.9993 0.9947 0.9763 0.9815 B 0.9993 0.995 0.9804 0.9826 图像 通道 NPCR/% UACI/% 图像1 R 99.5687 33.4381 G 99.6098 33.4594 B 99.6180 33.4347 图像2 R 99.5690 33.4386 G 99.6100 33.4598 B 99.6186 33.4350 图像3 R 99.5684 33.4378 G 99.6094 33.4588 B 99.6174 33.4437 图像4 R 99.5688 33.4376 G 99.6088 33.4590 B 99.6170 33.4347 PSNR 原始-加密
图像1原始-加密
图像2原始-加密
图像3原始-加密
图像4R 7.691 8.376 9.369 9.582 G 7.755 8.132 8.686 9.193 B 7.479 7.747 6.782 7.782 PSNR 加密-嵌入
水印1加密-嵌入
水印2加密-嵌入
水印3加密-嵌入
水印4R 38.81 38.81 38.8 38.79 G 40.28 40.29 40.26 40.28 B 35.46 35.48 35.47 35.47 -
[1] [2] [3] [4] [5] [6] [7] [8] [9] [10] [11] [12] [13] [14] [15] [16] [17] [18] [19] [20] [21] [22] [23] [24] [25] [26] [27] [28] [29] [30] [31] [32] [33] [34] [35] [36]
计量
- 文章访问数:3976
- PDF下载量:136
- 被引次数:0












下载:





















