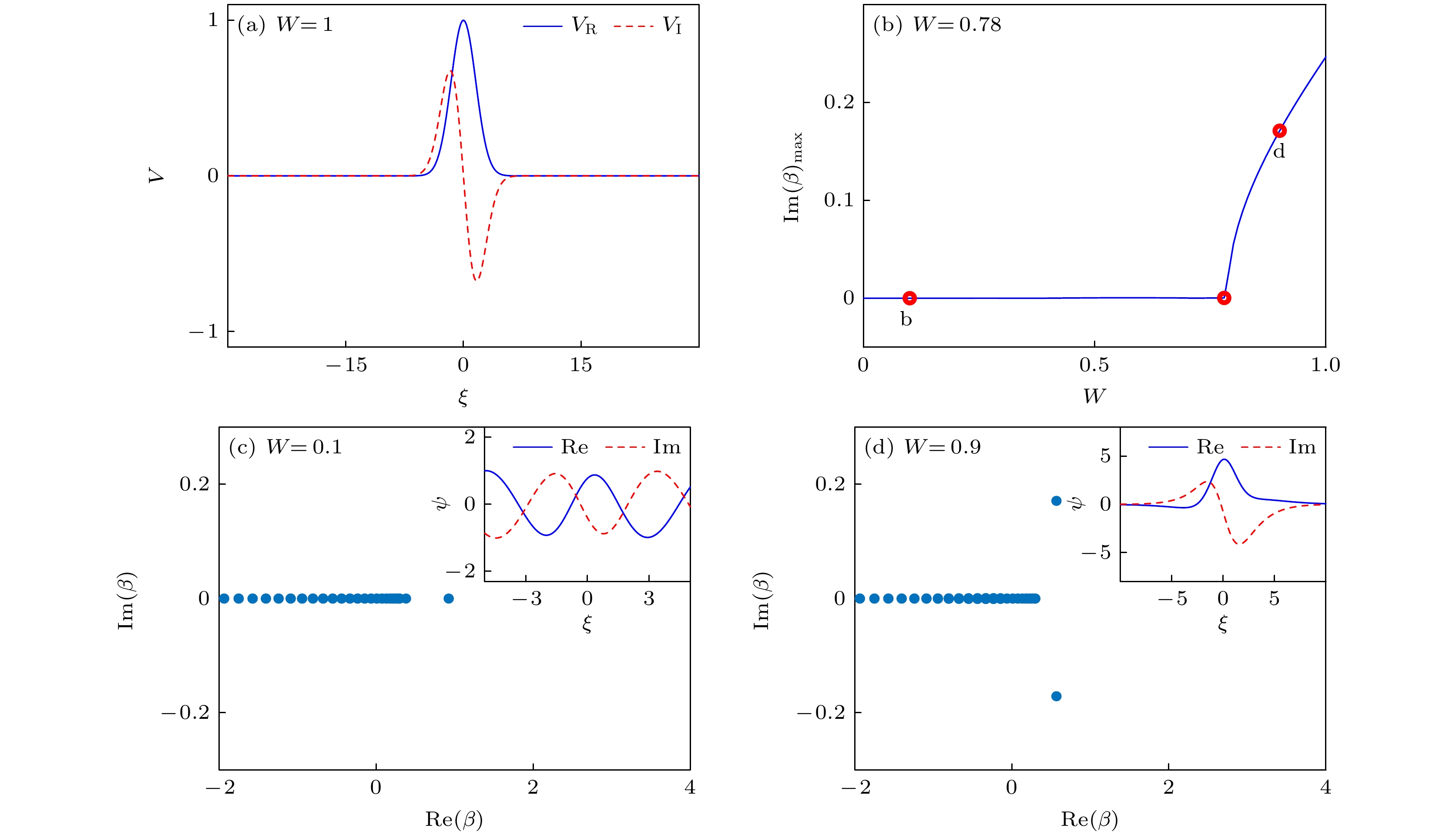
By constructing the spatial distribution of external potential and incoherent pumping, a
$ {\cal{PT}} $
symmetrical model satisfied by the one-dimensional incoherent pumped exciton-polariton condensate system is designed. In the weakly nonlinear case, the
$ {\cal{PT}} $
symmetrical phase transition point is found, and the linear spectrum is shown. In the normal nonlinear case, found are the bright soliton with the zero background, the multi-poles dark solitons with zero background, the symmetry breaking dark solitons and symmetrical dark soliton with the homogeneous background, and the dip- and hump-type dark solitons with the homogeneous background, and discussed are the effects of inhomogeneous pumping and the imaginary part of external potential on the profiles and the stability of solitons. Through these results, the competition between
$ {\cal{PT}} $
symmetrical potential and the inhomogeneous pumping is understood, the scheme that how the bright and dark solitons are excited is presented, and the existence and stability regions of these solitons are determined. Finally, the symmetry breaking dark solitons are controlled by modulating the imaginary part of the
$ {\cal{PT}} $
symmetrical potential, which reveals the potential applications of the polariton condensate system in optical information processing, such as the all-optical switches.