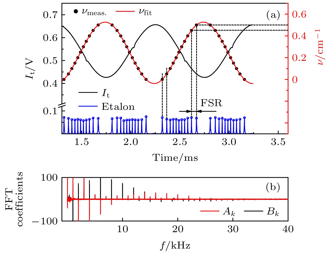
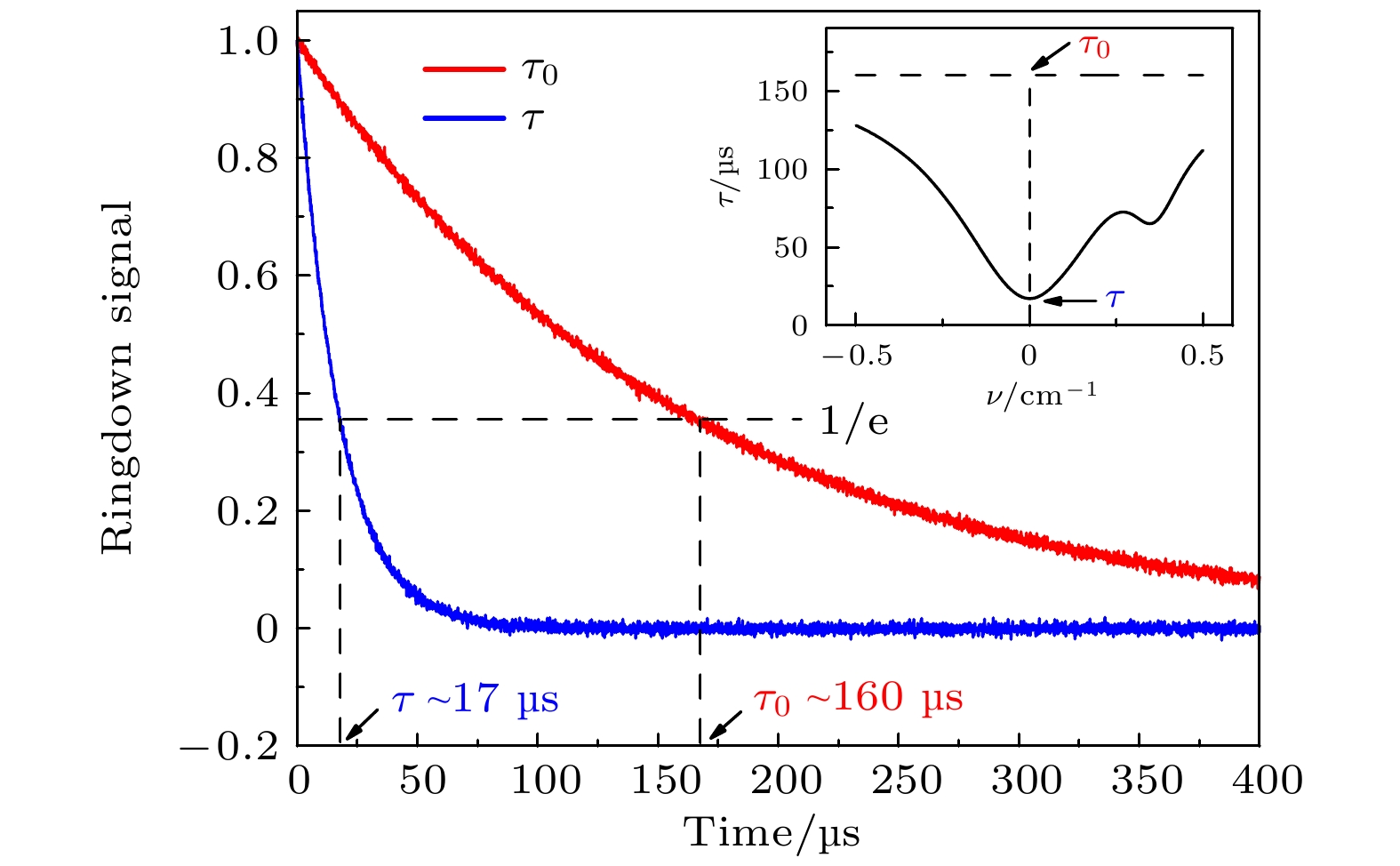
| [1] |
熊枫, 彭志敏, 王振, 丁艳军, 吕俊复, 杜艳君.CO2/CO干扰下基于腔衰荡吸收光谱的痕量H2S浓度测量. 必威体育下载 , 2023, 72(4): 043302.doi:10.7498/aps.72.20221851 |
| [2] |
田思迪, 杜艳君, 李济东, 丁艳军, 彭志敏, 吕俊复, 潘超, 冯小雅.H2S分子6320—6350 cm–1波段谱线参数高精度测量. 必威体育下载 , 2023, 72(2): 024205.doi:10.7498/aps.72.20221855 |
| [3] |
黄知秋, 张猛, 彭志敏, 王振, 杨乾锁.注入光有限相干性对衰荡腔测试方法的影响及求解衰荡时间的强度积分法. 必威体育下载 , 2023, 72(18): 184205.doi:10.7498/aps.72.20230448 |
| [4] |
王兴平, 赵刚, 焦康, 陈兵, 阚瑞峰, 刘建国, 马维光.更正: 光学反馈线性腔衰荡光谱技术不确定性[必威体育下载 2022, 71(12): 124201]. 必威体育下载 , 2022, 71(15): 159901.doi:10.7498/aps.71.159901 |
| [5] |
饶冰洁, 张攀, 李铭坤, 杨西光, 闫露露, 陈鑫, 张首刚, 张颜艳, 姜海峰.用于光腔衰荡光谱测量的多支路掺铒光纤飞秒光梳系统. 必威体育下载 , 2022, 71(8): 084203.doi:10.7498/aps.71.20212162 |
| [6] |
王兴平, 赵刚, 焦康, 陈兵, 阚瑞峰, 刘建国, 马维光.光学反馈线性腔衰荡光谱技术不确定性. 必威体育下载 , 2022, 71(12): 124201.doi:10.7498/aps.70.20220186 |
| [7] |
王兴平, 赵刚, 焦康, 陈兵, 阚瑞峰, 刘建国, 马维光.光学反馈线性腔衰荡光谱技术不确定性研究. 必威体育下载 , 2022, 0(0): 0-0.doi:10.7498/aps.71.20220186 |
| [8] |
刘建鑫, 赵刚, 周月婷, 周晓彬, 马维光.高反射腔镜双折射效应对腔增强光谱技术的影响. 必威体育下载 , 2022, 71(8): 084202.doi:10.7498/aps.71.20212090 |
| [9] |
王振, 杜艳君, 丁艳军, 李政, 彭志敏.波长调制-直接吸收光谱(WM-DAS)在线监测大气CO浓度. 必威体育下载 , 2022, 71(4): 044205.doi:10.7498/aps.71.20211772 |
| [10] |
王振, 杜艳君, 丁艳军, 李政, 彭志敏.波长调制-直接吸收光谱(WM-DAS)在线监测大气CO浓度. 必威体育下载 , 2021, (): .doi:10.7498/aps.70.20211772 |
| [11] |
王振, 杜艳君, 丁艳军, 彭志敏.基于波长调制-直接吸收光谱方法的CO分子1567 nm处谱线参数高精度标定. 必威体育下载 , 2020, 69(6): 064204.doi:10.7498/aps.69.20191865 |
| [12] |
王振, 杜艳君, 丁艳军, 彭志敏.波长调制-直接吸收方法在线监测大气中CH4和CO2浓度. 必威体育下载 , 2020, 69(6): 064205.doi:10.7498/aps.69.20191569 |
| [13] |
王金舵, 余锦, 貊泽强, 何建国, 代守军, 孟晶晶, 王晓东, 刘洋.连续波腔衰荡光谱技术中模式筛选的数值方法. 必威体育下载 , 2019, 68(24): 244201.doi:10.7498/aps.68.20190844 |
| [14] |
王振, 杜艳君, 丁艳军, 彭志敏.基于傅里叶变换的波长扫描腔衰荡光谱. 必威体育下载 , 2019, 68(20): 204204.doi:10.7498/aps.68.20191062 |
| [15] |
贾梦源, 赵刚, 侯佳佳, 谭巍, 邱晓东, 马维光, 张雷, 董磊, 尹王保, 肖连团, 贾锁堂.双重频率锁定的腔衰荡吸收光谱技术及信号处理. 必威体育下载 , 2016, 65(12): 128701.doi:10.7498/aps.65.128701 |
| [16] |
胡仁志, 王丹, 谢品华, 凌六一, 秦敏, 李传新, 刘建国.二极管激光腔衰荡光谱测量大气NO3自由基. 必威体育下载 , 2014, 63(11): 110707.doi:10.7498/aps.63.110707 |
| [17] |
王晓波, 马维光, 王晶晶, 肖连团, 贾锁堂.单光子波长调制吸收光谱用于1.5 m激光器的波长锁定. 必威体育下载 , 2012, 61(10): 104205.doi:10.7498/aps.61.104205 |
| [18] |
李宁, 翁春生.非标定波长调制吸收光谱气体测量研究. 必威体育下载 , 2011, 60(7): 070701.doi:10.7498/aps.60.070701 |
| [19] |
曹 琳, 王春梅, 陈扬骎, 杨晓华.光外差腔衰荡光谱理论研究. 必威体育下载 , 2006, 55(12): 6354-6359.doi:10.7498/aps.55.6354 |
| [20] |
赵宏太, 柳晓军, 曹俊文, 彭良友, 詹明生.Ba原子6s6p1P1←6s6s1S0跃迁的光腔衰荡光谱. 必威体育下载 , 2001, 50(7): 1274-1278.doi:10.7498/aps.50.1274 |