Normal ultrasound contrast agents (UCAs) loaded with magnetic nanoparticles are called magnetic microbubbles (MMBs), which can be used in multimodal imaging, thrombolytic therapy, and targeted drug delivery. The MMBs are often studied by
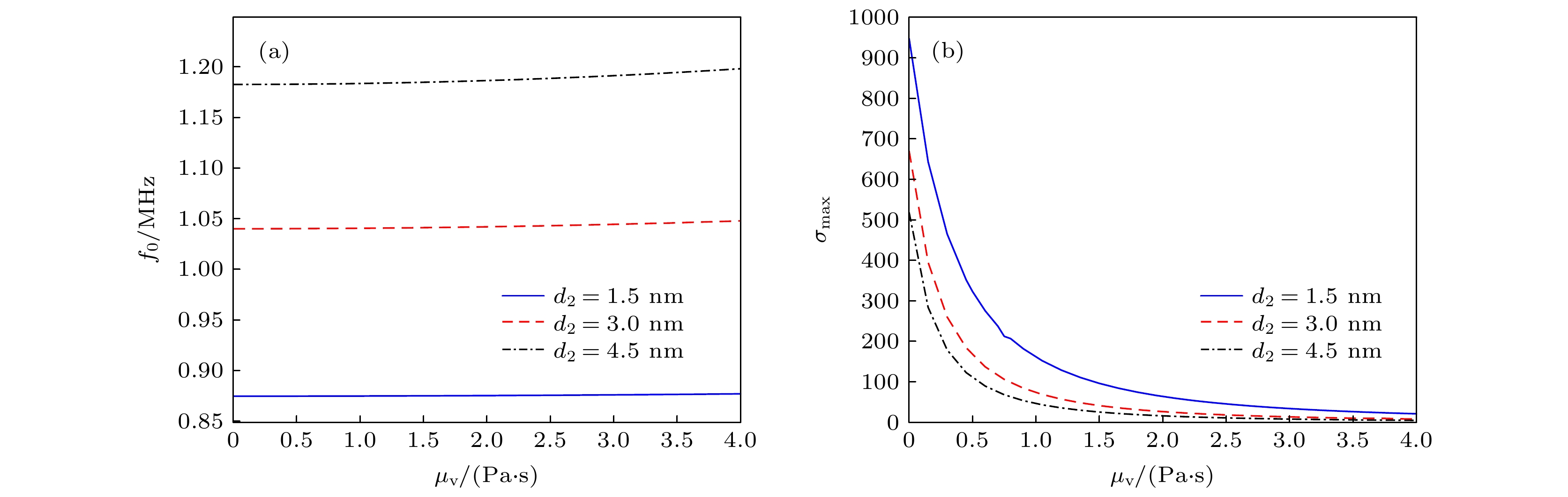
in situmeasurement techniques, however scattering model is the basis of inversion techniques. Therefore, we develop a scattering model of multilayer structured MMBs with magnetic fluid inner layer and phospholipid outer layer, in which outer layer’s viscoelasticity and the effect of nanoparticles on inner layer’s density are considered, while scattered sound fields in each region are obtained by solving normal series. The MMB model is compared with other bubbles, and its acoustic scattering characteristics are analyzed numarically, including the effects of radius, magnetic nanoparticle volume fraction, inner layer thickness and outer layer characteristics parameters. The results show that when the volume fraction
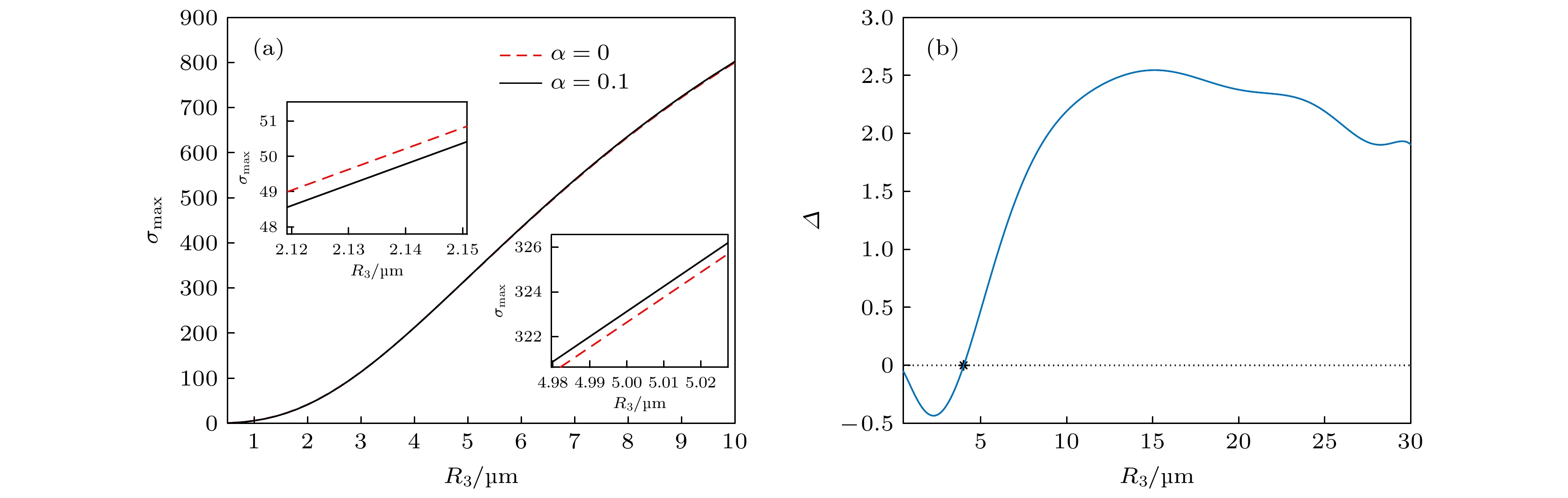
αof magnetic nanoparticles in the inner layer does not exceed 0.1, magnetic nanoparticles have a two-sided effect on resonant scattering of MMBs, depending mainly on its radius, and the bubble has a critical radius value. If the radius of MMBs exceeds this critical value, the particles will enhance scattering, on the contrary, if the radius of MMBs is smaller than this critical value, the particles will reduce scattering; for a given microbubble radius, when
αis not more than 0.1, the larger the
αvalue
,the stronger the resonant scattering of MMBs will be; the smaller the thickness of the inner film layer and outer film layer or the Larmé constant, the stronger the scattering will be. This study provides a theoretical guidance for the optimal structural design of MMBs and its
in situmonitoring and therapeutic applications.