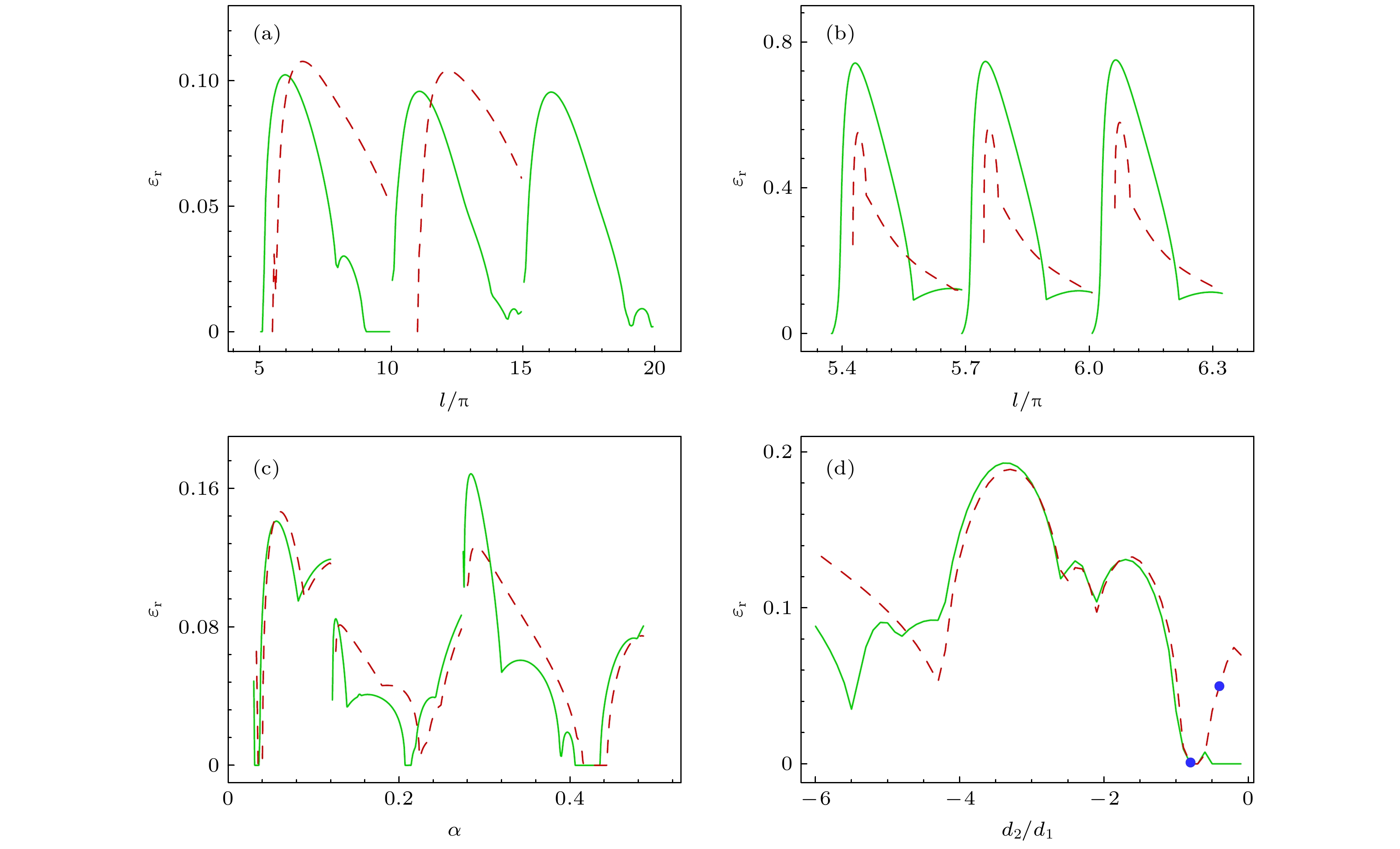
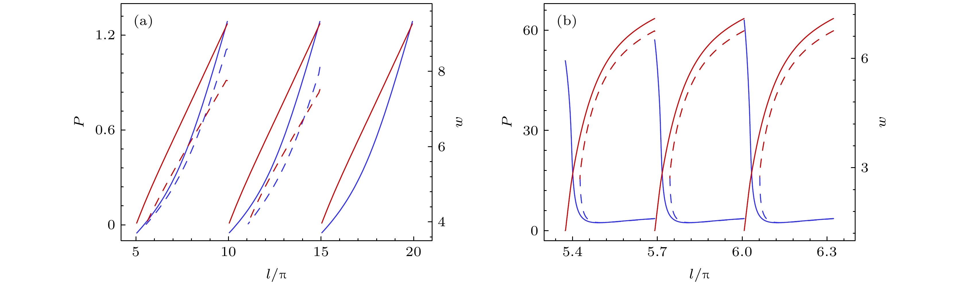
In this paper, we theoretically study the influence of cubic nonlinearity effect on quadratic solitons in the boundary-constrained self-focusing oscillatory response function system. Based on the Newton iteration approach, we numerically solve the nonlinear coupled-wave equations with both quadratic and cubic nonlinearity. Moreover, a family of quadratic solitons is obtained. By comparing the quadratic solitons with both quadratic and cubic nonlinearity with those with only quadratic nonlinearity, we find that the cubic nonlinearity changes the transverse distribution of the soliton profiles only slightly. However, because of the existence of the cubic nonlinearity, quadratic solitons can be found only in the strongly nonlocal case and general nonlocal case, and they cannot be found in the weakly nonlocal case, in which the quadratic solitons with only quadratic nonlinearity can be found. In addition, the existence of cubic nonlinearity reduces the number of extended half-periods of the quadratic solitons. Through the linear stability analysis of the obtained soliton solutions, it is found that the stability intervals of solitons are also shrunk due to the existence of the cubic nonlinearity. The results of the linear stability analysis are verified by the numerical simulations of soliton propagations through using the split-step Fourier method.