专题: 面向类脑计算的物理电子学
编辑推荐
2022, 71 (21): 210702.
doi:10.7498/aps.71.20220974
摘要 +
神经形态芯片是一种新兴的AI芯片. 神经形态芯片基于非冯·诺依曼架构, 模拟人脑的结构和工作方式, 相比冯·诺依曼架构的AI芯片, 神经形态芯片在效率和能耗上有显著的优势. 3D-NAND闪存工艺成熟并且存储密度极高, 基于3D-NAND的神经形态芯片受到许多研究者的关注. 然而由于该技术的专利性质, 少有基于3D-NAND神经形态计算的硬件实现. 本文综述了用3D-NAND实现神经形态计算的工作, 介绍了其中前向传播和反向传播的机制, 并提出了目前3D NAND在器件、结构和架构上需要的改进以适用于未来的神经形态计算.
编辑推荐
2022, 71 (21): 218504.
doi:10.7498/aps.71.20221424
摘要 +
近年来, 人工智能的发展对计算和存储的需求不断提升. 但是, 摩尔定律的放缓以及传统冯·诺依曼架构中计算与存储单元的分离, 导致了大量数据在搬运过程中功耗增加和时间延迟, 致使集成电路以及芯片设计面临越来越多的挑战. 这迫切需要开发新型计算范式来应对这种挑战. 而基于存算一体架构的神经形态器件, 可利用欧姆定律和基尔霍夫定律实现原位计算, 从而有望克服传统冯·诺依曼架构瓶颈. 通过调节具有“记忆”功能的忆阻器阻值, 实现类似生物大脑的人工神经网络, 并对复杂网络信号进行处理, 例如图像识别、模式分类和决策执行等. 二维材料由于其层状超薄特性和新奇的物理效应, 为进一步缩小器件尺寸并实现感存算一体提供了方案. 本文综述了基于二维材料的神经形态器件中的物理效应和忆阻特性, 并详细阐述了神经形态器件对LIF (leaky integrate and fire)模型、Hodgkin-Huxley模型等神经元模型以及长期可塑性、短期可塑性、放电时间依赖可塑性和尖峰频率依赖可塑性的模拟. 在此基础上, 进一步介绍了基于二维材料的神经形态器件在视觉、听觉以及触觉等领域的探索性应用. 最后本文总结了当前研究领域面临的问题以及对未来应用前景的展望.
综述
2022, 71 (21): 218101.
doi:10.7498/aps.71.20221046
摘要 +
光致变色材料作为一种自适应型智能材料, 在智能窗户、光电传感器、光学存储等领域均有广泛的应用. 稀土含氧氢化物(REHxOy)薄膜作为一种新型光致变色材料, 自发现以来, 就以其高效可逆的变色性能、简单可重复的制备方法、快速的着褪色时间受到了大量的关注. 本文基于近年来针对稀土含氧氢化物光致变色薄膜的结构组成、变色机理、性能调控的研究现状进行了综述. REHxOy薄膜可以响应紫外光和可见光的激发, 对全光谱波段透过率进行大幅调节. 光致变色机理可归类为晶格收缩机制、氧交换机制、局部金属相变、氢迁移机制4种解释. 目前可以通过控制薄膜形貌、设计化学组分、提高衬底适配、多层膜结构设计等方式进行性能调控. 最后对薄膜之后的研究重点进行了展望.
总论
2022, 71 (21): 210201.
doi:10.7498/aps.71.20220839
摘要 +
SiO2/聚四氟乙烯(polytetrafluoroethylene, PTFE)复合介质材料的热膨胀系数和介电常数主要受到SiO2填充量的影响, 如何准确预测其影响至今仍是一个很大的挑战. 本文通过数值模拟系统地研究SiO2/PTFE复合介质材料的热膨胀系数和介电常数. 结果表明, 随着SiO2填充量的增加, SiO2/PTFE复合介质材料的热膨胀系数降低, 介电常数增加, 且与文献报道数据取得良好的一致性(Han K K, Zhou J, Li Q Z, Shen J, Qi Y Y, Yao X P, Chen W
2020
J. Mater. Sci. Mater. Electron.
319196
). 研究发现, 实心SiO2球(体积分数为30%)/PTFE复合介质材料的热膨胀系数最小, 为7.5×10–5K–1; 而空心SiO2球(体积分数为10%)/PTFE的介电常数最小, 为2.06. 由于底部的实心SiO2球充当支撑作用, 底部实心SiO2球较密集的实心SiO2/PTFE复合介质材料具有更低的热膨胀系数. SiO2填料的大长径比会降低SiO2/PTFE复合介质材料的热膨胀系数. 成型工艺对实心SiO2/PTFE复合介质材料的热膨胀系数几乎没有影响. 该工作为通过调控SiO2/PTFE复合介质材料的微观结构来控制其热膨胀系数和介电常数提供清晰的思路.
2022, 71 (21): 210301.
doi:10.7498/aps.71.20220751
摘要 +
在轨道角动量守恒的无自旋-轨道耦合系统中存在带轨道角动量量子数的电子涡旋波解, 研究了存在自旋-轨道耦合, 轨道角动量不守恒的系统, 发现携带总角动量量子数的电子旋量波函数也有涡旋波解, 表现为自旋波函数和涡旋波波函数的纠缠波函数. 以中心力场中的电子为例, 构建了自旋-轨道耦合导致的轨道角动量不守恒但总角动量守恒的情况下, 携带固定总角动量量子数的电子沿
$z$
轴传播的涡旋波旋量波函数结构. 对自旋-涡旋纠缠中相应的电子涡旋波进行了微扰求解, 并结合Foldy-Wouthuysen变换, 说明了在相对论情况下, 中心力场中携带固定总角动量量子数的电子沿
$z$
轴传播时也确实存在四分量旋量的涡旋解, 从而为有自旋-轨道耦合导致的轨道角动量不守恒但总角动量守恒的系统提供了存在涡旋结构的理论支持.
编辑推荐
2022, 71 (21): 210302.
doi:10.7498/aps.71.20220697
摘要 +
研究了在周期驱动拉曼耦合下的可调自旋-轨道耦合玻色-爱因斯坦凝聚体的能带结构、非线性朗道-齐纳隧穿动力学以及隧穿率. 利用高频近似得到了与时间无关的Floquet哈密顿量, 发现周期驱动可以有效地调控自旋-轨道耦合和非线性相互作用. 与两能级模型对比, 解析地得到了能带出现loop的临界条件以及loop的宽度. 研究发现, 当种内原子间相互作用等于种间原子间相互作用时, 不出现loop结构. 而当种内原子间相互作用小于(大于)种间原子间相互作用时, loop出现在下(上)能带. 此时, 自旋-轨道耦合和拉曼耦合都会抑制loop的出现. 特别地, 通过调节外部驱动能控制能带出现loop结构的临界条件. 还研究了可调自旋-轨道耦合玻色-爱因斯坦凝聚体的隧穿动力学. 通过调节周期驱动强度可以调控系统的隧穿动力学, 控制在动量空间发生非线性朗道-齐纳隧穿的位置, 并使系统的自旋组分发生翻转. 最后计算了系统的朗道-齐纳隧穿率, 研究表明周期驱动能够有效调控系统的隧穿率.
编辑推荐
2022, 71 (21): 210303.
doi:10.7498/aps.71.20221053
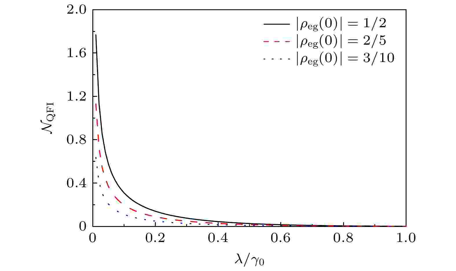
摘要 +
近年来, 量化开放量子系统中的非马尔科夫效应已经成为了量子消相干控制领域研究中的一个重要科学问题. 本文对于单个开放的两能级系统, 将基于量子Fisher信息的非马尔科夫度量从系统初态为纯态的情况推广到系统初态为任意态的情况. 作为该非马尔科夫度量的应用, 分别研究了利用量子Fisher信息在检测一个两能级系统受到零温度振幅耗散通道、相位衰减通道和随机幺正通道作用时对应非马尔可夫过程发生满足的条件. 研究结果显示: 一个相位参数的量子Fisher信息对这三种衰减通道的非马尔科夫过程发生所满足的条件与系统初态的选择是无关的. 进一步, 对于振幅耗散通道和相位衰减通道, 非马尔科夫过程发生的条件同基于迹距离、映射的可分性、量子互信息和量子Fisher信息矩阵等给出的条件是等价的. 如预期的一样, 对于振幅耗散通道情况且选择系统初态为最优化纯态时, 相应的结果正是Lu等获得的结果(Lu X M, Wang X G, Sun C P
2010
Phys. Rev. A
82042103
); 而对于随机幺正通道, 其马尔可夫过程发生的条件同基于迹距离、映射的可分性、量子互信息和量子Fisher信息矩阵等给出的条件是不完全等价的. 另外, 得到了一个有趣的关系: 在这三种耗散通道模型中系统演化态的量子
$l_1$
范数相干性的平方正好等于相位参数的量子Fisher信息. 总之, 本文得到的结果不仅完善了用量子Fisher信息来检测开放系统中非马尔科夫效应的应用范围, 同时也进一步彰显了量子Fisher信息在量子信息处理中独特的作用.
2022, 71 (21): 210401.
doi:10.7498/aps.71.20220876
摘要 +
无中微子双β衰变至今尚未被观察到, 同时其存在无法被否定. 因此中微子是否是Majorana粒子这个问题目前尚无定论. 本文希望从引力对费米子散射的角度研究通过引力场区分中微子费米子类型的可能性. 对Levi-Civita联络按宇称变换做分解, 在引力场对费米子散射微扰论最低阶近似以及弱引力近似下, 发现一般度规的引力场对狄拉克和马约拉纳费米子量子散射矩阵元差别来自宇称变换下类似矢量的部分; 对克尔度规的引力场散射, 证实不同类型费米子的散射差别与克尔引力源的角动量相关, 其散射矩阵元正比于引力源的质量与角动量乘积的平方. 以上结果为通过引力场区分费米子类型提供了另外一种可能的方法.
2022, 71 (21): 210701.
doi:10.7498/aps.71.20221137
摘要 +
基于D型光纤与回音壁模式的微管谐振腔耦合, 结合微流控技术, 本文提出一种折射率传感器, 其中耦合区采用全封装方式. 此传感器所需液体样本很少(约5 nL), 不易碎, 抗环境干扰能力、可移植性和重复性优于一般光纤与微腔耦合的传感器. 通过数值仿真, 研究了微流控微管谐振腔的谐振特性, 并分析了折射率传感的性能. 研究结果表明, 管壁厚度和液体折射率对传感性能影响比较大, 谐振波长漂移量与液体折射率有良好的线性关系, 折射率灵敏度高(510.5—852.7 nm/RIU),Q值可达5.53 × 104, 探测极限可达2.11 × 10–6.
基本粒子物理学与场
2022, 71 (21): 211101.
doi:10.7498/aps.71.20220659
摘要 +
最近一级相变动力学的研究在早期宇宙、致密星体和相对论重离子对撞实验等方面得到了广泛的关注, 特别是与一级相变相关的引力波方面的研究, 是当前宇宙学研究的热点问题. 本文利用有限温度场论, 在有限温度和密度下, 研究了Friedberg-Lee模型下的单圈有效势能和量子色动力学退禁闭相变的动力学机制, 结果表明在全相图中存在一级相变, 在μ= 0 MeV时, 临界温度
$ {T_{\text{c}}} $
= 119.8 MeV; 在T= 50 MeV时, 临界化学势
$ {\mu _{\text{c}}} $
= 256.4 MeV. 在薄壁近似下, 通过液滴核合成唯象模型研究了均质气泡成核的强子夸克一级相变的动力学过程, 在适当的边界条件下, 求解场的运动方程, 计算不同温度和密度下气泡临界位形随半径的演化, 获得了表面张力、临界半径和核合成自由能等物理量随温度与夸克化学势密度的变化关系. 为了证明薄壁近似的可靠性和优势, 本文将薄壁近似的分析结果与相应的精确解进行了对比, 讨论了薄壁近似的适用条件, 以及薄壁近似的优缺点等问题. 虽然本文的计算结果是模型相关的, 但是一般性的研发方法和结论具有普适性, 所获得的结果对其他领域一级相变动力学研究有较大的参考价值和现实意义.
核物理学
2022, 71 (21): 212901.
doi:10.7498/aps.71.20220934
摘要 +
设计了一台18 MeV的自引出强流回旋加速器, 对于自引出系统提供一种可行的设计方案. 对于主磁铁, 通过“三个判定”约束主磁场的参数变化, 完成对主磁铁的设计; 对于自引出系统, 通过注入相空间来扫描适合粒子引出的相空间, 利用梯度校正磁铁增大引出束流的接受度; 对于谐波线圈, 通过磁场二次谐波变化, 分析束流特性并确定谐波线圈的位置, 在扫描不同的谐波线圈面电流情况下, 得到束流的引出情况, 进而将束流的相空间推送到接受度以内. 为了让打靶束流的径向和轴向尺寸匹配同时引出更强的束流, 选择doublet结构的磁通道并给出设计思路. 最终束流的尺寸为30.5 mm × 12.9 mm, 能够引出的粒子占成功加速粒子的82.62%.
原子和分子物理学
2022, 71 (21): 213101.
doi:10.7498/aps.71.20221104
摘要 +
采用多参考组态相互作用方法计算了AsH+离子前3个离解极限所对应的8个电子态 (X2Π, a4Σ–, A2Σ–, b4Π, B2Δ, C2Σ+, D2Π, 22Σ+) 的电子结构. As原子选择了aug-cc-pwCV5Z-PP相对论赝势基组. 在计算中考虑了Davidson修正, 芯-价电子关联和自旋-轨道耦合效应. 拟合得到了所有态的光谱常数, 离解能越大的电子态, 其谐振频率越大, 平衡核间距越小. 考虑自旋-轨道耦合效应后, 由于避免交叉, B2Δ3/2和B2Δ5/2变为双势阱结构. 最后预测了
$ {{{\rm{A}}^2}}{\Sigma ^ - } \to {{{\rm{X}}^2}}\Pi $
,
$ {{{\rm{a}}^4}}\Sigma _{1/2}^ - \to {{{\rm{X}}^2}}{\Pi _{1/2}} $
和
$ {{{\rm{A}}^2}}\Sigma _{1/2}^ - \to {{{\rm{X}}^2}}{\Pi _{1/2}} $
跃迁的弗兰克-康登因子、自发辐射速率和自发辐射寿命, 计算结果表明
$ {{{\rm{a}}^4}}\Sigma _{1/2}^ - \to {{{\rm{X}}^2}}{\Pi _{1/2}} $
阻禁跃迁的强度很小. 本文的计算结果为以后AsH+离子的光谱实验研究提供理论基础.
2022, 71 (21): 213201.
doi:10.7498/aps.71.20220813
摘要 +
通过系统地考虑相对论效应、价壳层电子之间的电子关联效应、量子电动力学效应和Breit相互作用, 使用基于多组态Dirac-Hartree-Fock (MCDHF)方法的GRASP2K程序, 系统地计算了超重元素Og(Z= 118)及其同主族元素Ar, Kr, Xe和Rn的原子及其一价至五价离子的电离能. 为了降低电离能中来源于未完全考虑电子关联效应引起的不确定度, 使用外推方法对超重元素Og及其同主族元素Rn的原子及一价至五价离子的电离能进行了外推. 外推得到的Rn0–5+和Og+的电离能与实验值和其他理论值吻合得很好. 这些结果可用于预言超重元素Og的原子和化合物未知的物理和化学性质. 除此之外, 相对论和非相对论情况下超重元素Og及其同主族元素Ar, Kr, Xe和Rn的原子价壳层电子轨道束缚能的计算结果表明, 受相对论效应影响, 超重元素Og中的7s和7p1/2轨道出现了很强的轨道收缩现象, 7p1/2和7p3/2轨道出现了很强的分裂现象, 这些现象可能会导致超重元素Og的物理和化学性质异于同主族其他元素.
电磁学、光学、声学、传热学、经典力学和流体动力学
2022, 71 (21): 214201.
doi:10.7498/aps.71.20220946
摘要 +
针对宽波段同时偏振高分辨率成像需求, 提出一种基于反射式自由曲面光学系统和数字微镜器件的分孔径同时偏振超分辨率成像系统, 其具有可用于任意光学波段、多个偏振态同时成像、单探测器、高分辨率、易轻量化等优势. 给出了这种成像系统光学结构的像差校正原理及设计优化方法, 将Wassermann-Wolf理论进一步发展, 推导了可消除多种像差的反射式Wassermann-Wolf微分方程; 同时结合赛德尔像差理论, 在求解Wassermann-Wolf方程时加入消畸变的边界条件, 通过迭代方式, 得到同时消除球差、彗差、像散、畸变的光学初始结构. 对该初始结构进行离轴处理并进一步优化, 编写自定义优化评价函数, 严格控制各子孔径和各视场在中间像面和最终像面上主光线落点位置, 从而有效地抑制最终系统中的畸变, 避免超分辨重建过程中的镜元和像元失配误差, 提高重建质量. 最终完成了四子孔径自由曲面离轴反射式超分辨成像光学系统的设计, 其相对孔径大(F# = 2.5), 结构紧凑, 各个偏振通道成像质量接近衍射极限. 以上像差校正原理及像质优化方法可有效指导超宽波段同时偏振超分辨率成像光学系统的设计.
2022, 71 (21): 214202.
doi:10.7498/aps.71.20220444
摘要 +
鉴于谱域光学相干层析成像(spectral-domain optical coherence tomography, SD-OCT)系统通常存在非线性采样与色散失配等问题, 需要额外的数据处理步骤. 此外, 所需要的成像区域往往是整个成像区域的一小部分, 对于整个成像区域的计算带来了算力资源浪费, 而且在离散界面的定位方面, 有限的轴向分辨率下亚像素偏差的存在限制了界面的测量精度. 针对以上问题, 本文提出了一种基于复数主从(complex master slave, CMS) OCT相位信息的离散界面快速定位方法. 联合谱域与深度域的相位信息, 精确求解CMS-OCT的重建模板, 并利用CMS-OCT的相位信息, 实现高精度的光程差检测与离散界面定位. 最后, 通过精密光学量规和光学透镜离散界面实验验证了所提出方法能够在快速定位的同时, 保持较高的分辨率和稳定性. 本文所提出的方法有效地解决了SD-OCT系统的非线性采样与色散失配问题, 实现了局域范围内的高精度界面快速定位, 有望促进SD-OCT在光学透镜离散界面测量方面的应用.
2022, 71 (21): 214203.
doi:10.7498/aps.71.20220314
摘要 +
谱域光学相干层析成像(spectral-domain optical coherence tomography, SD-OCT)系统中普遍存在波数域的非线性采样问题. 为实现常规快速傅里叶变换算法下离散界面的精确定位与OCT图像的高质量重建, 需要解决光谱仪中离散采样点绝对波数的精确标定问题. 本文提出了一种基于精确光程差下特征谱线与约束拟合相位的绝对波数标定方法, 在谱域OCT系统的样品臂中, 使用具有精确厚度差异的金属量规, 获得特征谱线对应的绝对相位值, 进一步精确求解出特征谱线对应的相位包裹次数, 克服了常规干涉光谱相位方法中普遍存在的2π 歧义, 结合窗口约束条件下高信噪比区域的拟合相位, 实现光谱仪采样点绝对波数的精确标定. 通过全面比较本文方法与传统插值重采样方法在离散界面定位、轴向分辨率以及图像重建质量等方面的差异, 验证了本方法的显著优势.
2022, 71 (21): 214204.
doi:10.7498/aps.71.20221308
摘要 +
提出了一种基于双路光电反馈下, 光注入半导体激光器的高性能微波线性调频信号产生方案, 并进行了实验验证. 在合适的注入参数下, 光注入半导体激光器可工作于单周期振荡态, 生成频率由注入强度和失谐频率决定的可调谐微波信号. 通过加载波形为类三角波的电压信号控制注入强度, 光注入半导体激光器可生成宽带微波线性调频信号. 进一步通过引入延时匹配的双路光电反馈环路, 来提升光注入半导体激光器生成线性调频信号的质量: 分别基于傅里叶域模式锁定原理和自注入锁定技术, 引入短环光电反馈和长环光电反馈, 以同时实现线性调频信号的梳齿信噪比提升和线宽窄化. 在验证实验中, 本方案产生了带宽为8 GHz (18—26 GHz)的线性调频信号, 其梳齿信噪比达到40 dB, 梳齿线宽为1 kHz. 实验结果证明了本方案能够生成同时具有大带宽、高梳齿信噪比、窄线宽且相位关系稳定的高性能微波线性调频信号.
2022, 71 (21): 214205.
doi:10.7498/aps.71.20220865
摘要 +
面向边界限制的自聚焦振荡型响应函数系统建立了二阶和三阶非线性共同作用时的二次孤子理论模型. 在此基础上, 通过数值模拟对有三阶非线性效应和无三阶非线性效应情况下的孤子解进行对比, 研究了三阶非线性效应对该系统中二次孤子的影响. 结果表明, 在孤子波形方面, 三阶非线性影响较小, 仅轻微改变其横向分布. 但是在孤子的存在区间方面, 三阶非线性导致孤子只存在于强非局域和一般非局域情况, 在弱非局域情况下找不到相应的孤子. 此外, 三阶非线性的存在还减少了孤子拓展半周期的个数. 而在孤子稳定性方面, 三阶非线性则缩减了孤子的稳定区间.
2022, 71 (21): 214206.
doi:10.7498/aps.71.20220537
摘要 +
光电倍增管(photomultiplier tubes, PMT)具有光子级别的灵敏度、低暗计数、低后脉冲概率, 被广泛应用于可见光波段的光子计数雷达中. PMT没有光子探测死区时间, 每响应一个光子就会输出一个电子流脉冲, 这些电子流脉冲有可能堆成规模更大的脉冲, 使用阈值鉴别法鉴别光子事件时, 堆叠的脉冲会引入额外的脉冲行走误差. 考虑到脉冲堆叠的影响, 建立了新的PMT光子探测理论模型, 并通过蒙特卡罗仿真, 得到了基于PMT的光子计数测距法的行走误差、测距精度和回波激光脉宽, PMT输出电子流脉宽以及光子事件鉴别阈值之间的关系. 搭建了基于PMT的激光雷达系统, 通过与GM-APD的对比实验证明了脉冲堆叠对PMT光子计数法测距存在不可忽略的影响. 考虑到脉冲堆叠的PMT光子探测模型能够指导基于PMT的光子计数雷达的设计, 提高测距系统的测距精度和准度.
2022, 71 (21): 214301.
doi:10.7498/aps.71.20221058
摘要 +
为提升薄膜/板状结构的低频隔声特性, 本文提出一种具有动态磁负刚度的新型准零刚度薄膜声学超材料. 首先, 应用等效磁荷理论推导了动态磁负刚度; 然后, 基于伽辽金法建立了有限尺寸下薄膜/板结构的隔声理论模型. 通过理论分析、数值仿真及实验测试相结合的方法, 从结构模态、振动模式、平均速度、相位曲线、等效质量密度和等效弹簧-质量动力学模型等多个角度对其低频(1—1000 Hz)隔声机理开展了研究. 结果表明: 在初始薄膜张力一定时, 减小磁间隙或增大剩余磁通密度均可增大动态磁负刚度, 进而减小隔声峰值频率, 增加隔声带宽, 实现了较宽频段下的有效低频隔声; 进一步, 当磁间隙大于第二临界磁间隙小于第一临界磁间隙时, 结构的一阶模态共振消失, 对应隔声谷值大幅提升, 显示出超宽频段的隔声效果. 这种利用动态磁负刚度改善模态共振导致的低频隔声谷值的方法对薄膜/板型低频隔声超材料的设计具有重要的理论指导价值.
2022, 71 (21): 214302.
doi:10.7498/aps.71.20220566
摘要 +
声信号在海水中能够传播上千千米, 远距离声传播与近距离声传播的特性不同. 本文利用西太平洋声源与接收最远距离近2000 km的水声实验数据, 对实验海区的海洋环境信息、实验使用的接收垂直阵信息进行处理, 分析大洋完全声道环境下, 远距离声传播能量衰减规律和多途到达结构特性. 在远距离传播能量衰减规律方面, 随着传播距离增大, 海水吸收对声能衰减的作用凸显, 海水吸收系数的选取对声场能量预报的准确性至关重要. 较低频信号海水吸收较小, 中心频率100 Hz的声信号, 传播距离从1000—2000 km, 传播损失仅增大6 dB左右. 深海声道远距离声传播多途到达结构特性方面, 实验海区温跃层声速较高, 使得到达接收点的本征声线数目更多, 多途到达结构更复杂, 海面反射声线形成的到达结构处在整体到达结构的靠前位置, 且能量相对较强; 受西北太平洋副热带模态水的影响, 声速剖面存在双跃层结构, 导致部分声线到达接收点的时间较早, 多途到达结构在时间轴上的长度延长.
2022, 71 (21): 214701.
doi:10.7498/aps.71.20220632
摘要 +
为更好地在相变传热中应用双亲性Janus颗粒, 用铜球制备了亲水-超疏水Janus颗粒, 其粒径为1.0 mm, 气泡直径为3.0 mm. 研究了不同高度下带小气泡的Janus颗粒撞击气泡的行为特征. 结果表明: Janus颗粒不同润湿性表面撞击气泡时的行为特征存在明显差异, 当超疏水侧接触气泡时, 会沿着气泡表面无旋转地滑到气泡底部; 当亲水侧接触气泡时, 会先沿着气泡表面滑行一段距离, 随后发生旋转, 对气泡造成强烈扰动; 而亲水-超疏水分界面接触气泡时, 颗粒会在接触的瞬间开始旋转. 当Janus颗粒具有一定的高度撞击气泡时, 一般以亲水面首先与气泡接触, 随高度的增加, Janus颗粒拉扯气泡变形的程度增加. 基于受力分析发现: Janus颗粒发生旋转的主要原因是不同润湿性表面所受毛细力作用点和方向的不同, 相应地产生旋转力矩.
2022, 71 (21): 214702.
doi:10.7498/aps.71.20220941
摘要 +
基于低磁雷诺数假设建立完全气体湍流流场、磁场耦合模型. 数值计算方法上, 通过AUSMPW+格式和LUSGS隐式处理方法求解磁流体动力学湍流流动方程, 其中湍流模型采用Spalart-Allmaras模型. 分析了不同外加磁场条件下平板及压缩拐角湍流边界层流动控制效果. 研究表明: 湍流边界层磁流体动力学流动控制效果与洛伦兹力大小正相关; 外加磁场作用下, 洛伦兹力的方向和流动方向相反, 此时洛伦兹力起到减速的作用, 减少了近壁面流体的动量, 降低了边界层抵抗分离的能力; 逆流向洛伦兹力减小了壁面的剪切应力, 从而降低湍流流场壁面摩擦阻力系数, 洛伦兹力对流体做负功, 边界层内温度增加; 磁相互作用位置对磁流体动力学分离区控制效果存在较大影响, 工程应用中需配置合理的磁场布局方案.
2022, 71 (21): 214703.
doi:10.7498/aps.71.20221012
摘要 +
基于可压缩多组分Navier-Stokes方程, 结合5阶WENO (weighted essentially non-oscillatory)格式以及结构化自适应网格加密技术, 数值研究了汇聚激波冲击不同初始扰动幅值和气层厚度的双层SF6重气柱界面不稳定性演化过程, 揭示了界面与激波结构相互作用及演变机理, 定量分析了环量、混合率及湍动能的变化规律, 并对涡量进行动模态分解. 结果表明: 初始扰动幅值较大的条件下, 气层内界面内外均形成马赫反射结构并在中心发生多次激波聚焦, 激波穿透外界面后环量增速更大, 内界面“尖钉”“气泡”更早发展, 内外界面幅值与混合率增速更大. 气层厚度较大时, 透射激波在重气柱内移动时相位发生改变, 使得内界面波峰向外发展而波谷向内发展. 气层厚度较小时, 内界面生成“尖钉”“气泡”较晚且不明显. 通过动模态分解可以发现: 耦合效应弱时, 低频弱增长的动模态决定了主干结构, 低频弱增长的动模态决定了主干结构上正负涡量的交换, 而高频弱增长的动模态决定了界面上正负涡量的快速交换.
气体、等离子体和放电物理
2022, 71 (21): 215201.
doi:10.7498/aps.71.20212042
摘要 +
在神光-Ⅱ升级及皮秒拍瓦激光装置上, 开展了长短脉冲联合驱动双层结构靶优化伽马射线产生的实验研究. 一束纳秒长脉冲激光预先烧蚀第一层碳氢薄膜靶, 产生等离子体, 经一定时间的自由膨胀后, 形成较大尺度的低密度等离子体. 第二束皮秒短脉冲激光与低密度等离子体相互作用, 通过光场直接加速等非线性加速机制, 将电子加速到相对论量级. 相对论电子束经过传输后在第二层金转换靶上通过轫致辐射的方式产生伽马射线. 该方案能够有效提升超强超短脉冲激光加速产生的相对论电子束流品质, 获得能量更高、发散度更小的相对论电子束, 进而有可能获得品质更高的伽马射线输出.
凝聚物质:结构、力学和热学性质
2022, 71 (21): 216201.
doi:10.7498/aps.71.20220740
摘要 +
应用霍普金森压杆(SHPB)实验装置, 通过改变透射杆为钢杆和铝杆, 对立方体聚甲基丙烯酸甲酯(PMMA)试样和两种梯台PMMA试样进行动态压缩实验. 利用高速摄影记录试样的压缩过程, 并结合力位移曲线分析试样的破碎过程, 探讨了冲击载荷作用下PMMA试样变形和广义扩散阻力的演化. 结果表明: 试样的破坏模式主要为接触端局部产生失效阵面, 然后失效阵面向试样内部扩展. 立方体试样在低速冲击下, 失效阵面优先在透射端产生; 在高速冲击下, 失效阵面在入射端先产生. 通过改变试样形状和透射杆材质后, 阵面的产生存在明显的弛豫现象, 并且失效阵面仅在入射端产生. 梯台试样破碎前的压缩变形是非均匀的, 试样内部应力状态和变形状态随着截面增加逐渐变小, 并且呈线性扩散分布. 通过应变分布结合剪切激活扩散方程, 得到失效阵面扩散过程中的广义扩散阻力分布情况; 失效阵面前后广义扩散阻力先增加后减小, 阻力的幅值与局部应变能的释放有关.
2022, 71 (21): 216801.
doi:10.7498/aps.71.20221057
摘要 +
研究9,9′-二亚呫吨分子在Ru(0001)上的吸附行为, 在室温下通过扫描隧道电子显微镜观察石墨烯的自下而上制备过程. 在亚单层体系中, 9,9′-二亚呫吨分子随机吸附在Ru(0001)上, 简单分析了其空间结构; 并以 9,9′-二亚呫吨分子为前体, 在Ru(0001)衬底上自下而上制备石墨烯, 在超高真空中对Ru(0001)衬底进行长时间退火后, 首次发现其具有3种不同旋转角(6.3°, 13.9°和16.1°)的摩尔超结构, 迄今为止未见报道, 并通过构建模型分析这3种摩尔超结构的形成机制. 本实验为丰富Ru(0001)上摩尔超结构多样性作出了贡献, 同时也对以石墨烯/Ru(0001)为基的科学研究打下基础.
凝聚物质:电子结构、电学、磁学和光学性质
2022, 71 (21): 217201.
doi:10.7498/aps.71.20221060
摘要 +
有机发光二极管 (OLEDs) 中电致发光磁效应(MEL)是一种能够揭示多种激发态微观过程的探测工具. 最新研究成果(Tang X T, Pan R H, Zhao X, Jia W Y, Wang Y, Ma C H 2020Adv. Funct. Mater.5765)表明: 将低浓度的红荧烯(Rubrene)分子掺杂在一定主体作为发光层的OLEDs中, 存在一种高能三重态激子 (T2,Rub)的反向系间窜越过程(HL-RISC, S1, Rub← T2,Rub). 但本文发现: 以Rubrene作为纯发光层且其两边的载流子传输层也不存在T2,Rub激子的能量损失通道的OLEDs中, 在室温下只观察到单重态激子 (S1)的分裂过程 (S1+S0→ T1+T1), 却没能观察到该T2,Rub激子的HL-RISC过程; 而且, 最基本的因电子和空穴在纯Rubrene发光层中直接注入形成极化子对 (polaron-pair, PP1和PP3)的系间窜越过程 (ISC, PP1→ PP3)也没有被观察到. 为了揭示该反常现象背后的微观物理机制, 以纯Rubrene分子和质量分数为5%的Rubrene掺杂主体作为发光层来制备器件, 并对两种器件的MEL进行变温实验. 对所得实验结果比对分析后发现: 室温下PP态的ISC和T2,Rub激子的HL-RISC产生的MEL正好完全相互抵消, 这是采用MEL在纯Rubrene作为发光层的OLEDs中同时观察不到ISC和HL-RISC的物理原因, 这种如此巧合的物理现象在文献中还未曾报道.
2022, 71 (21): 217301.
doi:10.7498/aps.71.20220882
摘要 +
鉴于实验上最新合成的二维半导体材料WSi2N4(WSN)和二维金属材料MoSH(MSH), 构建了金属-半导体MSH/WSN肖特基结. 在实际的金属-半导体接触应用中, 肖特基势垒的存在严重降低了器件的性能. 因此, 获得较小的肖特基势垒甚至是欧姆接触至关重要. 本文使用第一性原理计算研究了在外电场和双轴应变作用下MSH/WSN肖特基结势垒的变化. 计算结果表明, 外电场和双轴应变均可以有效地调控MSH/WSN肖特基结势垒. 正向外电场能实现MSH/WSN肖特基结p型与n型肖特基接触之间的动态转化, 而负向外电场可实现MSH/WSN肖特基结向欧姆接触的转化. 此外, 较大的双轴应变可实现MSH/WSN肖特基结p型与n型肖特基接触的相互转化. 此项工作为基于WSN半导体的肖特基功能器件及场效应晶体管提供理论指导.
2022, 71 (21): 217302.
doi:10.7498/aps.71.20221154
摘要 +
记忆晶体管是结合了忆阻器和场效应晶体管特点的多端口器件. 二维过渡金属硫化物拥有独特的电子结构和性质, 在电子器件、能源转化、存储器等领域都有广泛的应用. 本文以二维金属硫化物为基础, 制备了ReSe2/WSe2双p型的范德瓦耳斯异质结记忆晶体管, 探究其在电控、光控以及光电协控下的阻变特性变化. 结果表明: 栅压是调控记忆晶体管性能的重要手段, 可有效地调控开关比在101—105之间变化; 不同波长光照或者光功率密度的变化可以实现记忆晶体管高低阻态和开关比的调控; 而且, 光电协控也可使器件开关比在102—105范围内变化, 并分析了不同调控条件下器件阻态变化的原因. 此外, 在经历了225次循环和1.9 × 104s时间后, ReSe2/WSe2异质结构记忆晶体管仍能保持接近104的开关比, 表明器件有良好的稳定性和耐久性, 将是一种很有发展潜力的下一代非易失性存储器.
2022, 71 (21): 217401.
doi:10.7498/aps.71.20221184
摘要 +
已报道的太赫兹涡旋波束产生器大多数是在固定频率产生涡旋波束, 限制了它的实际应用场景. 本文提出一种频率可切换太赫兹涡旋波束超表面, 通过改变外部温度, 二氧化钒相态也随之改变, 该超表面可以实现在单频模式和双频模式的自由切换. 室温下, 所设计的超表面在频率1.1 THz处可以产生具有不同拓扑电荷数的涡旋波束, 而且它们的模式纯度均在 85%以上. 外部温度变为68 ℃时, 该超表面工作频率切换到两个频率点0.7和1.23 THz, 产生不同拓扑荷数的涡旋波束, 模式纯度均大于 60%. 设计的频率可切换太赫兹涡旋产生器为无线太赫兹通信中工作频率调制提供了一个新的设计思路.
2022, 71 (21): 217501.
doi:10.7498/aps.71.20220472
摘要 +
磁电阻作为表征自旋阀结构最具代表性的特征之一, 是研究多层膜层间耦合作用的重要研究手段. 稀土/磁性过渡金属通过耦合和界面效应诱导室温下稀土具有磁性, 插入中间非磁金属层通过调控层间耦合作用实现自旋阀结构将有利于拓展稀土在自旋电子学领域的应用. 通过分析具有不同Cr层厚度(tCr)的Gd (4 nm)/Cr(tCr)/FeCo (5 nm)三层膜室温下面内磁电阻效应, 本文研究了薄膜的层间耦合和界面效应. 研究发现, 相对于FeCo薄膜, Gd/FeCo薄膜表现出更为明显的各向异性磁电阻. Cr的插入使得电流垂直于磁场时的磁电阻在低场峰值位置处出现一极小值, 且这个极小值随着tCr的增加变得更加明显. 当tCr= 3 nm时, 几乎完全表现为负自旋阀磁电阻效应. FeCo层与Cr/Gd形成的不同的自旋散射不对称是产生这一负自旋阀磁电阻效应的主要原因. 电流平行于磁场时磁电阻峰值随tCr的振荡和低温下的磁滞回线证实了低温和室温下层间耦合的存在.
编辑推荐
2022, 71 (21): 217701.
doi:10.7498/aps.71.20221250
摘要 +
通过两步固相反应烧结法制备了(1–x) Pb0.99Nb0.02[(Zr0.57Sn0.43)0.94Ti0.06]0.98O3:xAlN ((1–x)PNZST:xAlN,x= 0, 0.1, 0.2, 0.3, 0.4))复合陶瓷, 系统研究了复合陶瓷晶体结构、微观形貌、畴结构演变以及铁电、介电和热释电性能等. 实验结果表明: 基于两相之间热膨胀系数失配产生的局域应力场有效调控了畴结构组态和相结构演变, 在室温附近构建了铁电/反铁电相界, 继而在温度场作用下表现出优异的热释电性能; 当x= 0.1时, 在近人体温度37 ℃时其热释电系数p达到最大值3.30×10–3C/(m2⋅K), 电流响应优值Fi= 3.16 × 10–9m/V, 电压响应优值Fv= 0.613 m2/C, 探测率优值Fd= 4.40×10–4Pa–1/2, 且其半峰宽为16.3 ℃, 在室温宽温域内表现出优异的热释电性能; 随着AlN含量的增多, 该复合陶瓷的热释电峰值温度在37—73 ℃宽温域内可调, 表现出良好的温度稳定性.
编辑推荐
2022, 71 (21): 217801.
doi:10.7498/aps.71.20221222
摘要 +
高效钙钛矿太阳电池中通常采用有机p型半导体材料作为空穴传输层. 有机材料在湿度、温度、紫外照射等环境因素下会出现严重的性能衰退, 加速钙钛矿太阳电池的老化, 成为实现其实际应用的主要障碍之一. 本文提出采用无机硫氢酸亚铜(CuSCN)作为空穴传输材料, 并通过锂掺杂提高其空穴传输特性; 在此基础上采用聚[双(4苯基)(2,4,6-三甲基苯基)胺]修饰CuSCN表面, 避免CuSCN和碘化铅(PbI2)间的相互作用, 实现了大晶粒、致密钙钛矿薄膜的制备, 最终实现了钙钛矿太阳电池性能的有效提升. 本工作为稳定、高效钙钛矿太阳电池的制备提供了可借鉴的策略.
物理学交叉学科及有关科学技术领域
编辑推荐
2022, 71 (21): 218102.
doi:10.7498/aps.71.20220820
摘要 +
传统热氧化方式制备约瑟夫森结中AlOX势垒层是将高纯度氧气扩散到Al表面进行, 但该方式制备的势垒层氧化不完全, 厚度难以精准控制. 本文采用原子层沉积方式在金属Ti表面逐层生长Al2O3势垒层, 并制备出三明治结构的Ti/Al2O3/Ti约瑟夫森结. 通过调节Al2O3势垒层的沉积厚度和约瑟夫森结的面积研究了其相应的微观结构及电学性质. 实验结果表明, 原子层沉积方式生长的单层Al2O3薄膜厚度约为1.17 Å(1 Å = 10–10m), 达到原子级控制势垒层厚度, 通过调节势垒层厚度实现了对结室温电阻值的控制, 并通过优化结面积获得了室温电阻均匀性良好的约瑟夫森结.
编辑推荐
2022, 71 (21): 218501.
doi:10.7498/aps.71.20220990
摘要 +
窄带光电探测系统在荧光检测、人工视觉等领域具有广泛应用. 为了实现对特殊波段的窄带光谱探测, 传统上需要将宽带探测器和光学滤波片集成. 但是, 随着检测技术的发展, 人们对探测系统的功耗、尺寸、成本等方面也提出了更高要求, 结构复杂、成本高的传统窄带光电探测器应用受到限制. 于是, 本文展示了一种基于多孔GaN/CuZnS异质结的无滤波、窄带近紫外光电探测器. 通过光电化学刻蚀和水浴生长方法, 分别制备了具有低缺陷密度的多孔GaN薄膜和高空穴电导率的CuZnS薄膜, 并构建了多孔GaN/CuZnS异质结近紫外光电探测器. 得益于GaN的多孔结构和CuZnS的光学滤波作用, 器件在–2 V偏压、370 nm紫外光照下, 光暗电流比超过4个数量级; 更重要的是, 器件具有超窄带近紫外光响应(半峰宽<8 nm, 峰值为370 nm). 此外, 该探测器的峰值响应度、外量子效率和比探测率分别达到了0.41 A/W, 138.6%和9.8×1012Jones. 这些优异的器件性能显示了基于多孔GaN/CuZnS异质结的近紫外探测器在窄光谱紫外检测领域具有广阔的应用前景.
封面文章
2022, 71 (21): 218502.
doi:10.7498/aps.71.20220738
摘要 +
基于二维材料的场效应晶体管在超大规模集成技术方面具有非常大的应用潜力, 因此开发高性能的短沟道二维半导体场效应晶体管是构建超大规模集成的必经之路. 对于二维材料, 获得10 nm以下沟道长度的二维半导体晶体管难度较大, 目前很少有稳定制备亚10 nm二维半导体晶体管的方法. 本文使用石墨烯作为接触材料, 氮化硼作为间隔, 可以稳定制备垂直短沟道二硫化钼场效应晶体管. 基于此方法, 制备了8 nm氮化硼间隔的垂直短沟道二硫化钼场效应晶体管. 该器件展现出良好的开关特性, 在不同的源漏电压下其开关比大于107; 同时关态电流小于100 fA/μm, 对源漏直接隧穿效应有很好的抑制作用. 此外, 该方法同样适用于其他二维半导体短沟道晶体管的制备, 为快速筛选出可适用于超大规模集成的二维材料提供了一种有效途径.
2022, 71 (21): 218503.
doi:10.7498/aps.71.20220949
摘要 +
为研究非磁性二维范德瓦耳斯异质结吸附磁性原子的诱发磁性机理及磁电子特性, 构键了锑烯(Sb)/WS2异质结, 并考虑Fe 原子的多种吸附. 计算的吸附能表明: TW, TS_m及VSb吸附方式是Fe原子分别吸附于异质结下方、层间以及上方的最可能吸附位置, 产生的磁性与Fe原子被吸附后其电子构型(VEC)扩展以及电荷转移使得电子自旋重排有关. TW, TS_m吸附使无磁半导体性的异质结成为半-半导体(HSC), 而VSb吸附对应双极化磁性半导体(BMS). 特别是, 计算的磁化能表明: 层间TS_m吸附使异质结具有最高的磁稳定性, 足以抵抗常温热起伏对磁性的影响. 量子调控能使异质结产生丰富的磁性, 特别是磁相的灵活改变, 如施加外加电场可使异质结实现HSC, HM(半金属)及BMS等磁相转换, 而垂直应变则可使异质结发生HSC, HM及MM(磁金属)等磁相的转换. 这一研究表明利用异质结能增加过渡金属原子的吸附区域(下方、层间以及上方), 从而产生丰富的磁性, 特别是层间吸附过渡金属, 其磁性的温度稳定性能显著提高.
编辑推荐
2022, 71 (21): 218701.
doi:10.7498/aps.71.20220722
摘要 +
仿真设计了一种高灵敏度太赫兹(THz)导模共振生化传感结构. 该结构由硅棱镜、介质薄膜和多孔金膜组成, 多孔金膜同时作为THz导波层和生化分子富集层, 能够增强THz导模与生化分子间的相互作用, 从而提高探测灵敏度. 当采用棱镜全反射方法激励THz横电(TE)或横磁(TM)导模后, 多孔金膜的吸收使得THz反射频谱出现尖锐的共振吸收峰, 由此可确定THz导模的共振频率及其对液体折射率和生化分子吸附量的灵敏度. 调节介质层的厚度和折射率可进一步提高上述THz传感结构的灵敏度和品质因数. 在45°入射角下的仿真结果指出, TE和TM导模的共振频率随着液体折射率或生化分子吸附量的增大而线性变化, TM导模的折射率灵敏度可高达13.42 THz/RIU, 品质因数达到167.70/RIU, TE导模对液体折射率的灵敏度小于TM导模, 但对分子吸附量的灵敏度大于TM导模, 究其原因是TE导模透出多孔金膜的消逝场比TM导模弱.
地球物理学、天文学和天体物理学
2022, 71 (21): 219401.
doi:10.7498/aps.71.20220732
摘要 +
利用三维混合模拟程序计算了大量超热碎片离子在低密度背景等离子体中爆炸膨胀的过程. 通过定量计算磁泡的变化过程和磁泡对碎片云运动的约束效果, 分析了背景等离子体电荷密度、背景离子原子量、碎片离子荷质比等参数对磁泡的影响. 计算结果表明, 背景电荷密度对磁泡和碎片云的运动有重要影响. 在碎片云扩张早期, 背景离子原子量对磁泡扩张影响较小, 但对后期碎片云的运动有一定影响. 当碎片离子荷质比较小时, 离子回旋半径大于磁泡半径, 此时磁泡半径较小, 且磁泡无法约束碎片云. 当碎片离子荷质比较大时, 离子回旋半径小于磁泡半径, 如果此时背景电荷密度较低, 磁泡和碎片云的早期扩张几乎不受碎片离子荷质比影响, 但对系统后续演化有一定影响, 如果此时背景电荷密度较大, 碎片离子荷质比对磁泡和碎片云的运动有较大影响.




