搜索

x

留言板

姓名
邮箱
手机号码
标题
留言内容
验证码

downloadPDF
引用本文:
Citation:

    王辉耀, 宁亚茹, 吴凤娇, 赵茜, 陈敬, 朱洪强, 魏福贤, 吴雨廷, 熊祖洪

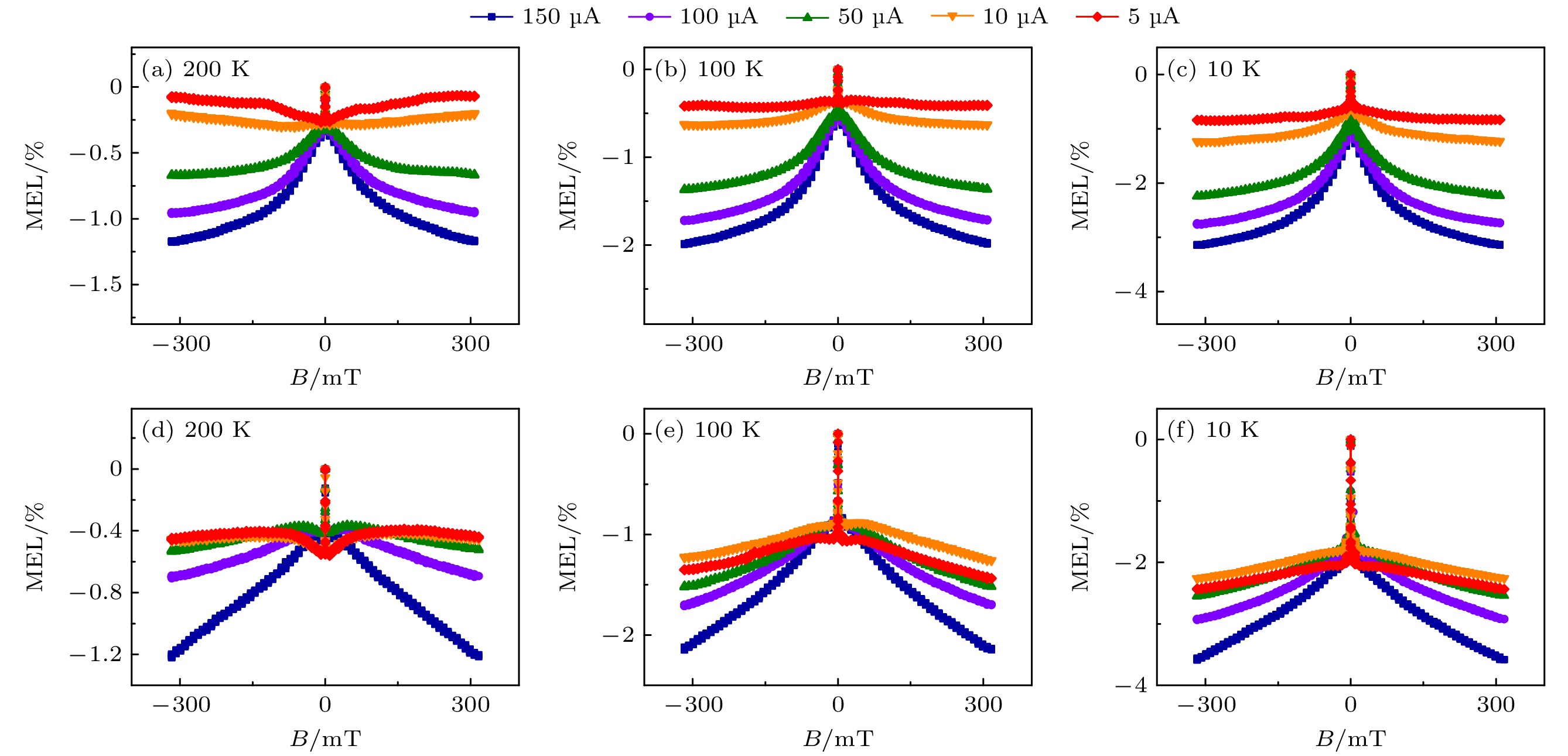
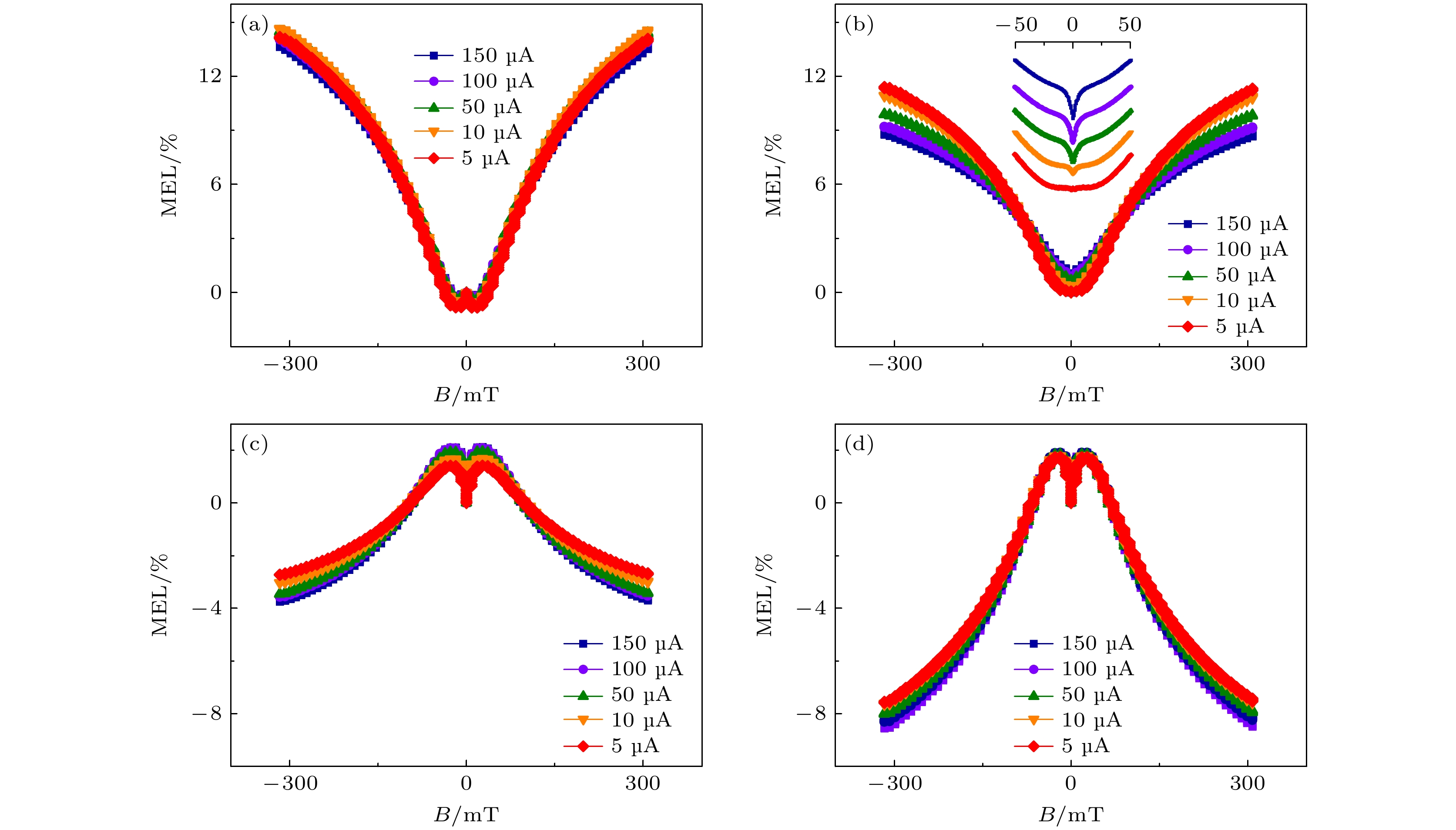
    Reasons for “disappearance” phenomenon of both intersystem crossing of polaron-pair states and reverse intersystem crossing of high-lying triplet excitons in pure Rubrene-based OLEDs

    Wang Hui-Yao, Ning Ya-Ru, Wu Feng-Jiao, Zhao Xi, Chen Jing, Zhu Hong-Qiang, Wei Fu-Xian, Wu Yu-Ting, Xiong Zu-Hong
    PDF
    HTML
    导出引用
    计量
    • 文章访问数:3752
    • PDF下载量:56
    • 被引次数:0
    出版历程
    • 收稿日期:2022-05-28
    • 修回日期:2022-07-04
    • 上网日期:2022-10-27
    • 刊出日期:2022-11-05

      返回文章
      返回