| [1] |
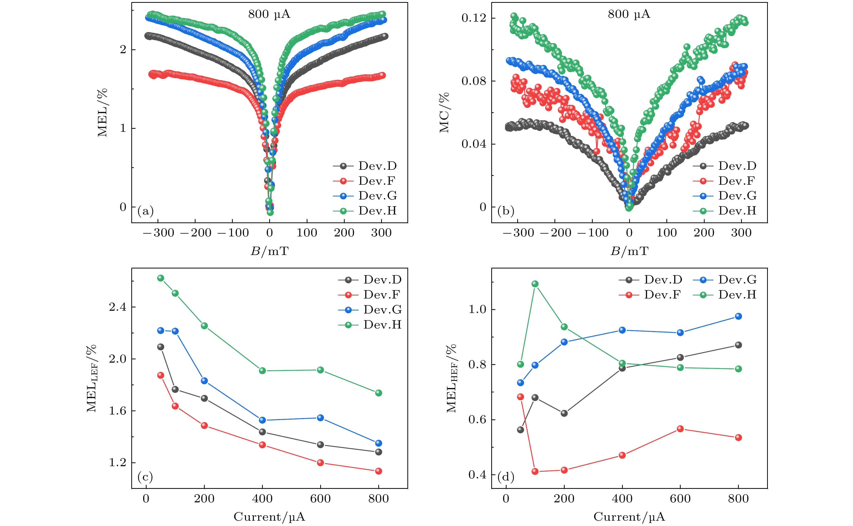
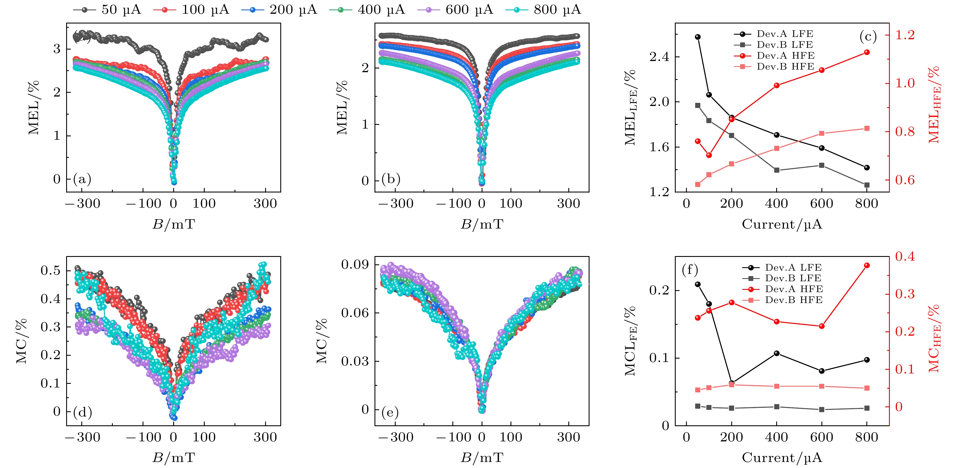
魏福贤, 刘俊宏, 彭腾, 汪波, 朱洪强, 陈晓莉, 熊祖洪.利用热激子反向系间窜越的特征磁响应探测界面型OLED中的Dexter能量传递过程. 必威体育下载 , 2023, 72(18): 187201.doi:10.7498/aps.72.20230998 |
| [2] |
王辉耀, 魏福贤, 吴雨廷, 彭腾, 刘俊宏, 汪波, 熊祖洪.激基复合物有机发光二极管中平衡载流子增强电荷转移态的反向系间窜越过程. 必威体育下载 , 2023, 72(17): 177201.doi:10.7498/aps.72.20230949 |
| [3] |
赵茜, 陈敬, 彭腾, 刘俊宏, 汪波, 陈晓莉, 熊祖洪.激基复合物有机发光二极管中系间窜越和反向系间窜越过程的非单调电流依赖关系. 必威体育下载 , 2023, 72(16): 167201.doi:10.7498/aps.72.20230765 |
| [4] |
王辉耀, 宁亚茹, 吴凤娇, 赵茜, 陈敬, 朱洪强, 魏福贤, 吴雨廷, 熊祖洪.纯红荧烯器件中极化子对的系间窜越与高能三重态激子的反向系间窜越过程“消失”的原因. 必威体育下载 , 2022, 71(21): 217201.doi:10.7498/aps.71.20221060 |
| [5] |
范昌君, 王瑞雪, 刘振, 雷勇, 李国庆, 熊祖洪, 杨晓晖.基于溶液加工小分子材料发光层的有机-无机复合发光器件. 必威体育下载 , 2015, 64(16): 167801.doi:10.7498/aps.64.167801 |
| [6] |
陈秋松, 袁德, 贾伟尧, 陈历相, 邹越, 向杰, 陈颖冰, 张巧明, 熊祖洪.利用磁致发光曲线研究Rubrene器件中激子分裂和湮没过程. 必威体育下载 , 2015, 64(17): 177801.doi:10.7498/aps.64.177801 |
| [7] |
陈海涛, 徐征, 赵谡玲, 赵玲, 刘志民, 高松, 杨一帆, 刘志方, 申崇渝, 徐叙瑢.PCDTBT作为发光层的有机电致发光器件研究. 必威体育下载 , 2014, 63(16): 167802.doi:10.7498/aps.63.167802 |
| [8] |
路飞平, 李建丰, 孙硕.功能层厚度对叠层有机电致发光器件出光性能影响的数值研究. 必威体育下载 , 2013, 62(24): 247201.doi:10.7498/aps.62.247201 |
| [9] |
张新稳, 胡琦.有机电致发光器件的稳定性. 必威体育下载 , 2012, 61(20): 207802.doi:10.7498/aps.61.207802 |
| [10] |
陈苏杰, 于军胜, 文雯, 蒋亚东.NPB:CBP复合空穴传输层对黄色有机电致发光器件的影响. 必威体育下载 , 2011, 60(3): 037202.doi:10.7498/aps.60.037202 |
| [11] |
汪津, 赵毅, 谢文法, 段羽, 陈平, 刘式墉.利用DPVBi插层提高蓝色荧光有机电致发光器件的效率. 必威体育下载 , 2011, 60(10): 107203.doi:10.7498/aps.60.107203.2 |
| [12] |
乔士柱, 赵俊卿, 贾振锋, 张宁玉, 王凤翔, 付刚, 季燕菊.自旋极化有机电致发光器件中单线态与三线态激子的形成及调控. 必威体育下载 , 2010, 59(5): 3564-3570.doi:10.7498/aps.59.3564 |
| [13] |
牛连斌, 关云霞.富勒烯掺杂NPB空穴传输层的有机电致发光器件. 必威体育下载 , 2009, 58(7): 4931-4935.doi:10.7498/aps.58.4931 |
| [14] |
吴晓明, 华玉林, 印寿根, 张国辉, 惠娟利, 张丽娟, 王 宇.不同主体双发光层白色有机电致发光器件的性能研究. 必威体育下载 , 2008, 57(2): 1150-1154.doi:10.7498/aps.57.1150 |
| [15] |
张秀龙, 杨盛谊, 娄志东, 侯延冰.有机电致发光器件的动态电学特性. 必威体育下载 , 2007, 56(3): 1632-1636.doi:10.7498/aps.56.1632 |
| [16] |
张国辉, 华玉林, 吴空物, 吴晓明, 印寿根, 惠娟利, 安海萍, 朱飞剑, 牛 霞.利用BCP层调节白色磷光有机电致发光器件色度的研究. 必威体育下载 , 2007, 56(6): 3559-3563.doi:10.7498/aps.56.3559 |
| [17] |
张晓波, 曹 进, 委福祥, 蒋雪茵, 张志林, 朱文清, 许少鸿.发光层厚度变化的高效红色有机电致磷光器件. 必威体育下载 , 2006, 55(1): 119-124.doi:10.7498/aps.55.119 |
| [18] |
李晓薇.铁磁超导态/绝缘层/自旋三重态p波超导体结的直流Josephson电流. 必威体育下载 , 2006, 55(12): 6637-6642.doi:10.7498/aps.55.6637 |
| [19] |
朱文清, 吴有智, 郑新友, 蒋雪茵, 张志林, 孙润光, 许少鸿.双层有机电致发光器件中多成分激发态发射. 必威体育下载 , 2004, 53(7): 2325-2329.doi:10.7498/aps.53.2325 |
| [20] |
杨盛谊, 徐征, 刘姗姗, 董金凤, 章婷, 徐叙瑢, 张莉, 杨展澜, 吴谨光.窄谱带绿色有机电致发光器件. 必威体育下载 , 2001, 50(5): 973-976.doi:10.7498/aps.50.973 |