特邀综述
编辑推荐
2023, 72 (21): 218701.
doi:10.7498/aps.72.20231089
摘要 +
基因转录调控是生命体调节基因表达的重要过程, 是保证遗传信息可控传递和维持基因组稳定性的关键步骤. 单分子技术的发展为分子水平上探索基因转录调控动力学机制提供了新的研究范式, 有力地推动了基因转录调控规律方面的研究进展. 本文着重介绍了依据单分子磁镊旋转操控技术发展起来的操控超螺旋DNA的技术, 借助超螺旋DNA的“放大”特点, 实现了对DNA双螺旋动态打开过程的高通量、单碱基精度的测量; 随后, 介绍了单分子磁镊旋转操控技术在基因转录调控动力学研究中的应用情况, 通过实时监测转录泡结构, 实现对转录起始、延伸和终止等阶段的动力学表征, 建立了一系列新的转录调控模型; 最后, 介绍了单分子磁镊旋转操控和单分子荧光成像技术联用方案, 为研究复杂体系中的基因转录调控动力学机制提供了新的范式和范例.
专题: 磁约束等离子体中的高能量粒子
2023, 72 (21): 215204.
doi:10.7498/aps.72.20230721
摘要 +
托卡马克装置内, 建立和维持内部输运垒结构是提高等离子体约束的重要保障. 本文简单概述了EAST反磁剪切
$q_{{\rm{min}}} \approx 2$
实验条件下建立和维持内部输运垒的关联物理过程: “离轴锯齿”和双撕裂模不稳定性; 快离子激发的阿尔芬波不稳定性; 热粒子激发的低频模不稳定性等. 首先, “离轴锯齿”是判断实验条件
$q_{{\rm{min}}} \leqslant 2$
的重要依据. 文中详细介绍了“离轴锯齿”的激发条件、分类方式和先兆模结构等基本特征, 其崩塌事件由m/n= 2/1双撕裂模磁重联诱发产生. 其次, 在“离轴锯齿”振荡期间, 快离子很容易激发比压阿尔芬本征模和反剪切阿尔芬本征模. 这两类阿尔芬本征模的环向模数为
$1 \leqslant n \leqslant 5$
, 径向位置为环向区域
$1.98\ {\rm{m}} \leqslant $
$ R \leqslant 2.07\ {\rm{m}}$
(磁轴
$R_0 \approx 1.9 \ {\rm{m}}$
, 归一化小半径
$0.2 \leqslant \rho \leqslant 0.45$
). 简述阿尔芬波的激发条件和3种不同物理量(热压力梯度、快离子分布函数和环向流速剪切)等之间的关系. 第三, 在“离轴锯齿”振荡期间, 热压力梯度可以诱发低频模不稳定性. 利用一般鱼骨模色散关系很容易得出EAST上低频模的基本特征: 1)离子抗磁漂移频率大小; 2)阿尔芬波极化方向; 3)反应型动理学气球模特征. 低频模不稳定性的激发不依赖快离子, 主要发生在高的压力梯度区
$\alpha \propto (1 + \tau) (1 + \eta_{\rm{i}})$
,
$\tau = T_{\rm{e}}/T_{\rm{i}}$
,
$\eta_{\rm{i}} = L_{n_{\rm{i}}}/ L_{T_{\rm{i}}}$
, 也即是足够高的
$\tau$
和
$\eta_{\rm{i}}$
. 最后, “离轴锯齿”不稳定性的抑制和内部输运垒结构的建立. EAST内
$q_{{\rm{min}}} \approx 2$
条件下内部输运垒建立过程中包括3个重要过程: 1)切向(NBI1L)注入比垂直方向(NBI1R)注入的中性束更容易缓解“离轴锯齿”的爆发周期; 2)存在“离轴锯齿”的情况高效缓解微观不稳定性, 且此位形更有利于内部输运垒结构的建立; 3)内部输运垒建立过程中伴随阿尔芬波(
$1 \leqslant n \leqslant 5$
)不稳定性的激发, 内部输运垒维持期间存在热离子温度梯度激发的中尺度微观不稳定性(
$5 \leqslant n \leqslant 10$
)等. 因此, 理解和掌握“离轴锯齿”实验条件的建立和抑制、阿尔芬波的激发和快离子的再分布、热压力梯度相关不稳定性等物理过程, 对于内部输运垒形成机制的理解具有重要的借鉴意义.
2023, 72 (21): 215207.
doi:10.7498/aps.72.20230255
摘要 +
位于动理学热离子带隙附近的低频阿尔芬扰动因可以与高能量粒子或背景热粒子发生相互作用而引起了广泛的关注. 本文在一般鱼骨模色散关系的理论框架下, 针对反磁剪切托卡马克等离子体中观测到的由高能量粒子或者背景热粒子激发的低频剪切阿尔芬波的线性特性进行了一系列的理论研究. 由于这些低频剪切阿尔芬波与2019年DIII-D开展的专门研究高能量离子驱动低频不稳定的实验密切相关, 因此本文通过采用DIII-D具有代表性实验的平衡参数, 证明了实验上观测的低频模和比压阿尔芬本征模分别是以阿尔芬极化为主的反应型和耗散型不稳定模, 因此, 将前者称为低频阿尔芬模更准确. 由于受逆磁和捕获粒子动理学效应的影响, 低频阿尔芬模既可以在低频区(频率小于热离子的渡越或反弹频率)与比压阿尔芬声模耦合, 又可以在高频区(频率大于或近似等于热离子的渡越频率)与比压阿尔芬本征模耦合. 此外, 由于受到不同激发机制的影响, 与局域在安全因子最小值有理面附近的低频阿尔芬模相比, 驱动比压阿尔芬本征模的高能量离子的压强梯度在偏离安全因子最小值的有理面时达到最大值, 相应的比压阿尔芬本征模的本征函数在高能量离子驱动最大的径向位置处出现峰值. 通过改变安全因子最小值理论上重现了实验上观测的比压阿尔芬本征模和低频阿尔芬模的上升频谱特征. 研究还表明, 比压阿尔芬声模由于受到强烈的朗道阻尼, 因而很难被高能量粒子激发, 这与基于第一性原理的理论预测和模拟结果一致. 本文证明了一般鱼骨模色散关系在解释和预测实验和数值模拟结果方面的强大能力.
2023, 72 (21): 215201.
doi:10.7498/aps.72.20230482
摘要 +
在磁约束聚变等离子体中, 离子回旋共振加热(ICRF)与中性束注入(NBI)是两种主要的加热方法. 它们的协同加热一直都是聚变领域研究的重点. 本文首先阐明了ICRF高次谐波加热以及ICRF与NBI协同加热的基本原理. 通过EAST托卡马克上实验和相应的TRANSP模拟, 发现了ICRF与NBI的协同加热不仅可以显著提高等离子体参数(极向比压、等离子体储能、离子温度、中子产额等), 而且能产生大量高能粒子, 形成高能粒子尾巴. 例如, 1 MW的ICRF三次谐波可将初始能量为60 keV的NBI高能氘离子加速至600 keV. 通过改变氢少子含量、提高ICRF和NBI加热功率、使用ICRF在轴加热、优化NBI注入角度等, 可以有效地提高协同加热效率以及高能粒子的能量. 进一步地, 将协同加热产生的高能粒子分布代入粒子轨道程序中, 计算了高能粒子的输运以及其在第一壁上的损失. 结果表明, 损失的高能粒子的初始位置位于低场侧, 且损失轨道大部分为捕获粒子轨道. 高能粒子损失位置主要位于主限制器以及ICRF和低杂波限制器的中上平面. 这些损失的高能粒子被认为是造成限制器上热斑的主要原因之一.
2023, 72 (21): 215202.
doi:10.7498/aps.72.20230650
摘要 +
负三角形变位形下的托卡马克具有更低的湍流输运和更好的能量约束, 被认为是未来聚变堆一个更好的选择. 为了探索负三角形变位形下高能量粒子激发不稳定性的特征, 使用动理学-磁流体混合模型程序M3D-K开展了此位形下高能量离子激发鱼骨模的线性不稳定性和非线性演化的模拟研究. 基于类EAST参数条件, 模拟发现负三角形变解稳理想内扭曲模不稳定性, 但会致稳鱼骨模不稳定性. 非线性模拟发现在没有磁流体非线性效应时, 负三角形变位形下的鱼骨模更不容易饱和, 可能的解释是相比于正三角形变位形, 在负三角形变位形下的高能量离子轨道更接近与芯部, 因而更容易驱动鱼骨模不稳定性. 这些结果表明考虑高能量粒子激发的鱼骨模不稳定性后, 负三角形变位形相比于正三角形变位形并没有明显优势.
2023, 72 (21): 215205.
doi:10.7498/aps.72.20230546
摘要 +
环形磁约束等离子体中产生的磁岛因为磁场的旋转变换而具有三维螺旋结构, 特别是仿星器位形下平衡磁面就呈三维螺旋性质. 因此, 仿星器磁岛形成及其不稳定性是环形磁约束三维物理的典型问题, 也是仿星器物理研究的重点课题之一. 早期研究表明, 非感应电流驱动(如电子回旋电流驱动(ECCD))所产生的环向电流对磁岛具有一定的抑制/控制作用. 为弄清中国首台准环对称仿星器CFQS低参数运行模式下三维磁岛物理, 本文聚焦在低比压(β)等离子体, 忽略自举电流并通过调控环向场线圈电流以产生旋转变换(ι/2π)为0.4的有理面, 利用HINT代码模拟研究低比压等离子体中环向电流驱动对m/n= 5/2磁岛的影响,m为极向模数,n为环向模数. 研究表明, 在常数电流情况下, 当电流方向为正/负方向时, 电流对磁岛具有较强的激发/抑制作用. 当负方向的电流大于6 kA时, 磁岛将被完全被抑制, 主要原因是环向电流驱动通过改变旋转变换剖面, 使其避开ι/2π = 0.4的有理面, 导致m/n= 5/2三维磁岛不满足共振激发条件, 最终磁岛的增长被抑制. 而在局域电流分布情况下, 磁岛的抑制主要是ι/2π = 0.4有理面处磁剪切的改变所导致的. 此外, 本文对电流幅度、宽度以及峰值位置等参数对磁岛的影响给予了深入探讨.
2023, 72 (21): 215206.
doi:10.7498/aps.72.20230681
摘要 +
基于临界梯度模型, 使用TGLFEP和EPtran两个程序可以模拟分析阿尔芬本征模引起的高能量粒子输运问题. 本文在原有模型的基础上, 加入了两点改进使模拟结果更接近实验. 其一, 考虑阈值剖面的演化过程. 判断阈值的物理量由密度梯度(dn/dr)改为归一化的密度梯度((dn/dr)/(n/a)), 并且使用TGLFEP模拟证明阈值与高能量粒子密度成反比例关系, 也就是说, 当密度降低时, 阈值会增大. 第二, 考虑有限轨道宽度效应. 使用OBRIT程序计算高能量粒子的损失锥, 并输入到EPtran程序中, 从而增加了一种高能量粒子的损失通道. 利用DIII-D#142111和#153071进行实验验证, 结果表示改进后的模型更接近实验. 最后, 利用神经网络代替TGLFEP计算临界梯度, 并实现EPtran的并行计算以缩短运行时间. 以此建立一个EP模块并加入到OMFIT集成模拟中, 模拟结果表示当阿尔芬本征模驱动高能量粒子输运, 会导致芯部的压强和电流降低, 从而提升当地的安全因子, 改变平衡位形.
2023, 72 (21): 215208.
doi:10.7498/aps.72.20230696
摘要 +
近期, 在中国环流器2号A (HL-2A)装置上利用电子回旋共振加热(electron cyclotron resonance heating, ECRH)开展了鱼骨模主动控制的实验研究. 结果发现, 鱼骨模的主动控制效果与射频波功率沉积位置密切相关. 在相同的注入功率条件下, ECRH离轴加热的效果比在轴的效果更好, 甚至可以实现对鱼骨模的完全抑制. 分析表明, 大功率离轴射频波通过提升电子温度进而使得等离子体压强梯度和等离子体电流密度变化, 随后导致安全因子改变并使得最小安全因子
$q_{{\rm{min}}}>1$
. M3D-K程序模拟表明, 鱼骨模的增长率随着
$q_{{\rm{min}}}$
增大而减小, 这意味着ECRH通过提高安全因子导致q= 1有理面的缺失并使得鱼骨模被完全抑制.
2023, 72 (21): 215209.
doi:10.7498/aps.72.20230700
摘要 +
氘氚聚变产生的高能量α粒子是维持未来托卡马克反应堆等离子体高温的主要加热源, 良好的α粒子约束对于维持稳态燃烧等离子体至关重要. 在持续发生聚变反应的系统中,α粒子远离热平衡, 呈现非麦克斯韦分布. 如果忽略轨道效应, 基于局域库仑碰撞的假设可以得到α粒子的经典慢化分布, 然而由于α粒子存在较大的漂移轨道宽度, 空间输运不容忽视, 为得到更为准确的α粒子分布函数, 需要开展相关的数值计算. 本文使用模拟程序PTC (particle tracer code)在中国聚变工程试验堆(CFETR)不同的放电模式下, 采用粒子轨道跟踪和蒙特卡罗碰撞方法, 对α粒子慢化过程进行了数值模拟, 获得了更为真实的α粒子分布函数, 并将其与经典慢化分布进行了对比. 结果显示分布函数在中等能量附近和经典慢化分布存在较大差异. 进一步的分析表明, 这是由于中等能量下α粒子的较强的径向输运引起的. 本文的研究结果对准确评估α粒子加热背景等离子体的能力具有重要参考价值.
2023, 72 (21): 215210.
doi:10.7498/aps.72.20230620
摘要 +
在托卡马克实验中, 通常会有多种磁流体不稳定性同时存在并与快粒子发生相互作用, 引起非常显著的快粒子输运和损失, 破坏装置第一壁导致放电淬灭. 因此, 理解磁流体不稳定性引起快粒子输运的物理机制, 对未来聚变堆稳态长脉冲运行是亟需解决的重要物理问题. 本文基于球形托卡马克装置NSTX上观测到的非共振内扭曲模与撕裂模发生协同相互作用的实验现象, 采用全局非线性磁流体-动理学混合模拟程序M3D-K, 比较了两种情况下的快粒子损失、输运和再分布的特征, 包括情况1: 非共振内扭曲模与撕裂模同时存在并且发生协同相互作用, 研究了这种协同作用引起快粒子输运的物理机理; 情况2: 只有非共振内扭曲模存在. 研究结果表明, 非共振内扭曲模与撕裂模的协同相互作用可以显著提升快粒子损失和输运水平, 主要原因是这种协同作用可以提供一种快粒子沿径向从等离子体芯部向等离子体边界运动的通道, 从而提升了快粒子输运、损失和再分布水平. 这些结果有助于理解未来聚变堆中低频磁流体不稳定性协同作用引起快粒子输运和损失的物理机理, 为寻找控制和缓解未来聚变堆中快粒子损失和输运水平的策略提供一定的新思路.
2023, 72 (21): 215211.
doi:10.7498/aps.72.20230726
摘要 +
利用混合磁流体-动理学模拟程序MEGA对中国环流器二号装置观测到的具有频率啁啾行为的比压阿尔芬本征模进行分析. 区别于动理论方法Berk-Breizman模型, MEGA程序采用真实的实验参数, 如平衡位形、电子密度、电子温度和离子温度等, 再现了具有向上和向下扫频特性的比压阿尔芬本征模. 实验观测到下扫频行为出现时背景等离子体的参数和比压值相对更高. 据此设置MEGA程序的输入参数: 在下扫频行为模拟中, 高能量离子的螺矩角初始分布宽度和芯部比压值, 以及扩散系数均更高. 模拟结果显示快离子相空间的分布影响了扫频行为. 当上扫频行为占主导时, 平行于磁场的离子发挥主要作用; 而下扫频行为占主导时, 垂直于磁场的离子密度显著上升. 实验与模拟均表明: 下扫频行为占主导的比压阿尔芬本征模激发对比压值和高能量离子的密度要求更高, 这与之前的模拟分析得到的结论一致.
2023, 72 (21): 215212.
doi:10.7498/aps.72.20230768
摘要 +
在HL-2A装置上发展了基于硫化锌银闪烁体的成像型中性粒子分析器, 对磁约束聚变等离子体中高能量粒子(EP)的分布、能量和螺距角等关键信息, 以及EP与磁流体不稳定性之间的相互作用等物理问题进行了研究. 在中性束注入路径上逃逸出的具有等离子体中快离子能量和螺距角信息的中性粒子, 通过由入射孔和碳微晶体膜片组成的准直系统后转化为离子, 在装置边缘磁场中受洛伦兹力偏转而撞击到闪烁体屏上. 通过分析发光点的位置和光强度, 可以推断出装置中快离子的位置、能量和螺距角等关键信息. 在HL-2A装置高能量粒子物理实验中, 通过该诊断和理论计算初步证实了长寿模不稳定性是由能量、螺距角和位置分别为E= 12.5—32 keV,
$\theta \sim$
149.2° (
$v_{//}/v\sim$
0.86)和R= 170.5—171.5 cm的芯部快离子激发.
2023, 72 (21): 215215.
doi:10.7498/aps.72.20230749
摘要 +
EXL-50U装置高参数等离子体的实现对中性束注入(NBI)加热的依赖非常敏感, 期望NBI快离子约束良好并通过碰撞慢化把能量传给背景等离子体. 本文基于集成模拟给出的平衡位形、快离子分布和装置波纹度数据对快离子波纹损失开展了模拟研究. 发现快离子波纹损份额约为37%, 局域热斑约 0.6 MW/m2, 对装置实验运行来说不可接受. 其优化方案包括移动等离子体位置和加FI(铁素体钢插件)降低波纹度, 增大Ip(等离子体电流)以及优化 NBI 角度. 结果显示必须控制波纹度分布且增大Ip到 600 kA 以上, 才能使快离子损失降低到 3%—4%, 局域热斑降低一个量级. 本文总结了装置设计时快离子波纹损失评估的方法, 包括相空间快离子分布和波纹损失区重合度, 全要素慢化时间尺度粒子跟踪. 还总结了降低波纹损失的工程和物理途径, 为集成模拟迭代优化和装置运行提供模拟支持.
2023, 72 (21): 215216.
doi:10.7498/aps.72.20230794
摘要 +
采用自主开发的本征值程序MAS, 基于朗道流体-漂移动理学混合物理模型, 针对近期实验上观测到的高能量电子激发比压阿尔芬本征模(e-BAE)开展动理学模拟研究. 通过在全域环几何位形下非微扰求解e-BAE色散关系, 得到了e-BAE实频率、增长率和模结构随环向模数的变化特征, 并发现e-BAE在高能量电子密度-温度参数空间下存在不稳定岛, 而在传统微扰理论下则不存在不稳定岛. 进一步分析了高能量电子非微扰效应对e-BAE模结构对称性破缺的影响, 结果表明: 增大高能量电子温度可以引起显著的极向对称性破缺; 移动高能量电子密度剖面使其驱动强度关于有理面不对称时, e-BAE模结构产生径向对称性破缺, 并且扰动幅度在平行波数谱空间下分布不对称, 从而引起等离子体自发旋转. 本文研究结果为理解实验上e-BAE的激发与传播特征具有参考意义.
2023, 72 (21): 215217.
doi:10.7498/aps.72.20230798
摘要 +
为了理解托卡马克装置中给定径向电场对离子温度梯度模(ITG)稳定性的影响, 基于非线性回旋动理学理论和气球模表象推导了环位形下包含径向电场引起的极向流和密度扰动影响的ITG的本征模方程, 并分别在长/短波长极限下研究了高能量粒子诱发测地声模(EGAM)所伴随的径向电场对ITG的本征频率、增长率和平行模结构的影响. 不仅对该本征模方程进行了理论研究, 还使用本征矩阵法对其进行数值求解, 以便对理论结果进行验证. 研究发现EGAM伴随的电场引起的极向转动会大幅降低ITG的增长率, 而极向模数m= 1的密度扰动对ITG的线性稳定性影响很小. 这一结果与一般认为的带状流通过极向流剪切抑制湍流的结果是一致的. 除此之外, 使用本文发展的一般性方法也可以研究高能量粒子激发的阿尔芬不稳定性与漂移波湍流通过阿尔芬不稳定性激发带状结构发生的间接非线性相互作用, 即带状结构所伴随的径向电场通过极向转动和密度扰动影响ITG的稳定性. 该间接非线性通道可以作为对主导背景等离子体输运的微观湍流和主导高能量粒子输运的阿尔芬不稳定性之间的直接相互作用通道的补充.
专题: 磁约束等离子体中的高能量粒子 • 封面文章
封面文章
2023, 72 (21): 215203.
doi:10.7498/aps.72.20230846
摘要 +
聚变等离子体中快离子分布函数的速度空间层析反演(tomography)是研究磁约束核聚变装置中快离子分布和输运的重要手段. 在东方超环(experimental advanced superconducting tokamak, EAST)中性束注入(neutral beam injection, NBI)与离子回旋共振加热(ion cyclotron range of frequencies heating, ICRF)协同加热实验中, 快离子诊断测量信号以及TRANSP模拟获得的快离子分布函数中观测到协同效应产生的高于中性束注入能量的高能粒子. 为了研究快离子分布行为, 获得不同加热条件下诊断测量的快离子分布函数, 采用不同的正则化方法, 增加先验信息以及将快离子Dα光谱诊断(fast-ion Dαspectroscopy, FIDA)与中子发射谱仪(neutron emission spectrometers, NES)相结合等方式, 有效提高快离子诊断信噪比以及在速度空间权重覆盖率, 实现在单独NBI加热以及NBI和ICRF协同加热条件下基于诊断测量的层析反演, 获得真实可靠的快离子分布函数. 这为下一步提高NBI与ICRF协同加热效率, 研究协同加热机制以及相关的快离子分布和输运行为奠定基础.
国防科技大学建校70周年专题
2023, 72 (21): 214207.
doi:10.7498/aps.72.20231242
摘要 +
Hong-Ou-Mandel干涉可以更好地抵抗相位噪声的干扰. 近年来基于双光子干涉的量子全息提出, 通过待测量子态和标准量子态的二阶干涉, 可以将待测光子的波函数信息解译出来. 为了更好地理解和发展该方法, 本文建立了量子全息的理论框架. 根据不同的待测态和参考态, 分别研究了利用单光子态或相干态作参考, 测量待测的单光子态和相干态. 本文讨论的所有情况下, 待测态的波函数信息以相似的数学形式反映在归一化的二阶关联函数中. 通过简洁算法便可提取待测态波函数的信息. 该量子全息也保持了Hong-Ou-Mandel干涉的鲁棒性, 相位噪声并不影响测量结果.
总论
2023, 72 (21): 210301.
doi:10.7498/aps.72.20230966
摘要 +
Duan-Lukin-Cirac-Zoller(DLCZ)量子中继协议中, 量子存储器的恢复效率直接影响纠缠分发速率. 研究了读光与读出光子模式腰斑比对DLCZ型量子存储器恢复效率的影响. 本文将87Rb冷原子系综置于中等精细度的环形腔内, 开展了腔增强DLCZ量子存储的实验研究. 通过改变读光腰斑大小来调节读光与读出光子模式腰斑比, 研究了其对腔增强量子存储器恢复效率的影响. 结果表明, 读光与读出光子模式腰斑比为3时, 实现了
$ 68.9{\text{%}} \pm 1.6{\text{%}} $
的本质恢复效率, 这时写出光子与读出光子的互关联函数
$ {g^{(2)}} $
为
$ 26.5 \pm 1.9 $
. 理论上建立了本质恢复效率随腰斑比的变化关系模型, 理论计算与实验相吻合, 演示了高恢复效率的量子存储器.
电磁学、光学、声学、传热学、经典力学和流体动力学
2023, 72 (21): 214201.
doi:10.7498/aps.72.20231050
摘要 +
光子结构在多光束的相干激发下, 通过调控光束间的干涉效应可以对结构的光学响应进行实时的控制. 本文研究了介质多层膜结构中相干控制的布洛赫表面波的偏振转换过程. 通过在介质多层膜的顶层引入凹槽结构, 可以促使布洛赫表面波进行偏振转换. 当两束相干的布洛赫表面波分别从结构的左右两端入射到凹槽结构上时, 通过设计结构偏振转换系数的相位差和入射相干光束间的相位延迟, 不仅可以对布洛赫表面波的偏振转换效率进行动态调控, 还可以对结构偏振转换的输出端口进行选择, 从而可以实现可控端口传输的表面波偏振转换器件. 本文通过改变凹槽的间距, 实现了对结构偏振转换系数相位差的设计, 通过严格的电磁场仿真验证了本文所设计结构中布洛赫表面波偏振转换的相干控制. 本文结果丰富了布洛赫表面波相关器件的研究, 在片上集成的光子回路中有着潜在的应用.
编辑推荐
2023, 72 (21): 214202.
doi:10.7498/aps.72.20231173
摘要 +
利用超快瞬态吸收光谱, 针对氧化镓(β-Ga2O3)晶体中本征缺陷诱导的载流子俘获和复合等动力学进行研究. 实验发现, 由本征缺陷诱导的宽带吸收光谱具有很强的偏振依赖性, 特别是从不同探测偏振下的瞬态吸收光谱中可以提取出两个缺陷态吸收响应. 该缺陷诱导的吸收响应归因于从价带到本征缺陷(镓空位)不同电荷态的光学跃迁, 利用基于单缺陷的多能级载流子俘获模型拟合得到缺陷俘获空穴的速率远快于俘获电子, 且缺陷态的吸收截面相较于自由载流子吸收截面大至少一个数量级. 本文的研究结果不仅能明确本征缺陷与光生载流子动力学之间的关系, 而且为β-Ga2O3在超快宽带光电子器件中的应用提供科学指导.
2023, 72 (21): 214203.
doi:10.7498/aps.72.20230534
摘要 +
通过数值求解强激光场与二维模型H离子团簇相互作用的含时薛定谔方程, 发现H离子团簇产生的高次谐波平台比单个H原子产生的高次谐波平台要宽. 建立了研究团簇产生高次谐波的经典模型, 研究发现经典模型计算结果与含时薛定谔方程结果能很好的对应, 同时指出高次谐波平台拓展的原因在于母核周围其他离子产生的库仑势场的作用, 并给出由此产生的离子间距改变对高次谐波截止能量的影响, 为观测团簇膨胀提供了一种可能途径.
2023, 72 (21): 214204.
doi:10.7498/aps.72.20230773
摘要 +
系统研究了水/醇溶性共轭聚电解质Poly[(9, 9-bis(3′-((N, N-dimethyl)-N-ethylammonium)-propyl)-2, 7-fluorene)-alt-2, 7-(9, 9-dioctylfluorene)]dibromide(PFN-Br)的光放大性质, 发现其具有较小的放大自发辐射(ASE)阈值(~11 μJ/cm2)和ASE截止厚度(<50 nm), 是一种高效的蓝光(~456 nm)增益介质. 利用其对于有机溶剂的良好耐性, 如甲苯等, 分别在石英和ITO玻璃基底上制备了PFN-Br/F8BT以及PFN-Br/MEH-PPV双层器件. 经过研究发现, PFN-Br界面层不会明显增加系统损耗并影响上层F8BT的光增益. 然而, 在ITO玻璃基底上, 通过引入PFN-Br界面层, 减少了ITO电极对MEH-PPV增益介质损耗, 显著地降低了其ASE阈值(相比于没有PFN-Br界面降低约60%). 这些发现说明了PFN-Br本身具备良好的增益性能, 同时也是成熟的载流子传输界面功能材料, 在有机激光领域应用前景十分广泛.
2023, 72 (21): 214205.
doi:10.7498/aps.72.20230722
摘要 +
在半导体光放大器光纤环形激光器的基础上, 提出一种基于偏振动力学的全光储备池计算系统. 实验分析了该激光器的偏振动力学状态响应的影响因素, 且结合储备池基本属性确定了系统参数的选取范围. 通过处理Santa Fe时间序列预测任务和多波形识别任务来评估该储备池计算系统的网络性能. 在合适的系统参数下, 仅用30个虚节点, 时间序列预测任务的归一化均方误差可低至0.0058, 识别任务的识别率可高达100%. 实验结果表明, 该偏振动力学储备池计算系统具有良好的预测性能和分类能力, 且与已有的基于该环形激光器的强度动力学储备池计算系统的性能相当. 该工作为光储备池计算神经网络的研究提供了新的思路. 当其偏振动力学和强度动力学一起使用时, 该系统有望实现两个任务的并行处理.
2023, 72 (21): 214206.
doi:10.7498/aps.72.20231110
摘要 +
光纤表面等离激元共振(surface plasmon resonance, SPR)传感技术可以直接感测传感器周围分子相互作用导致的传感器表面折射率变化, 具有体积小、成本低、免标记、灵敏度高, 易实现小型化、多参量、实时原位检测等优势. 本文基于新型二维纳米材料紫磷并结合完备的制备与表征工艺首先构建了两种探针式光纤SPR折射率计, 可实现对面/体结合折射率的高灵敏度、即插即用式检测. 在1.33—1.34低折射率范围内, 本文设计的光纤/紫磷/金层/样品层近场增强型SPR折射率计灵敏度和品质因数最高分别达到2335.64 nm/RIU和24.15 RIU–1, 分别是单金层SPR折射率计的1.31倍和1.25倍; 所设计的光纤/金层/紫磷/样品层近导波型SPR折射率计灵敏度和品质因数分别达到2802.06 nm/RIU和22.53 RIU–1, 是单金层SPR折射率计的1.57倍和1.16倍. 最后, 将近场增强型SPR和近导波型SPR集成到一个光纤探针中, 实现了双通道传感. 本文开发的探针式双通道光纤SPR折射率计为生化领域中多类型蛋白检测、重金属离子检测等提供了一种新思路.
2023, 72 (21): 214701.
doi:10.7498/aps.72.20230443
摘要 +
脉冲电场是心房颤动及肿瘤消融的一种新型物理能量源. 相比于传统热消融, 其具有非热、不损伤周边组织等优势. 物理消融过程中产生的扩散气泡可能导致气体栓塞, 对人体有潜在的危害. 然而当前尚未有针对消融脉冲参数对扩散气泡的影响研究. 因此, 本实验搭建了脉冲产生和气泡观察平台, 具体研究了溶液电导率, 脉冲电压、脉宽、输入能量等参数与扩散气泡之间的关系, 统计了不同条件下扩散气泡的尺寸分布范围, 并探究了扩散气泡的可能产生原因. 实验结果表明: 液体中产生的扩散气泡量与脉冲电压、输入能量正相关; 高电导率、长脉宽可以增强热效应, 并增加扩散气泡量, 且更易产生尺寸大于100 μm的扩散气泡; 通过对结果推测, 针电极为阴极时, 电解反应可能是扩散气泡的主要来源. 本研究有望指导未来脉冲电场消融参数的优化.
气体、等离子体和放电物理
2023, 72 (21): 215213.
doi:10.7498/aps.72.20230991
摘要 +
重杂质(如钨)聚芯是未来托卡马克反应堆中等离子体高性能运行所面临的严峻挑战. 开展多流体及动力学模拟以研究氖杂质注入条件下, 东方超环EAST托卡马克中等离子体高约束时的钨杂质边界输运特性. 结果表明, 低电离态钨离子主要聚集在碰撞率较高的偏滤器区域, 流体近似可很好地满足; 高电离态钨离子密度相对较低且主要位于碰撞率相对较低的芯部, 多流体与动力学模拟结果差异显著; 但二者计算的钨杂质总密度差异较小(< 30%). 多流体模拟中, 除将钨离子考虑为74种流体外, 还将电离能接近的钨离子进行价态捆绑. 比较发现, 价态捆绑可显著降低计算成本, 但在高再循环(或部分脱靶)运行机制下可显著高估(低估)偏滤器区域等离子体温度(密度), 从而大幅低估钨电离源及钨密度, 其根源在于价态捆绑对钨离子平均电离态和偏滤器区域辐射功率损失的显著影响. 模拟结果还表明, 氖杂质注入促进偏滤器脱靶可有效缓解钨杂质聚芯.
2023, 72 (21): 215214.
doi:10.7498/aps.72.20231022
摘要 +
随着半导体器件的关键尺寸缩减至纳米尺度, 原子层刻蚀成为实现单原子分辨率的重要技术. 由于原子层刻蚀通过解耦钝化与刻蚀两个自限性反应流程来实现对刻蚀材料的单层去除, 存在刻蚀速率低的问题. 基于此, 本文通过耦合感性耦合等离子体放电腔室模型、鞘层模型和刻蚀槽模型, 研究了在Ar/Cl2气体和Ar感性耦合等离子体放电条件下, 硅的单次原子层刻蚀流程的最优时间, 并与传统固定时间的原子层刻蚀沟槽进行了对比, 还研究了不同深宽比下原子层刻蚀循环的时间变化规律. 结果表明, 当钝化过程为表面SiCl2的比例最高时, 单次原子层刻蚀循环的时间最短, 且表面质量较好, 多原子层刻蚀循环的刻蚀效率有较大提升; 此外, 随着深宽比的增加, 原子层刻蚀中的钝化和刻蚀时间随之增加, 理想条件下呈线性关系.
凝聚物质:结构、力学和热学性质
编辑推荐
2023, 72 (21): 216401.
doi:10.7498/aps.72.20231002
摘要 +
研究了液态Zr35Al23Ni22Gd20合金在深过冷快速凝固条件下的亚稳相分离和双非晶相形成机理. 实验发现, 在平衡条件下其凝固组织由3种晶体相构成, 诱发亚稳相分离的临界过冷度约为516 K (0.37TL). 当过冷度达到624 K (0.45TL)时, 分离后的富Zr液相发生非晶转变, 形成非晶AM-Zr相; 当过冷度进一步增大到714 K(0.52TL)时, 富Gd液相发生非晶转变形成非晶AM-Gd相. 同时, 过冷度和冷却速率的增大导致亚稳相分离机制由形核长大型转变为调幅分解型, 双非晶相的组织形貌由球状向网状转变. 双相非晶合金的平均硬度和杨氏模量由自由体积、相体积分数和双非晶相结构共同支配, 呈现出先减小后增大的变化规律. 双非晶相的形成有利于合金应力加载过程中的能量耗散, 促进了多重剪切带的产生, 提高了非晶合金的塑性.
2023, 72 (21): 216701.
doi:10.7498/aps.72.20231052
摘要 +
在量子光学中, 绝热消除可以简化多能级量子系统, 它通过消除快速振荡自由度、保留慢变量动力学, 从而获得系统的有效描述. 绝热消除在量子模拟和量子精密测量中具有重要应用, 比如利用三能级拉曼耦合和绝热消除人们在超冷原子中实现了自旋-轨道耦合. 本文在三能级绝热消除的基础上研究三能级非厄米系统与多能级系统中绝热消除的理论方法及其推广, 验证了绝热消除理论在非厄米系统和多能级系统中的有效性与准确性. 本文研究可为耗散的多能级量子系统中的态制备和动力学操控提供理论基础.
凝聚物质:电子结构、电学、磁学和光学性质
2023, 72 (21): 217101.
doi:10.7498/aps.72.20230851
摘要 +
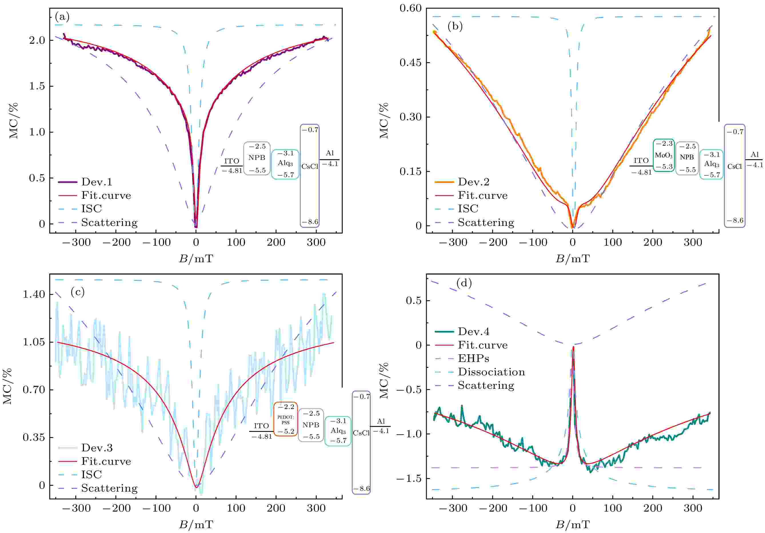
三线态激子-电荷相互作用(triplet excition-charge interaction, TQI)有解离和散射两种形式, 但至今仍未明确空穴注入层如何影响三线态激子的解离和散射以及磁电导(magneto-conductance, MC)正负之间的转变. 本文采用能产生载流子阶梯效应的HAT-CN作为空穴注入层, 运用磁效应作为工具对器件内部微观机理进行研究. 结果表明, 器件内部存在超精细、解离、散射三个特征磁场, 利用Lorentzian和non-Lorentzian函数对MC进行拟合并得以验证. 超精细场源于载流子自旋与氢核自旋间的超精细相互作用. 随磁场增强, 空穴注入层与空穴传输层界面产生载流子阶梯效应, 提高了空穴注入效率, 三线态激子被空穴解离后产生二次载流子. 载流子阶梯效应也会导致注入电荷大量积累, 载流子被三线态激子散射, 使其迁移率降低, 不利于激发态的形成和器件发光. MC由
$ {K_{\text{S}}}/{K_{\text{T}}} $
(重组速率比)调制, 电压较小时
$ {K_{\text{S}}} \gg {K_{\text{T}}} $
, 重组比相对较大, 产生正MC; 随电压增大
$ {K_{\text{S}}} \approx {K_{\text{T}}} = K $
, 此时
$ {K_{\text{S}}}/{K_{\text{T}}} $
趋近于1, 出现负MC; 尤其在低温下, MC均为负值. 本工作为空穴注入层调控三线态激子的解离和散射及MC正负之间的转变提供新思路.
2023, 72 (21): 217201.
doi:10.7498/aps.72.20230973
摘要 +
叠层有机电致发光器件(organic electroluminescent device, OLED)因寿命长和电流效率高等优点引起广泛关注. 本文利用Alq3/HAT-CN作为中间连接层制备了双发光单元叠层OLED, 对其光电性能和激子调控机制探究. 结果表明, 在80 mA/cm2电流密度下, 叠层OLED的亮度(11189.86 cd/m2)和效率(13.85 cd/A)达到了单发光单元OLED (亮度和效率分别为4007.14 cd/m2和5.00 cd/A)的2.7倍. 在室温下, 磁场诱导极化子对发生系间窜越(intersystem crossing, ISC), 增加三重态激子(triplet exciton, T1)浓度, 促进电荷散射, 使磁电致发光(magneto-electroluminescence, MEL)低磁场快速增加和高磁场缓慢上升. 当固定电流, Alq3/HAT-CN器件中未复合的电荷较少, 导致T1与电荷湮灭(triplet-charge annihilation, TQA)减弱, 致使MEL上升幅度最小. 随电流增大, T1浓度升高使TQA增强而ISC减弱. 降低温度, 电荷减弱, T1浓度增大, 使T1湮灭(triplet-triplet annihilation, TTA)增强. 因此, 通过改变注入电流和温度可调控T1的浓度, 进而影响ISC, TQA和TTA的强弱, 导致直接发光的单重态激子数量的增加, 最终引起叠层OLED发光效率的提高. 总之, 本工作有助于深入理解小分子叠层OLED发光机制, 对探明其光电性能提高的机理具有重要意义.
编辑推荐
2023, 72 (21): 217501.
doi:10.7498/aps.72.20231200
摘要 +
二维碳/氮化物MXene近年来受到了越来越多的关注, 其优异的导电性和表面丰富的官能团可对电磁波吸收有着积极的作用. 然而作为仅有介电损耗的非磁性材料, MXene存在着阻抗不匹配等问题, 极大地限制了实际应用. 因此, 将磁性材料与MXene结合成为了目前微波吸收领域的研究热点, 而降低MXene堆叠现象与调控磁性材料所占比例成为实现良好微波吸收性能的关键因素. 本文通过简单的静电吸附作用将水热法制备的Fe3O4纳米微球锚定在大尺寸单层二维Ti3C2Tx表面, 并在该Fe3O4@Ti3C2Tx复合结构中实现了–69.31 dB的最小反射损耗值(频率为16.19 GHz), 且此时的双峰吸收带宽可达到3.39 GHz. 另外, 雷达截面(RCS)模拟计算表明, 该样品也具有优异的RCS值, 表现出对雷达波优异的衰减能力. 本研究对二维材料和磁性材料在微波吸收领域的性能改善与实际应用提供了新的思路.
物理学交叉学科及有关科学技术领域
2023, 72 (21): 218101.
doi:10.7498/aps.72.20231041
摘要 +
光声泵浦成像是一种新型的高特异性光声分子影像技术. 它可以避免常规光声成像中来自血液等强背景信号的干扰, 实现组织中微弱目标分子的探测, 并通过对泵浦-探测激光间的延时扫描, 获得组织中的氧分压分布. 本文采用亚甲基蓝作为分子探针, 通过对血红蛋白溶液中氧分压变化的监测, 开展了对光声泵浦成像的定量分析研究. 本文采用高斯噪声模型, 获得了三重态差分信号稳定性随着平均次数变化的规律, 并在此基础上对氧分压测量的误差进行了分析. 结果表明, 在平均次数为200次条件下, 氧分压在300—550 mmHg (1 mmHg = 133 Pa)区间内, 所搭建系统的检测精度优于33 mmHg. 本研究将对光声泵浦成像技术的进一步发展和应用起到重要的指导作用.
编辑推荐
2023, 72 (21): 218102.
doi:10.7498/aps.72.20231539
摘要 +
过渡金属磷硫化合物MPS (M为过渡金属)是一类新型二维范德瓦耳斯材料, 因其独特的磁学、光学和光电性能而得到广泛关注. 其中, Nb4P2S21是具有准一维链状结构的层状材料, 其各向异性的光学性质等物性仍缺乏深入研究. 本文主要通过偏振Raman光谱和角度依赖的飞秒瞬态吸收光谱对Nb4P2S21单晶的光学各向异性进行研究, Nb4P2S21单晶的偏振Raman光谱表明在平行和垂直极化构型下, 202 cm–1处的Raman振动峰强度均表现出二重对称性, 而489 cm–1处的Raman振动峰强度均表现出四重对称性. 而超快载流子动力学研究表明在平行极化构型下, Nb4P2S21单晶在光激发后的热载流子数目和弛豫速率均表现出各向异性. 这些结果有助于理解Nb4P2S21单晶的面内各向异性光学性质, 并将进一步促进其在角度关联的低维光电子器件中的应用.
2023, 72 (21): 218901.
doi:10.7498/aps.72.20231027
摘要 +
针对快速获取钙钛矿材料带隙值的问题, 建立特征融合神经网络模型(CGCrabNet), 利用迁移学习策略对钙钛矿材料的带隙进行预测. CGCrabNet从材料的化学方程式和晶体结构两方面提取特征, 并拟合特征和带隙之间的映射, 是一个端到端的神经网络模型. 在开放量子材料数据库中数据(OQMD数据集)预训练的基础上, 通过仅175条钙钛矿材料数据对CGCrabNet参数进行微调, 以提高模型的稳健性. 数值实验结果表明, CGCrabNet在OQMD数据集上对带隙的预测误差比基于注意力的成分限制网络(CrabNet)降低0.014 eV; 本文建立的模型对钙钛矿材料预测的平均绝对误差为0.374 eV, 分别比随机森林回归、支持向量机回归和梯度提升回归的预测误差降低了0.304 eV、0.441 eV和0.194 eV; 另外, 模型预测的SrHfO3和RbPaO3等钙钛矿材料的带隙与第一性原理计算的带隙相差小于0.05 eV, 这说明CGCrabNet可以快速准确地预测钙钛矿材料的性质, 加速新材料的研发过程.




