-
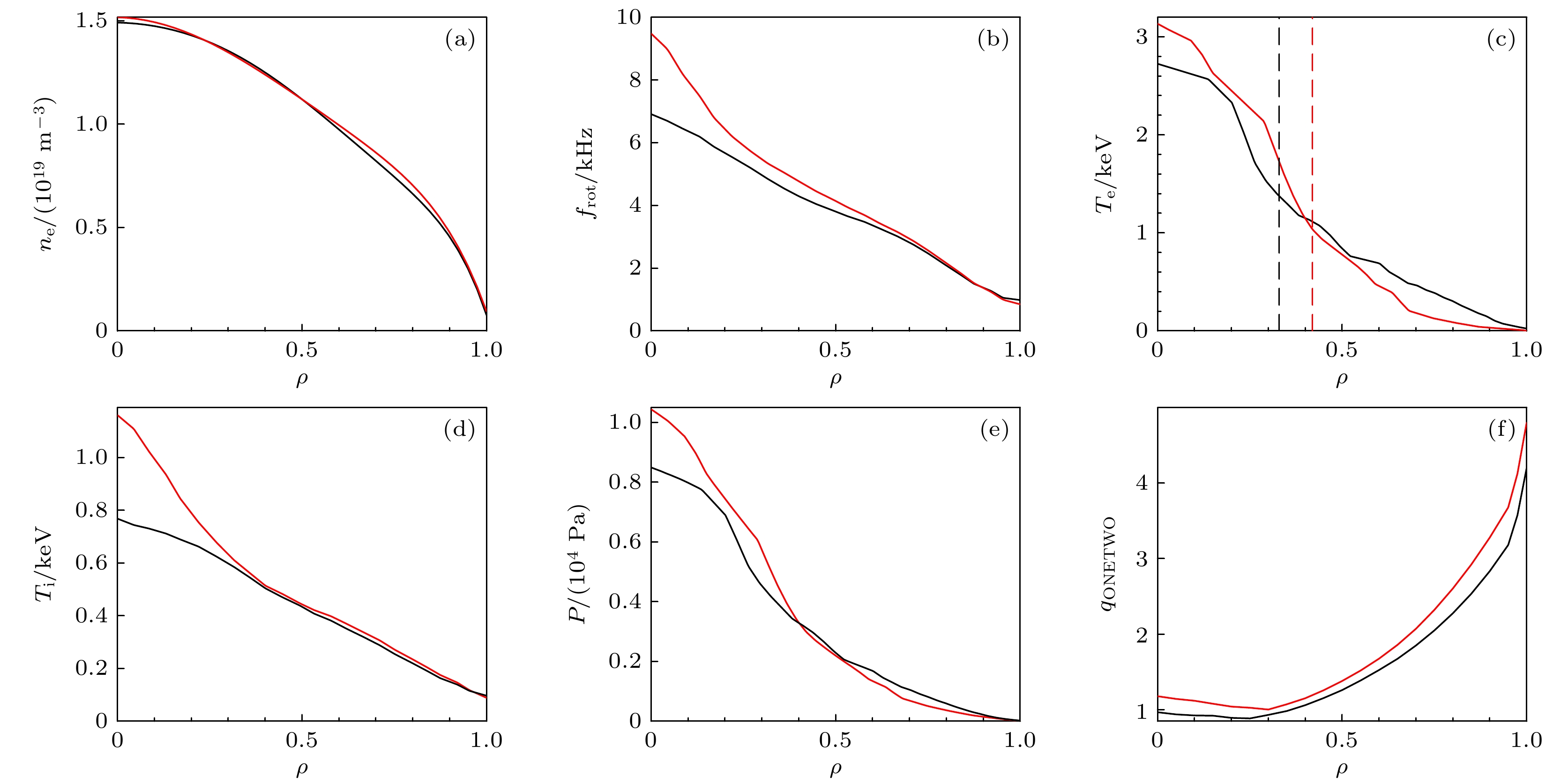
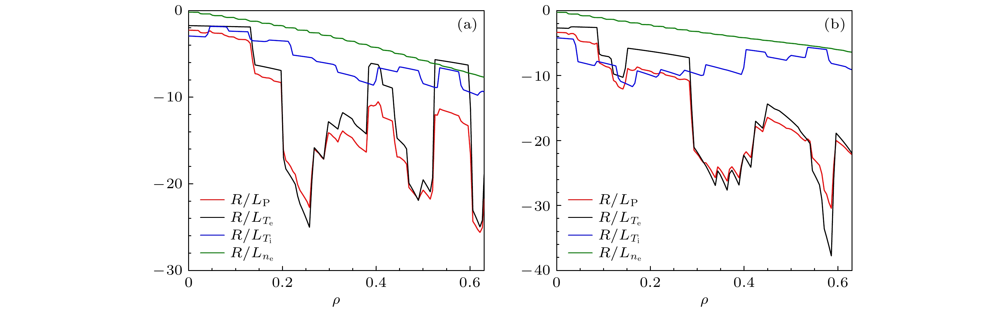
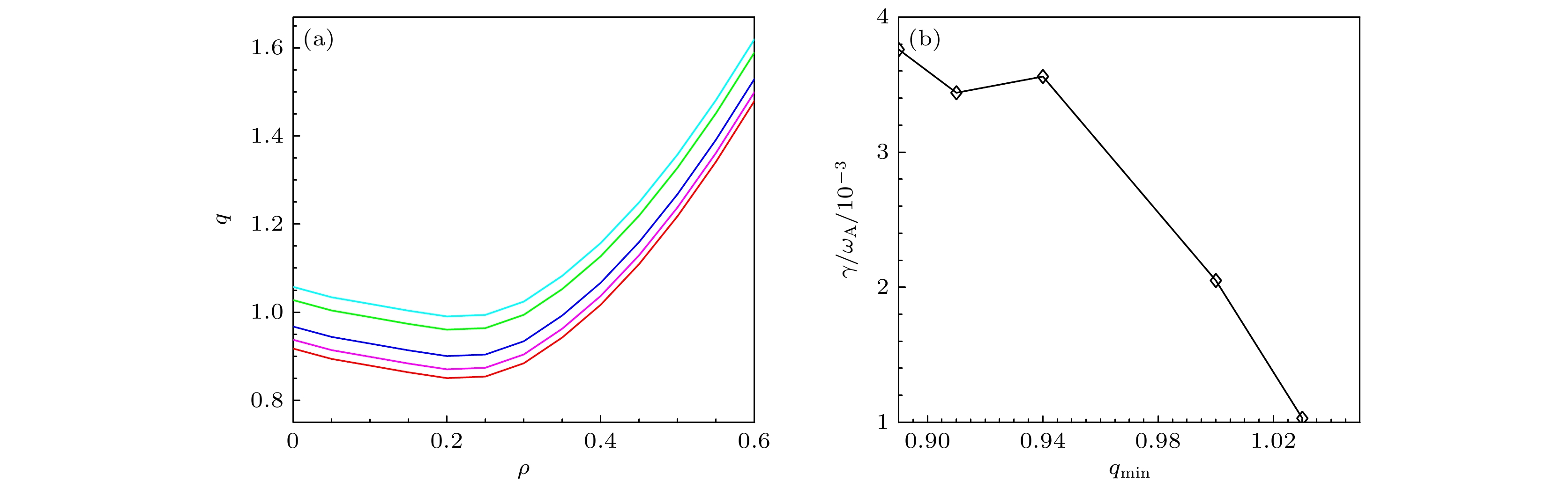
近期, 在中国环流器2号A (HL-2A)装置上利用电子回旋共振加热(electron cyclotron resonance heating, ECRH)开展了鱼骨模主动控制的实验研究. 结果发现, 鱼骨模的主动控制效果与射频波功率沉积位置密切相关. 在相同的注入功率条件下, ECRH离轴加热的效果比在轴的效果更好, 甚至可以实现对鱼骨模的完全抑制. 分析表明, 大功率离轴射频波通过提升电子温度进而使得等离子体压强梯度和等离子体电流密度变化, 随后导致安全因子改变并使得最小安全因子
$q_{{\rm{min}}}>1$ . M3D-K程序模拟表明, 鱼骨模的增长率随着$q_{{\rm{min}}}$ 增大而减小, 这意味着ECRH通过提高安全因子导致 q= 1有理面的缺失并使得鱼骨模被完全抑制.Experiment on suppressing fishbone activities is carried out in HL-2A tokamak by electron cyclotron resonance heating (ECRH). To achieve multiple deposition locations of ECRH, the magnetic field is in a range of 1.22–1.4 T from shot to shot. It is found that the fishbone modes exhibit different characteristics at different radial deposition locations. With the same injected power, the effect of off-axis ECRH is much better than that of on-axis heating. The fishbone modes can be completely suppressed when ECRH is deposited nearby the q= 1 rational surface, but would only mitigate in other cases. Further analysis indicate that injection of high power ECRH leads the electron temperature to increase, then the pressure gradient and plasma current density to change, finally safety factor to change and the minimum safety factor to reach a value larger than 1. Meanwhile, M3D-K simulation results show that the growth rate of fishbone mode declines with the increase of q min. In other words, the growth of safety factor and disappearance of q= 1 rational surface induced by ECRH contribute to the suppression of fishbone activities. The experimental results reported here may not only help to better understand complex effects of ECRH on magnetohydrodynamic instability, but also provide a physics basis for actively controlling the energetic particle driven modes in the future magnetic confined fusion devices.[1] [2] [3] [4] [5] [6] [7] [8] [9] [10] [11] [12] [13] [14] [15] [16] [17] [18] [19] [20] [21] [22] [23] [24] [25] [26] [27] [28] [29] [30] [31] [32] [33] [34] [35] -
[1] [2] [3] [4] [5] [6] [7] [8] [9] [10] [11] [12] [13] [14] [15] [16] [17] [18] [19] [20] [21] [22] [23] [24] [25] [26] [27] [28] [29] [30] [31] [32] [33] [34] [35]
计量
- 文章访问数:2264
- PDF下载量:58
- 被引次数:0












下载:






