-
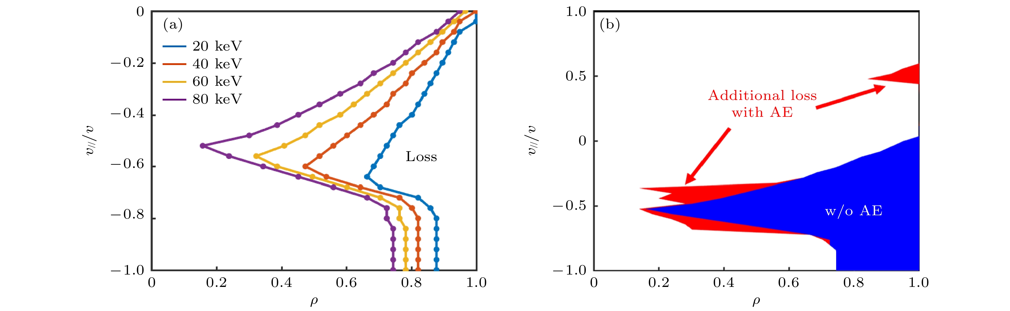
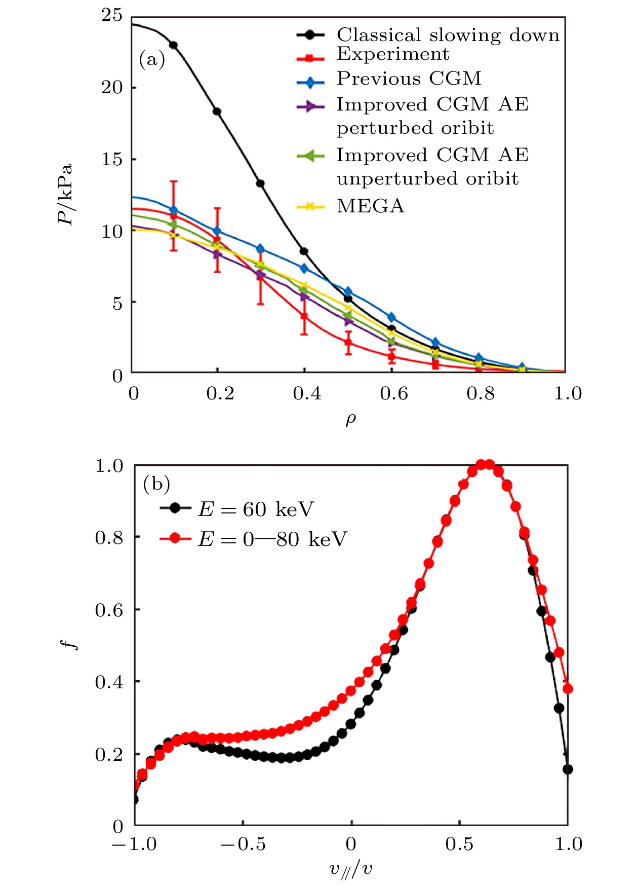
基于临界梯度模型, 使用TGLFEP和EPtran两个程序可以模拟分析阿尔芬本征模引起的高能量粒子输运问题. 本文在原有模型的基础上, 加入了两点改进使模拟结果更接近实验. 其一, 考虑阈值剖面的演化过程. 判断阈值的物理量由密度梯度(d n/d r)改为归一化的密度梯度((d n/d r)/( n/ a)), 并且使用TGLFEP模拟证明阈值与高能量粒子密度成反比例关系, 也就是说, 当密度降低时, 阈值会增大. 第二, 考虑有限轨道宽度效应. 使用OBRIT程序计算高能量粒子的损失锥, 并输入到EPtran程序中, 从而增加了一种高能量粒子的损失通道. 利用DIII-D#142111和#153071进行实验验证, 结果表示改进后的模型更接近实验. 最后, 利用神经网络代替TGLFEP计算临界梯度, 并实现EPtran的并行计算以缩短运行时间. 以此建立一个EP模块并加入到OMFIT集成模拟中, 模拟结果表示当阿尔芬本征模驱动高能量粒子输运, 会导致芯部的压强和电流降低, 从而提升当地的安全因子, 改变平衡位形.Based on the critical gradient model , the combination of the TGLFEP code and EPtran code is employed to predict energetic particle (EP) transport induced by Alfvén eigenmodes (AEs). To be consistent with the experimental results, the model was improved recently by taking into consideration the threshold evolution and orbit loss mechanism. The threshold is modified to be the normalized critical gradient ((d n/d r)/( n/ a)) instead of the critical gradient (d n/d r), and the new threshold is defined as a function inversely proportional to the EP density as obtained by the TGLFEP code. Additionally, the EP loss cone calculated by ORBIT is added into the EPtran code, which provides an important additional core loss channel for EPs due to finite orbits. With these two improvements, the EP redistribution profiles are found to very well reproduce the experimental profiles of two DIII-D validation cases (#142111 and #153071) with multiple unstable AEs and large-scale EP transport. In addition, a neural network is established to replace TGLFEP for critical gradient calculation, and EPtran code is rewritten with parallel computing. Based on this, a module of EP is established and it is added into the integrated simulation of OMFIT framework. The integrated simulation of HL-3 with AE transported neutral beam EP profile indicates that EP transport reduces the total pressure and current as expected, but under some condition it could also raise the safety factor in the core.
[1] [2] [3] [4] [5] [6] [7] [8] [9] [10] [11] [12] [13] [14] [15] [16] [17] [18] [19] [20] [21] [22] [23] [24] [25] [26] [27] [28] [29] [30] -
变量 符号 表达式 1 电子密度 ne 2 电子温度 Te 3 电子密度特征长度 rlns_e $ -\displaystyle\frac{a}{{n}_{{\rm{e}}}}\frac{\partial {n}_{{\rm{e}}}}{\partial r} $ 4 电子温度特征长度 rlts_e $ -\displaystyle\frac{a}{{T}_{{\rm{e}}}}\frac{\partial {T}_{{\rm{e}}}}{\partial r} $ 5 磁面对应的小半径 rmin $ {r}/{a} $ 6 安全因子 q 7 磁剪切 q_prime $ \displaystyle\frac{{q}^{2}{a}^{2}}{{r}^{2}}s $ 8 压强梯度 p_prime $ \displaystyle\frac{q{a}^{2}}{r{B}^{2}}\frac{\partial p}{\partial r} $ 9 高能量粒子温度 taus_EP TEP/Te 10 高能量粒子温度特征长度 rlts_EP $ -\displaystyle\frac{a}{{T}_{{\rm{E}}{\rm{P}}}}\frac{\partial {T}_{{\rm{E}}{\rm{P}}}}{\partial r} $ 11 磁场强度 B 12 磁面对应的大半径 rmaj $ {R}/{a} $ 13 拉长比 kappa κ 14 拉长比的剪切 s_kappa $ \displaystyle\frac{r}{\kappa }\frac{\partial \kappa }{\partial r} $ 15 三角形变 delta δ 16 三角形变的剪切 s_delta $ \displaystyle\frac{r}{\delta }\frac{\partial \delta }{\partial r} $ 17 Shafranov位移 drmajdx $ \displaystyle\frac{\partial R}{\partial x} $ 18 小半径 a -
[1] [2] [3] [4] [5] [6] [7] [8] [9] [10] [11] [12] [13] [14] [15] [16] [17] [18] [19] [20] [21] [22] [23] [24] [25] [26] [27] [28] [29] [30]
计量
- 文章访问数:1913
- PDF下载量:55
- 被引次数:0












下载:

















