搜索

x

留言板

姓名
邮箱
手机号码
标题
留言内容
验证码

downloadPDF
引用本文:
Citation:

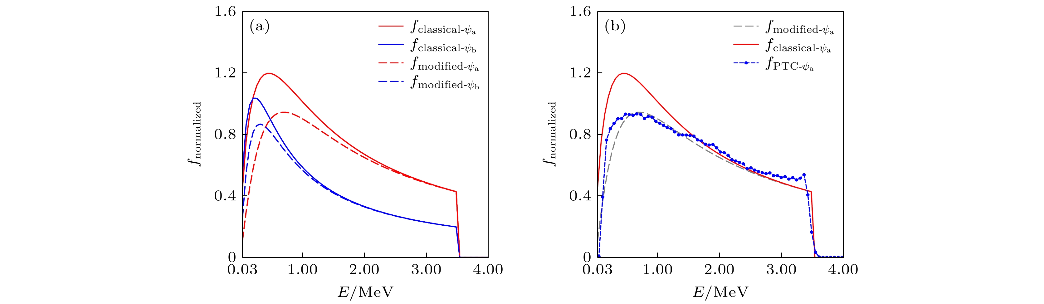
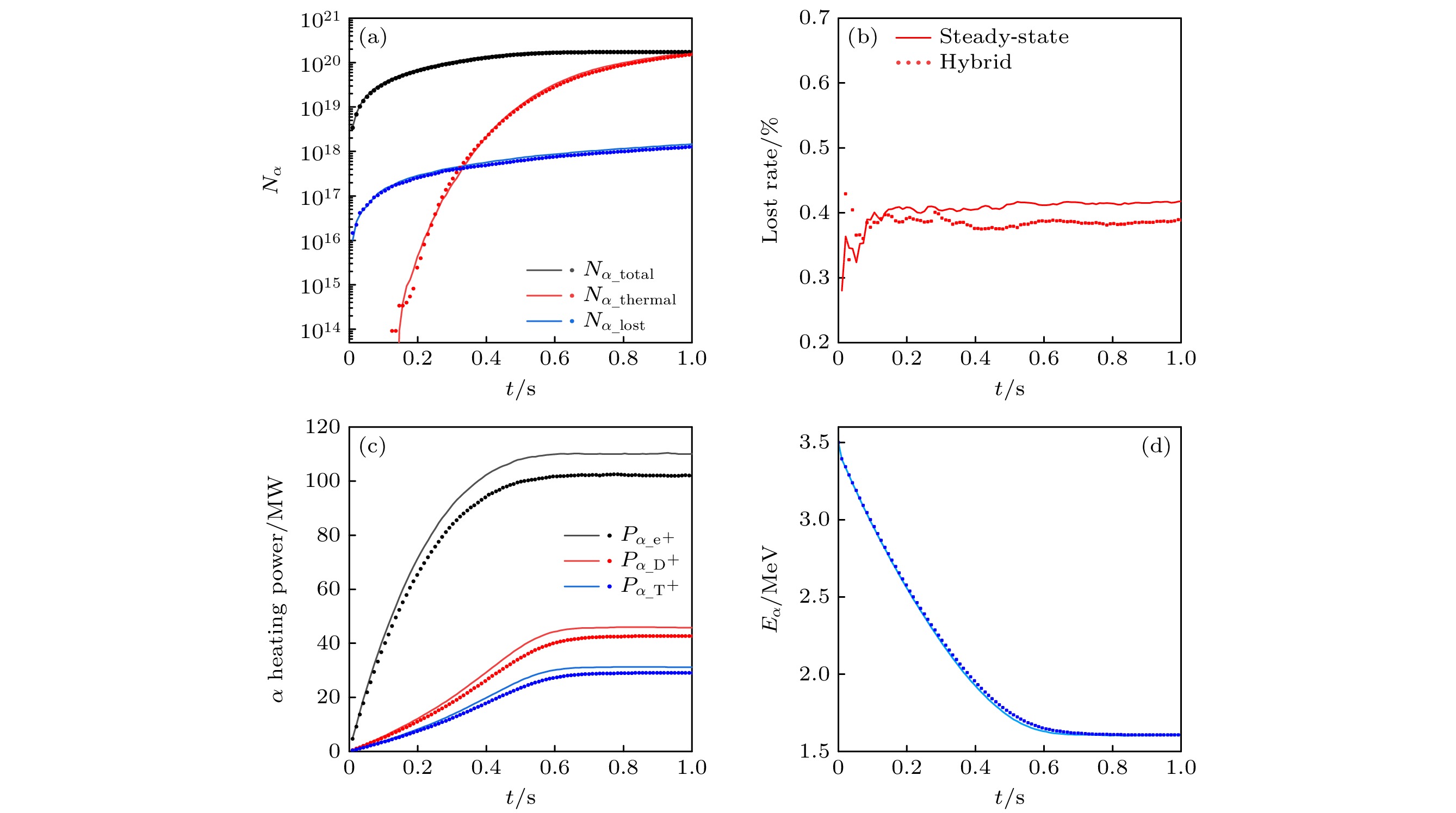
CFETR参数下 $\boldsymbol \alpha$ 粒子慢化过程的数值模拟

吴相凤, 王丰, 林展宏, 陈罗玉, 于召客, 吴凯邦, 王正汹

Numerical simulation of $\boldsymbol \alpha$ particle slowing-down process under CFETR scenario

Wu Xiang-Feng, Wang Feng, Lin Zhan-Hong, Chen Luo-Yu, Yu Zhao-Ke, Wu Kai-Bang, Wang Zheng-Xiong
PDF
HTML
导出引用
计量
  • 文章访问数:2025
  • PDF下载量:93
  • 被引次数:0
出版历程
  • 收稿日期:2023-04-29
  • 修回日期:2023-06-08
  • 上网日期:2023-06-26
  • 刊出日期:2023-11-05

    返回文章
    返回