-
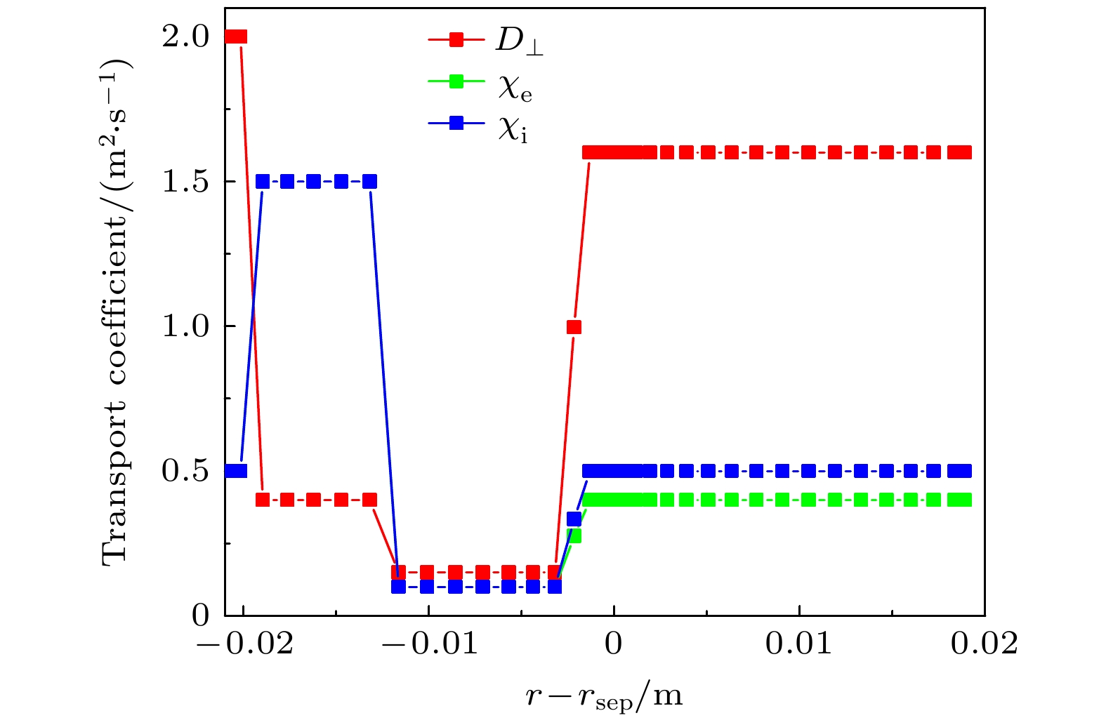
重杂质(如钨)聚芯是未来托卡马克反应堆中等离子体高性能运行所面临的严峻挑战. 开展多流体及动力学模拟以研究氖杂质注入条件下, 东方超环EAST托卡马克中等离子体高约束时的钨杂质边界输运特性. 结果表明, 低电离态钨离子主要聚集在碰撞率较高的偏滤器区域, 流体近似可很好地满足; 高电离态钨离子密度相对较低且主要位于碰撞率相对较低的芯部, 多流体与动力学模拟结果差异显著; 但二者计算的钨杂质总密度差异较小(< 30%). 多流体模拟中, 除将钨离子考虑为74种流体外, 还将电离能接近的钨离子进行价态捆绑. 比较发现, 价态捆绑可显著降低计算成本, 但在高再循环(或部分脱靶)运行机制下可显著高估(低估)偏滤器区域等离子体温度(密度), 从而大幅低估钨电离源及钨密度, 其根源在于价态捆绑对钨离子平均电离态和偏滤器区域辐射功率损失的显著影响. 模拟结果还表明, 氖杂质注入促进偏滤器脱靶可有效缓解钨杂质聚芯.Accumulation of tungsten (W) in core is a serious challenge for achieving high-performance plasmas in future tokamak reactors, thus W impurity transport is a highly concerned topic in the tokamak physics researches. Multi-fluid model and kinetic model are the numerical tools widely used for investigating and/or predicting impurity behaviors in the boundary of tokamak plasma. Generally, the applicability of multi-fluid model for impurity transport modeling requires that the collision mean-free-path should be smaller than the gradient scale lengths of particles, which may not be always satisfied. It is performed and comparatively investigated to evaluate the applicability of multi-fluid model for W impurity transport modeling, multi-fluid (SOLPS-ITER) modeling and kinetic (DIVIMP) modeling of W impurity transport in the edge of high-confinement plasma in Experimental Advanced Superconducting Tokamak (EAST) during neon impurity seeding. It is found that low-charge-state W ions are mainly located in the divertor region near the target plate where plasma collisionality is relatively high due to the relatively low/high local plasma temperature/density. Hence, the fluid assumption for transport of lowly-charged W ions can be well satisfied. Consequently, the density of lowly-charged W ions predicted by SOLPS-ITER and that calculated by DIVIMP are almost similar. Owing to the fact that the density of highly-charged W ions is relatively low and these particles mainly exist in the upstream (e.g. the main SOL and core) where plasma collisionality is relatively low, the fluid approximation cannot be well satisfied. However, the total W impurity density calculated by the kinetic code DIVIMP and the multi-fluid model SOLPS-ITER are found to be in agreement with each other within a factor of 1.5 for the simulation cases presented in this contribution. Besides, the multi-fluid simulation with bundled charge state model has also been performed, the obtained results are compared with those from the multi-fluid modeling with W ions treated as 74 fluids. It is revealed that in simulation cases with neon impurity seeding and with divertor plasmas in high-recycling or partially detached regimes, the bundling scheme, which is commonly used for saving the computation cost in multi-fluid modeling, tends to overestimate the average charge state of W ions and thus tends to underestimate the radiation power loss, especially in the divertor region. Consequently, under the circumstance that W impurity radiation dominates the radiative power loss in divertor region, plasma temperature/density can be largely overestimated/underestimated, leading to the underestimation of W ion ionization source and W impurity density. Moreover, simulation results demonstrate that W accumulation in core can decrease effectively during divertor detachment promoted by neon seeding.
-
Keywords:
- tokamak/
- tungsten impurity/
- multi-fluid model/
- kinetic modeling
[1] [2] [3] [4] [5] [6] [7] [8] [9] [10] [11] [12] [13] [14] [15] [16] [17] [18] [19] [20] [21] [22] [23] [24] [25] [26] [27] [28] [29] [30] [31] [32] [33] [34] [35] [36] [37] [38] [39] [40] [41] [42] [43] [44] [45] [46] [47] [48] [49] -
Fluid models OD ID SOL Core Total Bundled-charge-states 9.31 0.93 0.002 $ \sim 0 $ 10.2 Full-charge-states 38.7 10.2 0.04 $ \sim 0 $ 48.9 Fluid model Species OT/1019 IT/1018 Total/1020 Bundled-charge-states D 2280 26500 493 Ne 7.46 43.2 1.18 W 9.26 9.20 1.02 Full-charge-states D 2360 24800 484 Ne 6.13 44.7 1.06 W 37.8 98.7 4.76 Fluid model ID OD SOL Core Total Bundled-charge-states D 20.76 25.03 13.59 1.75 61.13 Ne 23.56 26.50 73.57 89.08 212.71 W 46.07 31.07 10.08 1.28 88.50 Full-charge-states D 21.59 26.54 14.10 1.72 63.95 Ne 28.51 28.81 79.43 94.10 230.85 W 386.26 237.45 32.11 6.69 662.51 -
[1] [2] [3] [4] [5] [6] [7] [8] [9] [10] [11] [12] [13] [14] [15] [16] [17] [18] [19] [20] [21] [22] [23] [24] [25] [26] [27] [28] [29] [30] [31] [32] [33] [34] [35] [36] [37] [38] [39] [40] [41] [42] [43] [44] [45] [46] [47] [48] [49]
计量
- 文章访问数:2034
- PDF下载量:89
- 被引次数:0












下载:







